Matemáticas II

chevron_left
chevron_right
Todo
Apuntes
chevron_left
chevron_right

Suele impartirse en la asignatura de Estadística

1 página

apuntes

-

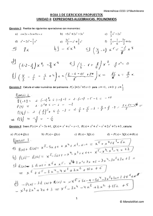
unidad_4_expresiones_algebraicas_polinomios

He publicado nuevos apuntes de 2º Matemáticas II: unidad_4_expresiones_algebraicas_polinomios

unidad4expresionesalgebraicaspolinomios.pdf
hoja1ejerciciospropuestosunidad4expresionesalgebraicaspolinomios.pdf
hoja1ejerciciosresueltosunidad4expresionesalgebraicaspolinomios.pdf
solucioneshoja1ejerciciospropuestosunidad4expresionesalgebraicaspolinomios.pdf

apuntes

-

Tema 4 Inecuaciones

Bachillerato de Ciencias y Tecnología

Unidad4InecuacionesProgramacionlineal.pdf
hoja1ejerciciosresueltosunidad4inecuacionesprogramacionlineal.pdf
hoja1ejerciciospropuestosunidad4inecuacionesprogramacionlineal.pdf

apuntes

-

Tema 2 Determinantes

Bachillerato de Ciencias y Tecnología

Unidad2DeterminantesRangoInversa.pdf
hoja1ejerciciospropuestosunidad2determinantesrangoinversa.pdf
hoja1ejerciciosresueltosunidad2determinantesrangosmatrices.pdf

apuntes

-

Tema 1 Matrices

Bachillerato de Ciencias y Tecnología

Unidad1Matrices.pdf
hoja1ejerciciosresueltosunidad1matrices.pdf
hoja1ejerciciospropuestosunidad1matrices.pdf
¡Estás al día!

¡Estás al día!

Has visto todos los archivos