chevron_left
chevron_right
Todo
Apuntes
Ejercicios
Exámenes
chevron_left
chevron_right

apuntes

-

RESUMEN MATES 2

He publicado nuevos apuntes de 1º Matemáticas II: RESUMEN MATES 2

T1-DERIVADAS-PARCIALES.pdf
T2-APLICACIONES-GEOMETRICAS-DERIVADAS-PARCIALES.pdf
T3-CAMPOS-ESCALARES.pdf
T4-CAMPOS-VECTORIALES.pdf
T5-INTEGRALES-MULTIPLES.pdf
T6-INTEGRALES-DE-LINEA.pdf

examenes

-

EXAMENES RESUELTOS

He publicado nuevos examenes de 1º Matemáticas II: EXAMENES RESUELTOS

1o-PARCIAL-2011-RESUELTO.pdf
2o-PARCIAL-2008-RESUELTO.pdf
2o-PARCIAL-2010-RESUELTO.pdf
2o-PARCIAL-2011-RESUELTO.pdf
JUNIO-2007-RESUELTO.pdf
JUNIO-2011-RESUELTO.pdf

He publicado nuevos apuntes de 1º Matemáticas II: TEMA-5.pdf

2 páginas

He publicado nuevos apuntes de 1º Matemáticas II: TEMA-4.pdf

3 páginas

He publicado nuevos apuntes de 1º Matemáticas II: TEMA-3.pdf

6 páginas

He publicado nuevos ejercicios de 1º Matemáticas II: Boletintema4.pdf

15 páginas

He publicado nuevos apuntes de 1º Matemáticas II: Tema-5.pdf

46 páginas

He publicado nuevos apuntes de 1º Matemáticas II: Tema-4-diapositivas-desarrolladas.pdf

53 páginas

Resumen Segundo Parcial Matemáticas II (Temas 4 y 5)

8 páginas

mini resumen

3 páginas
Anónimo

@Anónimo

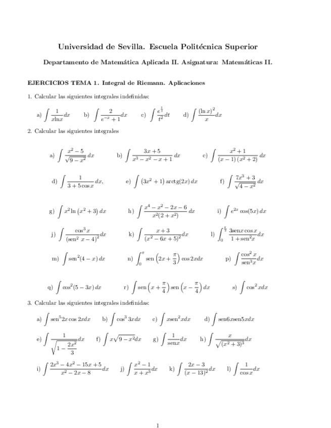
He publicado nuevos ejercicios de 1º Matemáticas II: Integrales-tema-1.pdf

11 páginas
Anónimo

@Anónimo

He publicado nuevos ejercicios de 1º Matemáticas II: Ejercicios-tema-1.pdf

11 páginas
Anónimo

@Anónimo

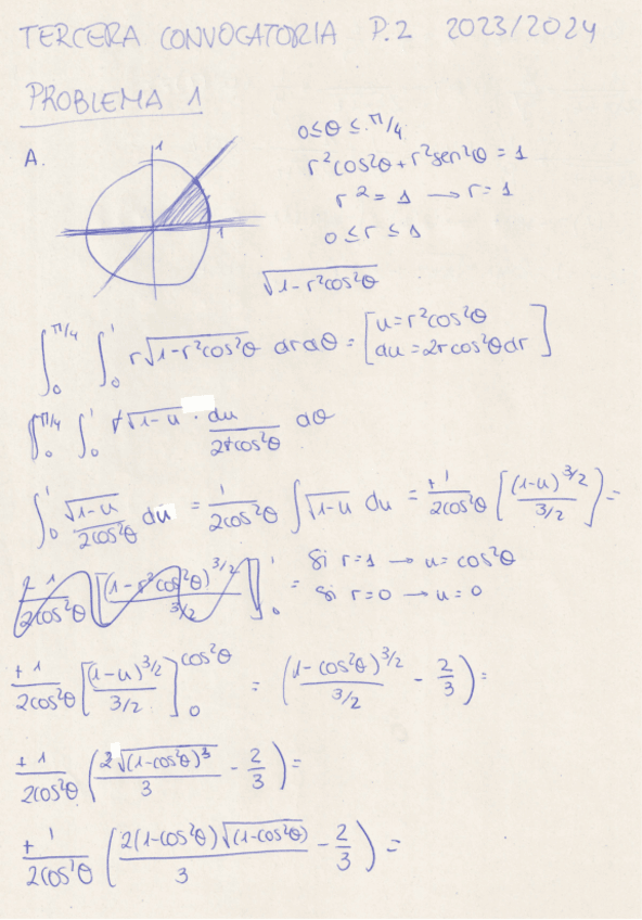
He publicado nuevos examenes de 1º Matemáticas II: 1-Convo-2023-2024.pdf

11 páginas
Anónimo

@Anónimo

He publicado nuevos examenes de 1º Matemáticas II: 2-Parcial-2023-2024.pdf

9 páginas
Anónimo

@Anónimo

He publicado nuevos examenes de 1º Matemáticas II: 2-Parcial-2022-2023.pdf

7 páginas
Anónimo

@Anónimo

He publicado nuevos apuntes de 1º Matemáticas II: Tema-5.pdf

3 páginas
Anónimo

@Anónimo

He publicado nuevos apuntes de 1º Matemáticas II: Tema-4.pdf

36 páginas
Anónimo

@Anónimo

He publicado nuevos apuntes de 1º Matemáticas II: Tema-3.pdf

24 páginas
Anónimo

@Anónimo

He publicado nuevos apuntes de 1º Matemáticas II: Tema-2.pdf

15 páginas
Anónimo

@Anónimo

He publicado nuevos apuntes de 1º Matemáticas II: Tema-1-parte2.pdf

11 páginas
Anónimo

@Anónimo

He publicado nuevos apuntes de 1º Matemáticas II: Tema-1-parte-1.pdf

21 páginas

He publicado nuevos examenes de 1º Matemáticas II: EXAMEN-RESUELTO-Primera-parte-Curso-23-24.pdf

9 páginas

Ejercicios Integrales Indefinidas, áreas regiones, discos y capas...

16 páginas

He publicado nuevos apuntes de 1º Matemáticas II: 5.-CALCULO-VECTORIAL.pdf

1 página

He publicado nuevos apuntes de 1º Matemáticas II: 4.-INTEGRALES-MULTIPLES.pdf

6 páginas

He publicado nuevos apuntes de 1º Matemáticas II: 2.-INTEGRALES-NUMERICAS-E-IMPROPIAS.pdf

4 páginas

He publicado nuevos apuntes de 1º Matemáticas II: 3.-FUNCIONES-DE-VARIAS-VARIABLES.pdf

10 páginas

He publicado nuevos apuntes de 1º Matemáticas II: 0.-Representacion-de-funciones.pdf

2 páginas

He publicado nuevos apuntes de 1º Matemáticas II: 1.-INTEGRAL-DE-RIEMANN.pdf

12 páginas

ejercicios

-

Ejercicios Boletínes

He publicado nuevos ejercicios de 1º Matemáticas II: Ejercicios Boletínes

Boletin-1.-Primitivas.pdf
Boletin-1.pdf
Ejercicios-Integrales.pdf

examenes

-

Exámenes Resueltos 2Parcial

He publicado nuevos examenes de 1º Matemáticas II: Exámenes Resueltos 2Parcial

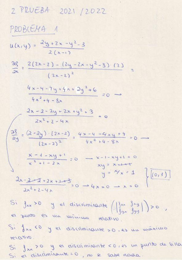
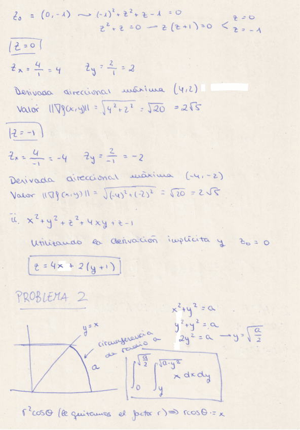
P2-1Conv.-2021-2022.pdf
P2-3Conv.-2021-2022.pdf

examenes

-

Exámenes Resueltos 1Parcial

He publicado nuevos examenes de 1º Matemáticas II: Exámenes Resueltos 1Parcial

P1-1Conv.-20212022.pdf
P1-1Conv.-2022-2023.pdf
P1-2Conv.-2022-2023.pdf
P1-3Conv.-2021-2022.pdf
P1-3Conv.-2023-2024.pdf
P1-2021-2022.pdf

apuntes

-

Resúmenes Temario

He publicado nuevos apuntes de 1º Matemáticas II: Resúmenes Temario

Anotaciones-Importantes.pdf

Resumen del Tema 1 de Matemáticas II

3 páginas

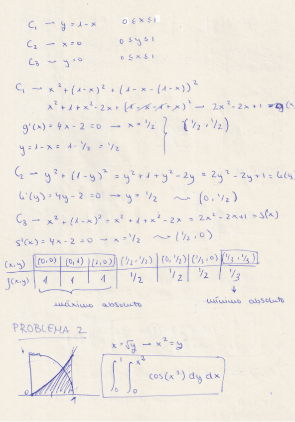
He publicado nuevos examenes de 1º Matemáticas II: Prueba2-3conv2023/24.pdf

3 páginas

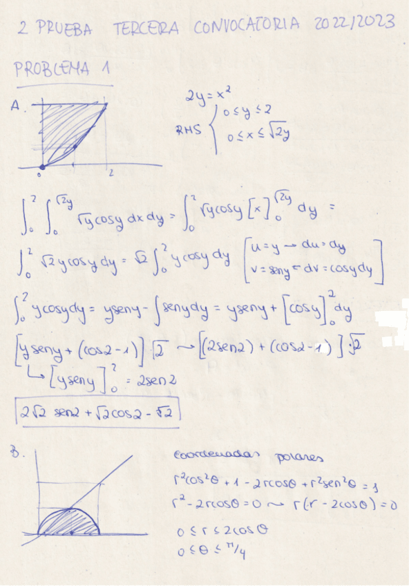
He publicado nuevos examenes de 1º Matemáticas II: Prueba2-3conv2022/23.pdf

4 páginas

He publicado nuevos examenes de 1º Matemáticas II: Prueba2-2conv2022/23.pdf

6 páginas

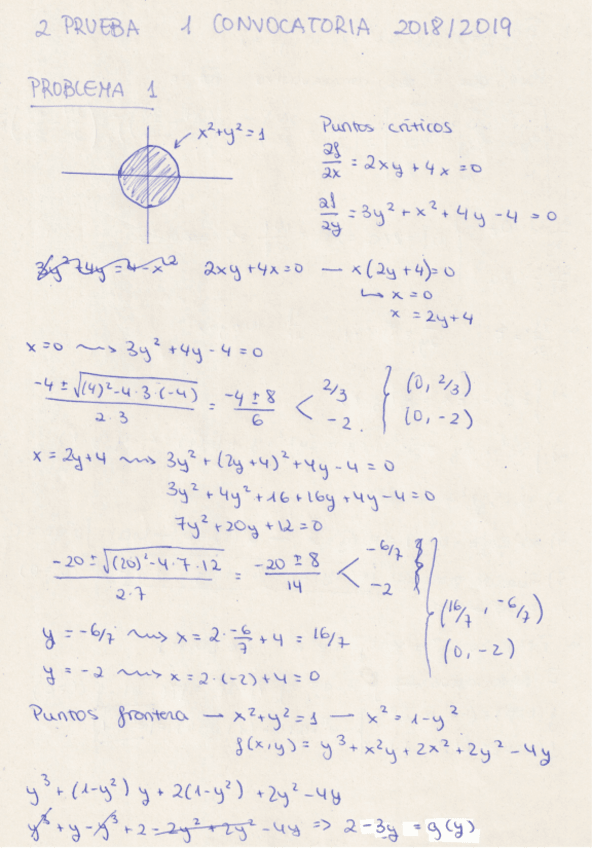
He publicado nuevos examenes de 1º Matemáticas II: Prueba2-1conv2022/23.pdf

7 páginas

He publicado nuevos examenes de 1º Matemáticas II: Prueba2-2022/23.pdf

7 páginas

He publicado nuevos examenes de 1º Matemáticas II: Prueba2Sept2021/22.pdf

5 páginas

He publicado nuevos examenes de 1º Matemáticas II: Prueba2-1conv2021/22.pdf

9 páginas

He publicado nuevos examenes de 1º Matemáticas II: Prueba2-2021/22.pdf

7 páginas

He publicado nuevos examenes de 1º Matemáticas II: Prueba2-1conv2020/21.pdf

6 páginas

He publicado nuevos examenes de 1º Matemáticas II: Prueba2-2020/21.pdf

3 páginas

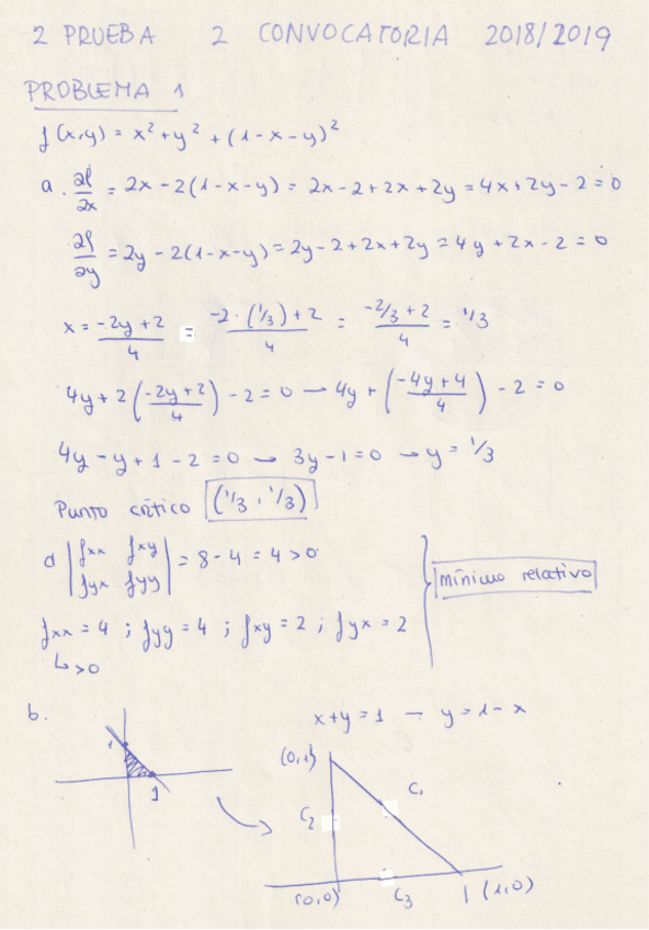
He publicado nuevos examenes de 1º Matemáticas II: Prueba2-3conv2018/19.pdf

6 páginas

He publicado nuevos examenes de 1º Matemáticas II: Prueba2-2conv2018/19.pdf

6 páginas

He publicado nuevos examenes de 1º Matemáticas II: Prueba2-1conv2018/19.pdf

4 páginas

He publicado nuevos examenes de 1º Matemáticas II: Prueba2-2018/19.pdf

7 páginas

He publicado nuevos apuntes de 1º Matemáticas II: Tema5.pdf

14 páginas

He publicado nuevos apuntes de 1º Matemáticas II: Tema4.pdf

14 páginas

He publicado nuevos apuntes de 1º Matemáticas II: Tema3.pdf

18 páginas

He publicado nuevos apuntes de 1º Matemáticas II: Tema2.pdf

4 páginas

He publicado nuevos apuntes de 1º Matemáticas II: Tema1.pdf

19 páginas

He publicado nuevos apuntes de 1º Matemáticas II: resumen-campos-vectoriales.pdf

10 páginas

He publicado nuevos apuntes de 1º Matemáticas II: tema-4-ejemplos.pdf

13 páginas

He publicado nuevos apuntes de 1º Matemáticas II: tema-3-ejemplos.pdf

9 páginas

He publicado nuevos apuntes de 1º Matemáticas II: tema-5-ejemplos.pdf

2 páginas

He publicado nuevos apuntes de 1º Matemáticas II: resumen-tema-3.pdf

8 páginas

He publicado nuevos examenes de 1º Matemáticas II: Examenes-Convocatoria.pdf

19 páginas

He publicado nuevos apuntes de 1º Matemáticas II: Apuntes-parcial-1-y-2-Jorge.pdf

191 páginas