Todo
Apuntes
Preguntas
Ejercicios
Exámenes
Otros
Prácticas
publication
Test
chevron_left
chevron_right

formulas analisis

2 páginas

apuntes

-

matematicas II pau uclm 25-26

He publicado nuevos apuntes de Matemáticas II: matematicas II pau uclm 25-26

temas-funciones-mates-temas-1-al-4.pdf
ejercicios-integrales-indefinidas-con-soluciones.pdf
examenes-pau-uclm.pdf

Geometría en el espacio 2ºBACH/PAU. [ANGULOS, DISTANCIAS, PROBLEMAS PUNTO GENÉRICO]. Apuntes con los que saque 10 en la PAU 2024/25.

4 páginas

Geometría en el espacio 2ºBACH/PAU.[EJERCICIOS CLASICOS: Puntos simétricos, Plano mediador, Proyecciones, Desplazar puntos, Recta que corta perpendicularmente, Recta que pasa por un punto y corta a otras 2...] Apuntes con los que saque 10 en la PAU 2024/

4 páginas

Geometría en el espacio 2ºBACH/PAU. [Puntos de corte, Posiciones relativas]. Apuntes con los que saque 10 en la PAU 2024/25.

4 páginas

Geometría en el espacio 2ºBACH/PAU.[ECUACIONES EN EL PLANO: Todos los tipos de ecuaciones, Tipos de planos comunes...]. Apuntes con los que saque 10 en la PAU 2024/25.

2 páginas

Geometría en el espacio 2ºBACH/PAU.[ECUACIONES D ELA RECTA: Todas las ecuaciones de la recta, Rectas paralelas, Obtener vector director y general...] Apuntes con los que saque 10 en la PAU 2024/25.

2 páginas

GeometrÍa en el espacio 2ºBACH/PAU.[ VECTORES: Operaciones, linealidad, Producto escalar, mixto o vectorial...]. Apuntes con los que saque 10 en la PAU 2024/25.

5 páginas

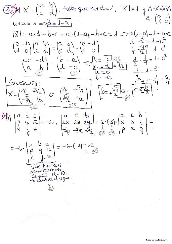
Algebra PAU/2º BACH. [DETERMINANTES: 2x2, 3x3, 4x4, Propiedades, Ecuaciones matriciales, Gauss, Cramer, Rango de una matriz...]. Con estos apuntes saque un 10 en Mates en la PAU 2024/25.

6 páginas

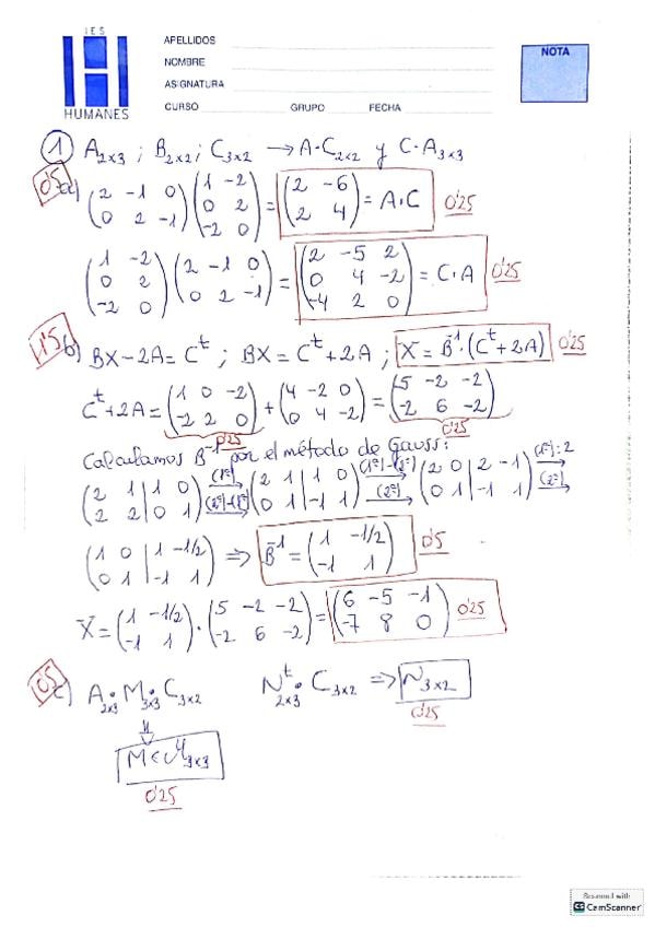
ALGEBRA PAU/2ºBACH. [MATRICES: Operaciones, problemas, sistemas y todo lo que puede entrar en el examen mas importante de tu vida]. Con estos apuntes saque un 10 en Matemáticas de la PAU 2024/25.

6 páginas

La tabla necesaria para realizar los ejercicios relacionados con distribución normal en la PAU / 2ºBACH

1 página

Resumen gráfico por sino sabes como usar la tabla de dsitribución normal tipificada [ PAU/EVAU 2ºBACH]

Imagen

Apuntes 2º BACH / PAU probabilidad.[ DISTRIBUCIONES BINOMIAL Y NORMAL, COMO USAR LA TABLA DE LA NORMAL, TIPIFICAR, APROXIMACIÓN A BINOMIAL...] Con estos apuntes saque un 10 en la PAU 2024/25

9 páginas

Apuntes sobre: Operaciones de sucesos, Diagramas de arbol, Bayes, Problemas de dados, Teorema Probabilidad Total. Apuntes con los que saque un 10 en la PAU 2024/25.

6 páginas

Resumen completo de los conceptos del tema 9 de probabilidad necesarios para la PAU. Se sigue el esquema del libro de 2º Bach. de Matemáticas II, editorial Casals.

7 páginas

Apuntes COMPLETOS para la PAU de los conceptos del tema 10 de Distribución de probabilidad. Se sigue el esquema del libro de 2º Bach. de Matemáticas II, editorial Casals.

6 páginas

Apuntes resumen del bloque de gemoetría analítica

8 páginas

Entiende el estudio de una función. Los pasos que debes seguir y lo que debes calcular! 1ra derivada (monotonía), 2da derivada (curvatura)...Y cualquier problema de optimización!

5 páginas

Apuntes completos

24 páginas

He publicado nuevos apuntes de Matemáticas II: Espacio-afin.-Resumen.pdf

7 páginas

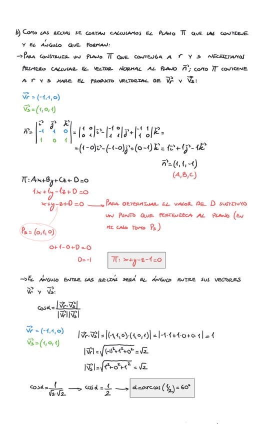
Apuntes del Bloque de Geometría PAU: Geometría del espacio. Sistemas de referencia, Vectores, Ecuaciones de la recta y del plano, Vector normal a un plano y vector director de la recta, Posiciones relativas, Cálculo de ángulos, Distancias, Proyección orto

11 páginas

He publicado nuevos apuntes de Matemáticas II: examen-4-mates-apuntes.pdf

12 páginas

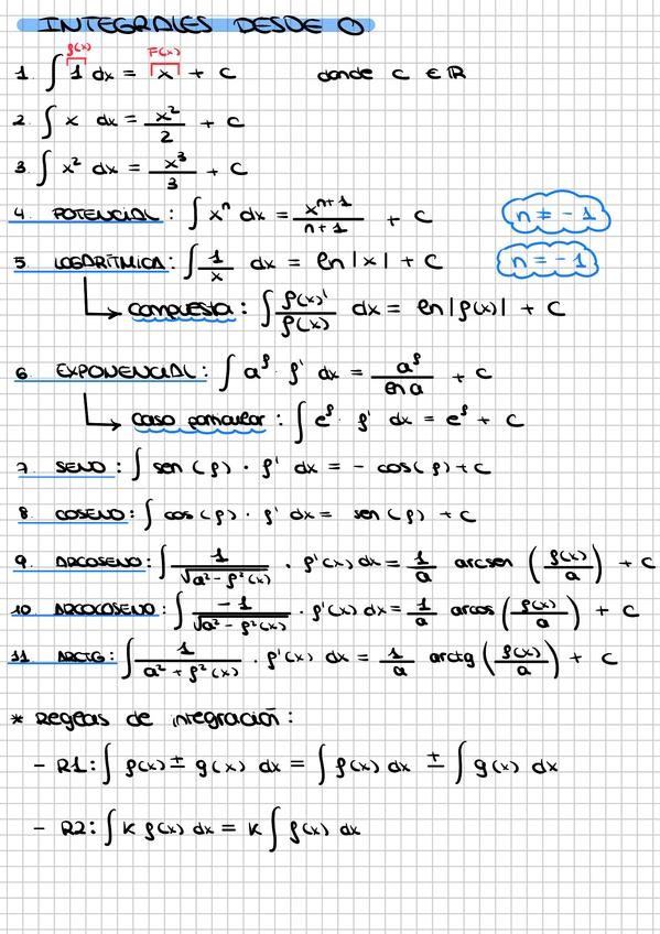
Apuntes Bloque Análisis: Integrales. Integrales indefinidas, Integrales inmediatas y casi inmediatas, Métodos de integración: cambio de variable, integración por partes, por descomposición en fracciones..., Tabla de integrales e Integral definida: regla

5 páginas

He publicado nuevos apuntes de Matemáticas II: Limites-y-continuidad-resumen.pdf

4 páginas

He publicado nuevos apuntes de Matemáticas II: matrices.pdf

2 páginas

He publicado nuevos apuntes de Matemáticas II: Matrices-Y-Determinantes.pdf

2 páginas

He publicado nuevos apuntes de Matemáticas II: Matematicas.pdf

1 página

He publicado nuevos examenes de Matemáticas II: Examenes-selectividad.pdf

14 páginas

He publicado nuevos ejercicios de Matemáticas II: Ejercicios-Sistemas.pdf

8 páginas

He publicado nuevos ejercicios de Matemáticas II: Ejercicios-Semana-Blanca.pdf

2 páginas

He publicado nuevos ejercicios de Matemáticas II: ejercicios-optimizacion.pdf

1 página

He publicado nuevos ejercicios de Matemáticas II: Ejercicios-geometria-analitica.pdf

7 páginas

apuntes

-

Matemáticas Selectividad

He publicado nuevos apuntes de Matemáticas II: Matemáticas Selectividad

Resumen-Analisis.pdf
Resumen-Geometria.pdf
Anónimo

@Anónimo

He publicado nuevos apuntes de Matemáticas II: Vectores.pdf

3 páginas
Anónimo

@Anónimo

He publicado nuevos apuntes de Matemáticas II: Trigonometria.pdf

2 páginas
Anónimo

@Anónimo

He publicado nuevos apuntes de Matemáticas II: Temario.-Resumen.pdf

3 páginas
Anónimo

@Anónimo

He publicado nuevos apuntes de Matemáticas II: Tabla-de-integrales.pdf

2 páginas
Anónimo

@Anónimo

He publicado nuevos apuntes de Matemáticas II: Tabla-de-derivadas.pdf

2 páginas
Anónimo

@Anónimo

He publicado nuevos apuntes de Matemáticas II: Representacion-de-funciones-a-trozos-y-valor-absoluto.pdf

2 páginas
Anónimo

@Anónimo

He publicado nuevos apuntes de Matemáticas II: PROPIEDADES-DETERMINANTES.pdf

2 páginas
Anónimo

@Anónimo

He publicado nuevos apuntes de Matemáticas II: Posiciones-relativas-de-3-planos.pdf

2 páginas
Anónimo

@Anónimo

He publicado nuevos apuntes de Matemáticas II: Optimizacion-de-funciones.pdf

5 páginas
Anónimo

@Anónimo

He publicado nuevos apuntes de Matemáticas II: Matrices.pdf

1 página
Anónimo

@Anónimo

He publicado nuevos apuntes de Matemáticas II: Integrales.pdf

3 páginas
Anónimo

@Anónimo

He publicado nuevos apuntes de Matemáticas II: Geometria-en-el-espacio.pdf

3 páginas
Anónimo

@Anónimo

He publicado nuevos apuntes de Matemáticas II: Geometria.pdf

4 páginas
Anónimo

@Anónimo

He publicado nuevos apuntes de Matemáticas II: Examenes.pdf

6 páginas
Anónimo

@Anónimo

He publicado nuevos apuntes de Matemáticas II: Dominios-de-funciones.pdf

2 páginas
Anónimo

@Anónimo

He publicado nuevos apuntes de Matemáticas II: Coeficientes-indeterminados.pdf

4 páginas
Anónimo

@Anónimo

He publicado nuevos apuntes de Matemáticas II: Analisis.pdf

4 páginas
Anónimo

@Anónimo

He publicado nuevos apuntes de Matemáticas II: problemas-sistemas-de-ecuaciones.pdf

5 páginas
Anónimo

@Anónimo

He publicado nuevos apuntes de Matemáticas II: sistemas-de-ecuaciones.pdf

7 páginas

apuntes

-

bach_Matemáticas II

Aquí están todos los apuntes de Matemáticas II para la EvAU. Hice la selectividad en 2025, saqué un 10 de media en bachillerato para matemáticas y un 9 en la EvAU de matemáticas.

BLOQUE-1-Analisis.pdf
BLOQUE-2-Algebra.pdf
BLOQUE-3-Geometria.pdf
BLOQUE-4-Probabilidad-y-Estadistica.pdf

He subido examen del 2017 corregido de PCE prueba para extranjeros

19 páginas

He publicado nuevos apuntes de Matemáticas II: aplicacions-de-les-derivades.pdf

7 páginas

He publicado nuevos apuntes de Matemáticas II: apunts-derivades.pdf

4 páginas

He publicado nuevos apuntes de Matemáticas II: apunts-integrals.pdf

4 páginas

He publicado nuevos apuntes de Matemáticas II: apunts-limits.pdf

8 páginas

He publicado nuevos apuntes de Matemáticas II: binomial.pdf

5 páginas

He publicado nuevos apuntes de Matemáticas II: apunts-matematiques-determinants-i-matrius.pdf

6 páginas