chevron_left
chevron_right
Todo
Apuntes
Preguntas
chevron_left
chevron_right

Examen Matemáticas II y Estadística

Graduada en Matemáticas ofrece clases particulares para preparar exámenes de Matemáticas y Estadística

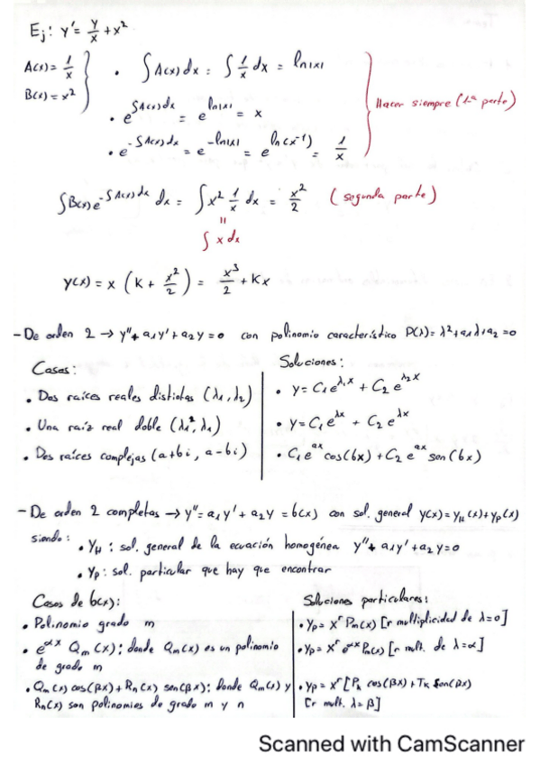
Ecuaciones diferenciales

3 páginas

Teoría de grafos

4 páginas

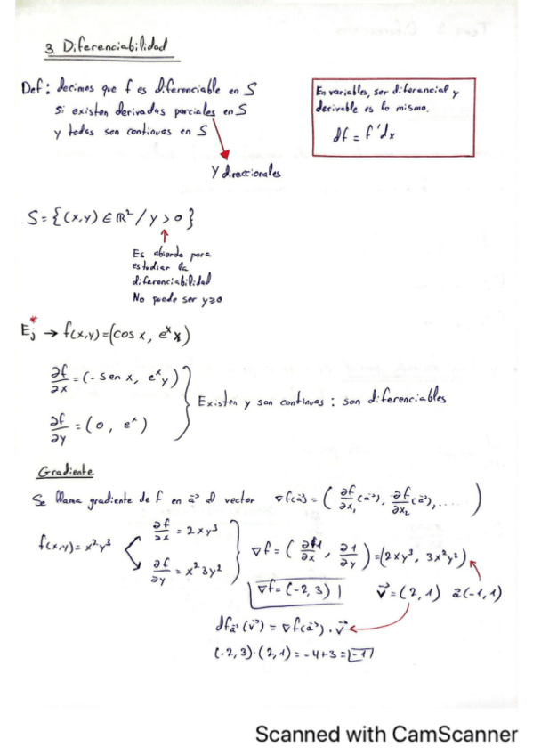
He publicado nuevos apuntes de 1º Matemáticas II: Tema 4 - Derivadas parciales.pdf

4 páginas

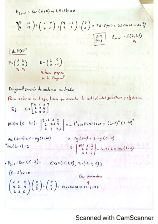
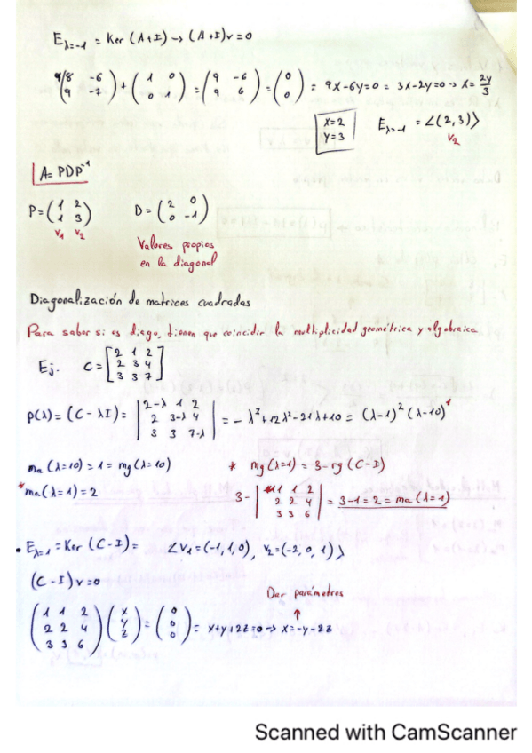
Proceso de diagonalización explicado, matriz ortogonal y de rotación

3 páginas

Continuidad // Derivada parcial y direccional // Diferenciabilidad (con ejemplos de sus integrantes) // Resumen

4 páginas

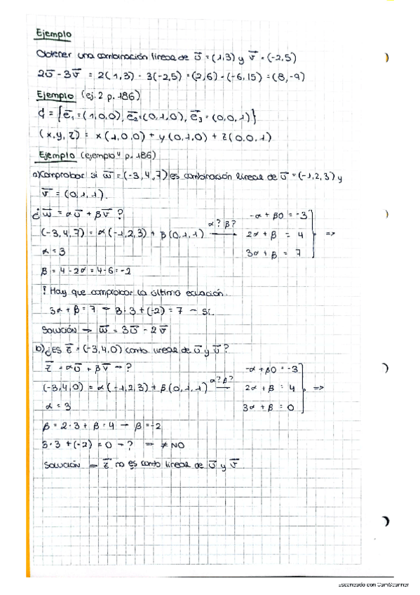
Ortogonalidad, método de Gram-Schmidt, ejemplos

4 páginas

He publicado nuevos apuntes de 1º Matemáticas II: TEMA-7-espacios-vectoriales.pdf

8 páginas
¡Estás al día!

¡Estás al día!

Has visto todos los archivos