Matemáticas II

chevron_left
chevron_right
Todo
Apuntes
Ejercicios
Exámenes
chevron_left
chevron_right
Anónimo

@Anónimo

Examen final mates II curso 2024-25

2 páginas
Anónimo

@Anónimo

Examen parcial 2024-25 con las soluciones incluidas.

7 páginas

Formulario completo de Matematicas II para el examen parcial y para el examen final

5 páginas

Fórmulas y/o procedimientos de todo el temario

6 páginas

ejercicios

-

Prácticas de Ordenadores

He publicado nuevos ejercicios de 1º Matemáticas II: Prácticas de Ordenadores

ejercicio1.pdf
Miniatura no disponible
ScriptREjercicio1.R
ejercicio2.pdf
ejercicio3.docx
Miniatura no disponible
ScriptREjercicio3.R
Anónimo

@Anónimo

ejercicios

-

Ejercicios Mate II

He publicado nuevos ejercicios de 1º Matemáticas II: Ejercicios Mate II

Ecuaciones-Diferenciales-con-Ejemplos.pdf
Ejercicios-Hoja-1-Mate-II.pdf
Ejercicios-Hoja-2-Mate-II.pdf
Ejercicios-Hoja-3-Mate-II.pdf
Ejercicios-Hoja-4-Mate-II.pdf
Ejercicios-Hoja-5-Mate-II.pdf

apuntes

-

Resúmenes

He publicado nuevos apuntes de 1º Matemáticas II: Resúmenes

Resumen-hoja-1.pdf
Resumen-hoja-2.pdf
Resumen-hoja-3.pdf
Resumen-hoja-4.pdf
Resumen-hoja-5.pdf
Ecuaciones-diferenciales.pdf
Anónimo

@Anónimo

apuntes

-

Hojas resueltas

He publicado nuevos apuntes de 1º Matemáticas II: Hojas resueltas

Hoja-1.pdf
Hoja-2.pdf
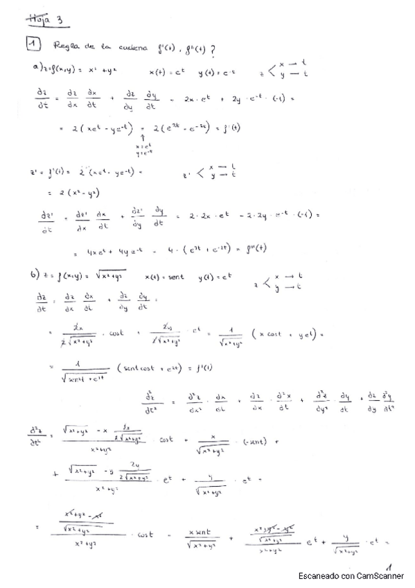
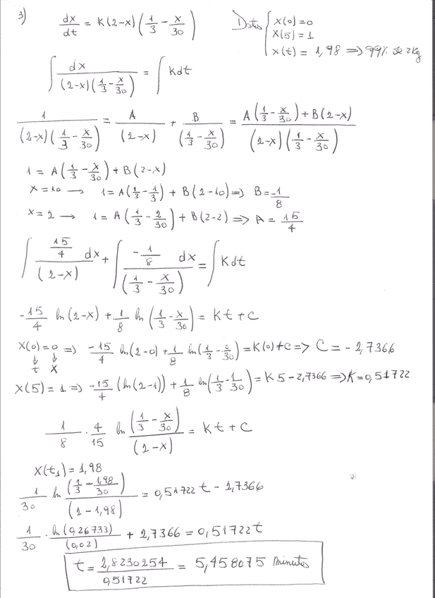
Hoja-3.pdf
Hoja-4.pdf
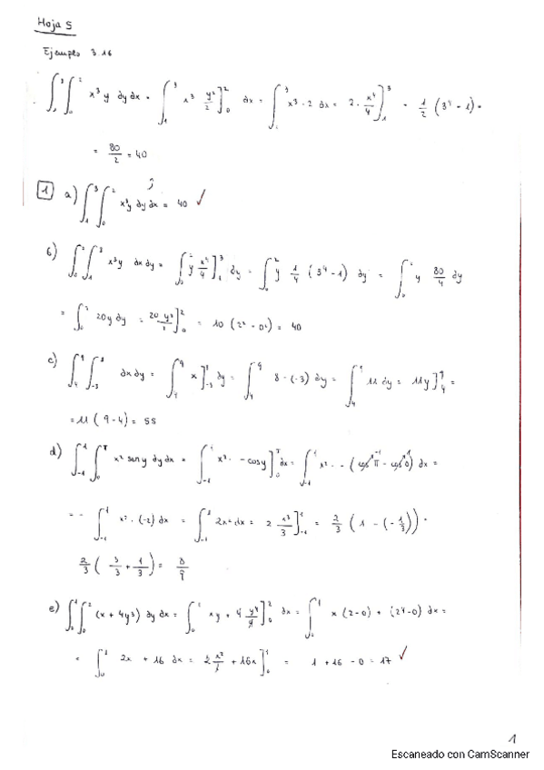
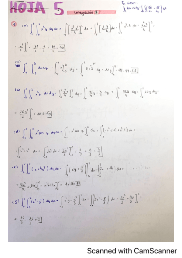
Hoja-5.pdf
Anónimo

@Anónimo

He publicado nuevos examenes de 1º Matemáticas II: Examen-final-2022-2023.pdf

1 página
Anónimo

@Anónimo

He publicado nuevos examenes de 1º Matemáticas II: Examen-Parcial-2022-2023.pdf

1 página
Anónimo

@Anónimo

He publicado nuevos apuntes de 1º Matemáticas II: Examen-Final-2020-21.pdf

1 página
Anónimo

@Anónimo

ejercicios

-

Ejercicios Soluciones Temas 1-4

He publicado nuevos ejercicios de 1º Matemáticas II: Ejercicios Soluciones Temas 1-4

Ejercicios-Tema-1-Soluciones.pdf
Ejercicios-Tema-2-Soluciones.pdf
Ejercicios-Tema-3-Soluciones.pdf
Ejercicios-Tema-4-Soluciones.pdf
Anónimo

@Anónimo

He publicado nuevos examenes de 1º Matemáticas II: Examen-Parcial-2020-21.pdf

1 página
Anónimo

@Anónimo

apuntes

-

Ejercicios resueltos

He publicado nuevos apuntes de 1º Matemáticas II: Ejercicios resueltos

Hoja-1-ej-8def.pdf
Hoja-1-ej-7.pdf
Hoja-1-ej-3.pdf
Hoja-1-ej-5-6.pdf
Hoja-1-ej-9.pdf
Hoja-2-ej-1.pdf
Anónimo

@Anónimo

apuntes

-

Hola de ejercicios

He publicado nuevos apuntes de 1º Matemáticas II: Hola de ejercicios

hoja-6.pdf
hoja-5.pdf
hoja-4.pdf
hoja-1.pdf
hoja-8.pdf
hoja-3.pdf
Anónimo

@Anónimo

examenes

-

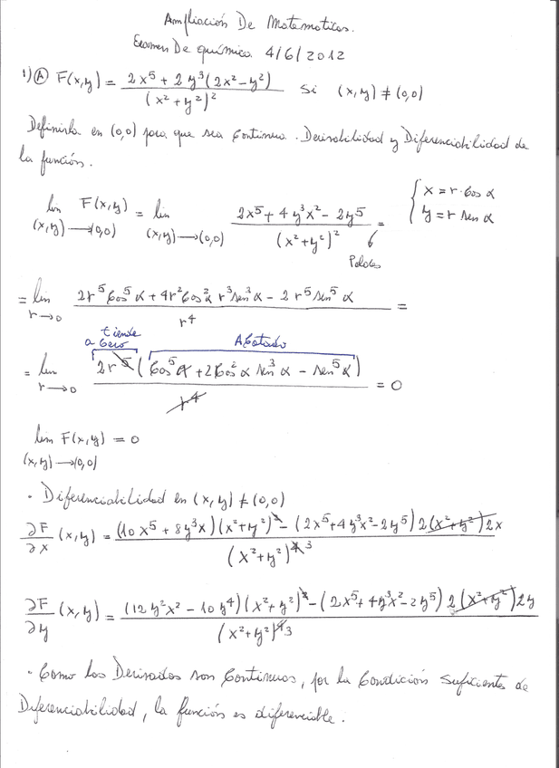
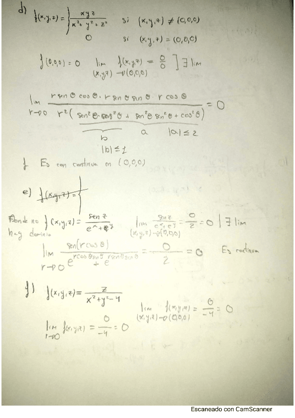
matematicas II

He publicado nuevos examenes de 1º Matemáticas II: matematicas II

Miniatura no disponible
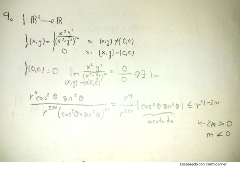
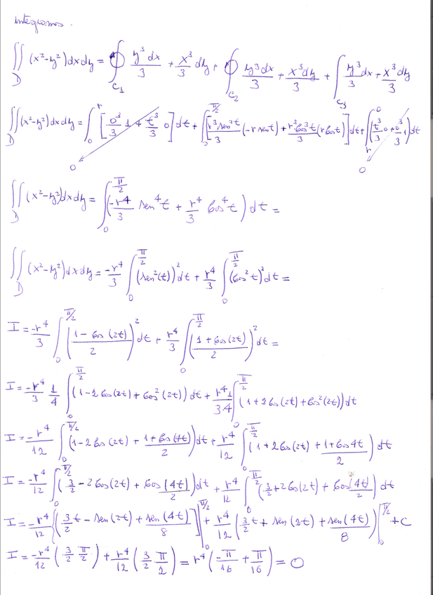
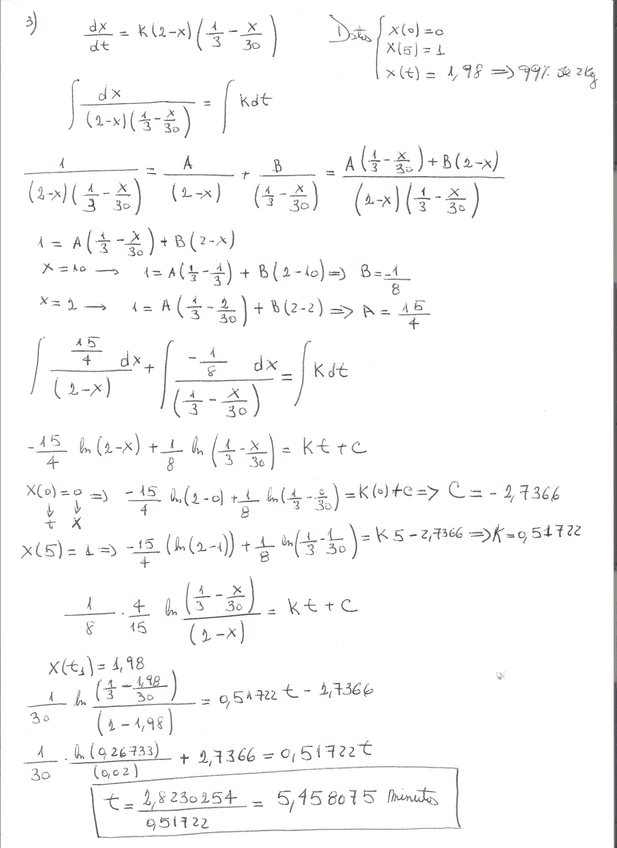
1-1a2.jpg
1-1a.jpg
3.jpg
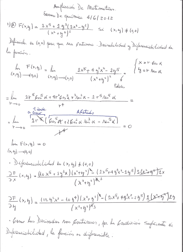
4-6-2012.jpg
4b.jpg
Miniatura no disponible
2.jpg
Anónimo

@Anónimo

examenes

-

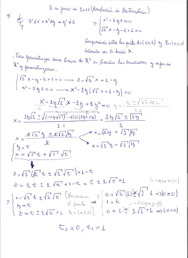
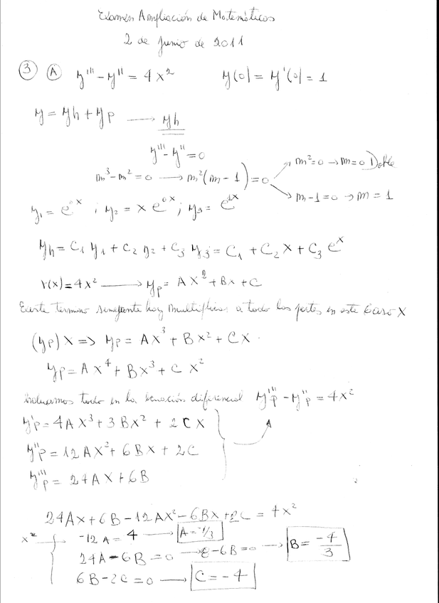
analisis matematico II

He publicado nuevos examenes de 1º Matemáticas II: analisis matematico II

3a-001.jpg
4b-001.jpg
2-6-2011.jpg
4a-001.jpg
5b-001.jpg
5a-001.jpg
Anónimo

@Anónimo

He publicado nuevos ejercicios de 1º Matemáticas II: Hoja 3 problemas.pdf

4 páginas
Anónimo

@Anónimo

He publicado nuevos ejercicios de 1º Matemáticas II: Hoja 2 problemas.pdf

2 páginas
Anónimo

@Anónimo

He publicado nuevos ejercicios de 1º Matemáticas II: Hoja1Castellano.pdf

2 páginas
Anónimo

@Anónimo

He publicado nuevos ejercicios de 1º Matemáticas II: Hoja 4 problemas.pdf

3 páginas
Anónimo

@Anónimo

He publicado nuevos ejercicios de 1º Matemáticas II: Ecuaciones Orden Superior.pdf

2 páginas
¡Estás al día!

¡Estás al día!

Has visto todos los archivos