chevron_left
chevron_right
Todo
Apuntes
Ejercicios
Exámenes
Prácticas
Test
Trabajos
chevron_left
chevron_right
Anónimo

@Anónimo

He publicado nuevos test de 1º Matemáticas II: QuizT22025-2026v2resolucion.pdf

9 páginas
Anónimo

@Anónimo

He publicado nuevos test de 1º Matemáticas II: QuizT22025-2026v1resolucion.pdf

10 páginas
Anónimo

@Anónimo

He publicado nuevos test de 1º Matemáticas II: QuizT22025-2026v2.pdf

3 páginas
Anónimo

@Anónimo

He publicado nuevos test de 1º Matemáticas II: QuizT22025-2026v1.pdf

3 páginas
Anónimo

@Anónimo

He publicado nuevos test de 1º Matemáticas II: QuizT12025-2026v2resolucion.pdf

2 páginas
Anónimo

@Anónimo

He publicado nuevos test de 1º Matemáticas II: QuizT12025-2026v2.pdf

2 páginas
Anónimo

@Anónimo

He publicado nuevos test de 1º Matemáticas II: QuizT12025-2026v1resolucion.pdf

2 páginas
Anónimo

@Anónimo

He publicado nuevos test de 1º Matemáticas II: QuizT12025-2026v1.pdf

2 páginas

He publicado nuevos apuntes de 1º Matemáticas II: 2o-parcial-examen-Extraordinaria-2024.pdf

5 páginas

He publicado nuevos apuntes de 1º Matemáticas II: 2o-parcial-examen-Examen-2.pdf

8 páginas

He publicado nuevos apuntes de 1º Matemáticas II: 2o-parcial-examen-Examen-1-Moodle.pdf

6 páginas

He publicado nuevos apuntes de 1º Matemáticas II: 2o-parcial-examen-Examen-2-Moodle.pdf

3 páginas

He publicado nuevos apuntes de 1º Matemáticas II: 2o-parcial-examen-Examen-8-Moodle.pdf

6 páginas

He publicado nuevos apuntes de 1º Matemáticas II: 2o-parcial-examen-Examen-3.pdf

8 páginas

He publicado nuevos apuntes de 1º Matemáticas II: 2o-parcial-examen-Examen-4.pdf

7 páginas

He publicado nuevos apuntes de 1º Matemáticas II: 2o-parcial-examen-Repaso-2o-Parcial.pdf

7 páginas

He publicado nuevos apuntes de 1º Matemáticas II: 2o-parcial-examen-Examen-1.pdf

7 páginas

He publicado nuevos apuntes de 1º Matemáticas II: 2o-parcial-examen-7-Moodle.pdf

4 páginas

He publicado nuevos apuntes de 1º Matemáticas II: Parcial-2-Moodle.pdf

3 páginas

He publicado nuevos apuntes de 1º Matemáticas II: Parcial-Mates-3.pdf

7 páginas

He publicado nuevos apuntes de 1º Matemáticas II: Parcial-Mates-2.pdf

7 páginas

He publicado nuevos apuntes de 1º Matemáticas II: Parcial-Mates-1.pdf

7 páginas

He publicado nuevos apuntes de 1º Matemáticas II: Examen.pdf

4 páginas

He publicado nuevos apuntes de 1º Matemáticas II: Parcial-Moodle-1.pdf

4 páginas

He publicado nuevos apuntes de 1º Matemáticas II: Apuntes-Parcial-1.pdf

4 páginas

apuntes

-

SEGUNDA PARTE COMPLETA (apuntes, quiz y convocatorias resueltas)

He publicado nuevos apuntes de 1º Matemáticas II: SEGUNDA PARTE COMPLETA (apuntes, quiz y convocatorias resueltas)

apuntes-tema-4.pdf
apuntes-tema-5-quiz-resuelto.pdf
convocatorias-resueltas.pdf

He publicado nuevos apuntes de 1º Matemáticas II: Mates-II-T4.pdf

7 páginas

apuntes

-

PRIMERA PARTE COMPLETA (apuntes, boletines, quiz)

He publicado nuevos apuntes de 1º Matemáticas II: PRIMERA PARTE COMPLETA (apuntes, boletines, quiz)

TEMA-1-COMPLETO-apuntes-boletin-quiz.pdf
TEMA-2-COMPLETO-apuntes-boletin-quiz.pdf
TEMA-3-COMPLETO-apuntes-boletin.pdf

examenes

-

Quizzes Primera Parte Resueltos Mates II

He publicado nuevos examenes de 1º Matemáticas II: Quizzes Primera Parte Resueltos Mates II

Tema-3-Quiz-2.pdf
Tema-3-Quiz-1.pdf
Tema-2-Quiz-2.pdf
Tema-2-Quiz-1.pdf
Tema-1-Quiz-2.pdf
Tema-1-Quiz-1.pdf

examenes

-

Parciales Primera Parte Mates II

He publicado nuevos examenes de 1º Matemáticas II: Parciales Primera Parte Mates II

Parcial-6-Temas-1-3.pdf
Parcial-5-Temas-1-3.pdf
Parcial-4-Temas-1-3.pdf
Parcial-3-Temas-1-3.pdf
Parcial-2-Temas-1-3.pdf
Parcial-1-Temas-1-3.pdf

examenes

-

Quizzes Segunda Parte Resueltos Mates II

He publicado nuevos examenes de 1º Matemáticas II: Quizzes Segunda Parte Resueltos Mates II

Tema-5-Quiz-1.pdf
Tema-4-Quiz-2.pdf
Tema-4-Quiz-1.pdf

examenes

-

Parciales Segunda Parte Mates II

He publicado nuevos examenes de 1º Matemáticas II: Parciales Segunda Parte Mates II

Parcial-Temas-4-5.pdf

He publicado nuevos apuntes de 1º Matemáticas II: Resumen-Integrales-y-derivadas.pdf

4 páginas

He publicado nuevos examenes de 1º Matemáticas II: Quizz-Tema-5-2024.pdf

1 página

He publicado nuevos examenes de 1º Matemáticas II: Ordinaria-23-24-Mates-II.pdf

3 páginas

He publicado nuevos apuntes de 1º Matemáticas II: Tema-4-2024.pdf

1 página

He publicado nuevos apuntes de 1º Matemáticas II: Tema-5-2024.pdf

1 página

He publicado nuevos apuntes de 1º Matemáticas II: Tema-3-2024.pdf

1 página

He publicado nuevos apuntes de 1º Matemáticas II: Tema-2-2024.pdf

1 página
Anónimo

@Anónimo

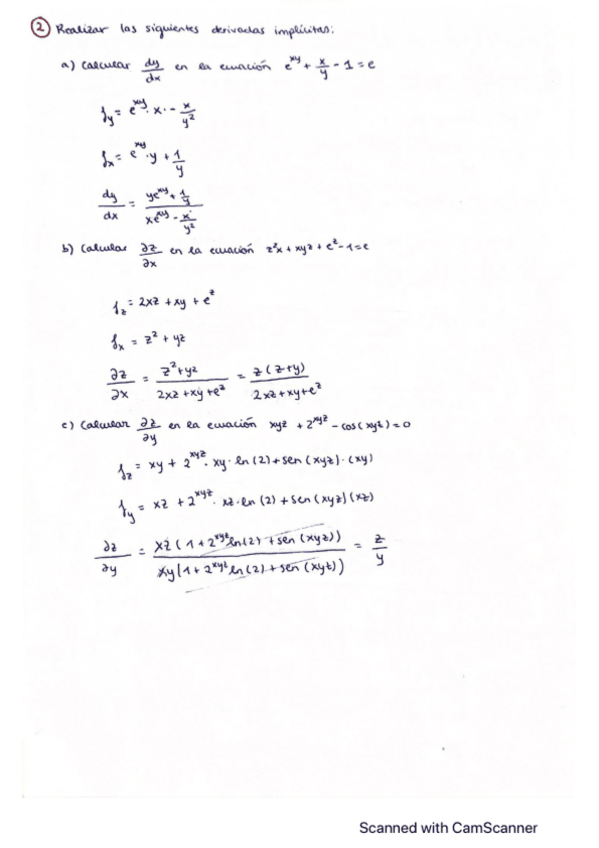
He publicado nuevos examenes de 1º Matemáticas II: quiztema1v22023-24resolucion.pdf

3 páginas
Anónimo

@Anónimo

He publicado nuevos examenes de 1º Matemáticas II: quiztema12023-24.pdf

1 página
Anónimo

@Anónimo

He publicado nuevos examenes de 1º Matemáticas II: quiztema12023-24v2.pdf

1 página
Anónimo

@Anónimo

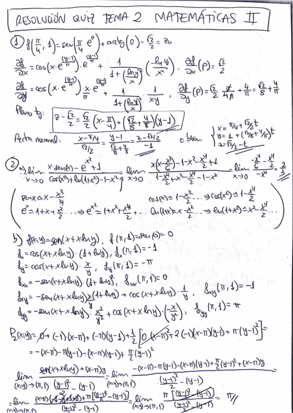
He publicado nuevos examenes de 1º Matemáticas II: quizTema12023-24resuelto.pdf

2 páginas
Anónimo

@Anónimo

He publicado nuevos examenes de 1º Matemáticas II: quiztema22023-24v2.pdf

1 página
Anónimo

@Anónimo

He publicado nuevos examenes de 1º Matemáticas II: quiztema22023-24.pdf

1 página
Anónimo

@Anónimo

He publicado nuevos examenes de 1º Matemáticas II: quiztema22023-24resuelto.pdf

3 páginas
Anónimo

@Anónimo

He publicado nuevos examenes de 1º Matemáticas II: quiztema2v22023-24resuelto.pdf

2 páginas

apuntes

-

Boletines y Quizzes de todos los temas

Puede que algún ejercicio no esté correctamente resuelto

Boletin-de-problemas-y-Quizz-Tema-1.pdf
Boletin-de-problemas-y-Quizz-Tema-2.pdf
Boletin-de-problemas-y-Quizz-Tema-3.pdf
Boletin-de-problemas-y-Quizz-Tema-4.pdf
Boletin-de-problemas-y-Quizz-Tema-5.pdf

apuntes

-

Apuntes de clase

He publicado nuevos apuntes de 1º Matemáticas II: Apuntes de clase

Apuntes-de-clase-Tema-1.pdf
Apuntes-de-clase-Tema-2.pdf
Apuntes-de-clase-Tema-3.pdf
Apuntes-de-clase-Tema-4.pdf
Apuntes-de-clase-Tema-5.pdf
Anónimo

@Anónimo

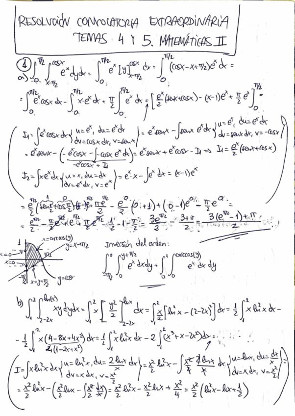
He publicado nuevos examenes de 1º Matemáticas II: ExtraordinariaTemas4-5.pdf

5 páginas
Anónimo

@Anónimo

He publicado nuevos examenes de 1º Matemáticas II: ExtraordinariaTemas1-3.pdf

5 páginas

He publicado nuevos examenes de 1º Matemáticas II: Quiz-Tema-5-Mates-II-2023.pdf

5 páginas

He publicado nuevos examenes de 1º Matemáticas II: Quiz-Tema-4-Mates-II-2023.pdf

6 páginas

He publicado nuevos ejercicios de 1º Matemáticas II: Boletin-Tema-5-Mates-II.pdf

17 páginas

He publicado nuevos ejercicios de 1º Matemáticas II: Boletin-tema-4-Mates-II.pdf

21 páginas

He publicado nuevos apuntes de 1º Matemáticas II: Teoria-Basica-Integrales-IMPORTANTE.pdf

4 páginas

He publicado nuevos ejercicios de 1º Matemáticas II: Boletin-tema-3-Mates-II.pdf

9 páginas

He publicado nuevos ejercicios de 1º Matemáticas II: Boletin-Tema-2-Mates-II.pdf

16 páginas

He publicado nuevos ejercicios de 1º Matemáticas II: Boletin-tema-1-Mates-II.pdf

8 páginas
Anónimo

@Anónimo

He publicado nuevos apuntes de 1º Matemáticas II: todos-los-apuntes-de-matlab.pdf

6 páginas