Todo
Apuntes
Ejercicios
Exámenes
Otros
Trabajos
chevron_left
chevron_right

apuntes

-

Apuntes T2 y T3(A,B,C)

Son mis apuntes de clase, he saltado el Tema 1 porque es un repaso de bachillerato.

Apuntes-de-Calculo-2.pdf
Apuntes-de-Calculo-3.A.pdf
Apuntes-de-Calculo-3.B.pdf
Apuntes-de-Calculo-3.C.pdf

apuntes

-

TEMAS RESUMIDOS 2024

He publicado nuevos apuntes de 1º Matemáticas II: TEMAS RESUMIDOS 2024

T1-VECTORES-Y-SUPERFICIES.pdf
T2-FUNCIONES-DE-UNA-Y-VARIAS-VARIABLES.pdf
T3-APLICACIONES-DE-LAS-DERIVADAS.pdf
T4-INTEGRACION.pdf
T5-INTEGRACION-MULTIPLE.pdf
T6-ANALISIS-VECTORIAL.pdf

examenes

-

EXAMENES RESUELTOS

He publicado nuevos examenes de 1º Matemáticas II: EXAMENES RESUELTOS

1o-CONVOCATORIA-2021-2022-RESUELTO.pdf
1o-CONVOCATORIA-2022-2023-RESUELTO.pdf
2o-CONVO-2023-RESUELTO.pdf
3o-CONVO-2023-RESUELTO.pdf
3o-CONVOCATORIA-2021-2022-RESUELTO.pdf
FALSO-FINAL-2022-2023-RESUELTO.pdf

He publicado nuevos examenes de 1º Matemáticas II: Preparación 2ºEjercicio.pdf.pdf

13 páginas

He publicado nuevos examenes de 1º Matemáticas II: Preparación 1ºEjercicio.pdf.pdf

30 páginas
Anónimo

@Anónimo

He publicado nuevos apuntes de 1º Matemáticas II: TEMA-1-Funciones-de-una-y-varias-variables.pdf

1 página

He publicado nuevos apuntes de 1º Matemáticas II: Formulariomates2.pdf

5 páginas

Formulario con guía para ejercicios de examen.

2 páginas

He publicado nuevos examenes de 1º Matemáticas II: 1-CONVOCATORIA-2023-24-SOL.pdf

6 páginas

apuntes "esquematicos" de mates II, está todo menos el tema 1

45 páginas

examenes

-

+EXAMENES

He publicado nuevos examenes de 1º Matemáticas II: +EXAMENES

MatII-Prueba-Alternativa-21-12-2023.pdf
PA21dic23sol.pdf
Mat2C330octubre2023ex2.pdf

apuntes

-

Apuntes

He publicado nuevos apuntes de 1º Matemáticas II: Apuntes

Apuntes-Muy-Concentrados.pdf
Formulario-Mates2.pdf

Todas las propiedades fundamentales y ejercicios resueltos por el profesor

13 páginas

apuntes

-

Apuntes asignatura COMPLETA

He publicado nuevos apuntes de 1º Matemáticas II: Apuntes asignatura COMPLETA

Leccion-5.pdf
Leccion-6.pdf
Leccion-4.pdf
Leccion-1-y-2.pdf
Leccion-3.pdf

He publicado nuevos apuntes de 1º Matemáticas II: Tema-3C.pdf

84 páginas

He publicado nuevos apuntes de 1º Matemáticas II: Tema-3B.pdf

56 páginas

He publicado nuevos apuntes de 1º Matemáticas II: Tema-3A.pdf

27 páginas

He publicado nuevos apuntes de 1º Matemáticas II: Tema-2A.pdf

42 páginas

He publicado nuevos apuntes de 1º Matemáticas II: Tema-2B.pdf

55 páginas

He publicado nuevos apuntes de 1º Matemáticas II: Tema-1B.pdf

63 páginas

He publicado nuevos apuntes de 1º Matemáticas II: Tema-1A.pdf

47 páginas

He publicado nuevos examenes de 1º Matemáticas II: Primera-Convocatoria-curso-23-24.pdf

8 páginas

He publicado nuevos examenes de 1º Matemáticas II: Segunda-Convocatoria-curso-23-24.pdf

6 páginas

He publicado nuevos examenes de 1º Matemáticas II: Tercera-Convocatoria-curso-23-24.pdf

4 páginas

He publicado nuevos examenes de 1º Matemáticas II: Prueba-alternativa-curso-23-24.pdf

4 páginas

He publicado nuevos examenes de 1º Matemáticas II: Segunda-Convocatoria-curso-22-23.pdf

8 páginas

He publicado nuevos ejercicios de 1º Matemáticas II: T4 ejercicios paso a paso.pdf

14 páginas

He publicado nuevos apuntes de 1º Matemáticas II: IMPORTANTE-MII.pdf

2 páginas

He publicado nuevos apuntes de 1º Matemáticas II: RESUMEN-COMPLETO.pdf

19 páginas

examenes

-

Examenes resueltos

He publicado nuevos examenes de 1º Matemáticas II: Examenes resueltos

2C314Noviembre2020-hecho.pdf
C330octubre2023ex-hecho.pdf
PADiciembre2023-hecho.pdf
PA21dic23sol.pdf

He publicado nuevos examenes de 1º Matemáticas II: 3o-Convocatoria-2023-24.pdf

1 página

He publicado nuevos apuntes de 1º Matemáticas II: TEMA-4-INTEGRACION-MULTIPLE.pdf

15 páginas

He publicado nuevos apuntes de 1º Matemáticas II: TEMA-3B-INTEGRAL-DEFINIDA.pdf

13 páginas

He publicado nuevos apuntes de 1º Matemáticas II: TEMA-3A-INTEGRAL-INDEFINIDA.pdf

5 páginas

He publicado nuevos apuntes de 1º Matemáticas II: TEMA-2B-APLICACIONES-DE-LA-DERIVADA-EN-FUNCIONES-DE-VARIAS-VARIABLES.pdf

11 páginas

He publicado nuevos apuntes de 1º Matemáticas II: TEMA-2A-APLICACIONES-DE-LA-DERIVADA-DE-FUNCIONES-DE-UNA-VARIABLE.pdf

6 páginas

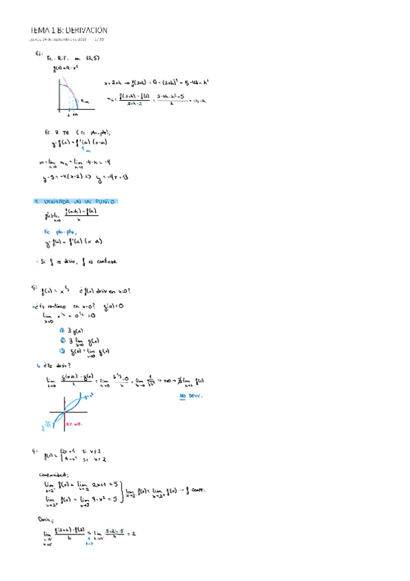
He publicado nuevos apuntes de 1º Matemáticas II: TEMA-1B-DERIVACION.pdf

11 páginas

He publicado nuevos apuntes de 1º Matemáticas II: Integrales-COMPLETO.pdf

32 páginas

He publicado nuevos apuntes de 1º Matemáticas II: Estudio-de-funciones.pdf

16 páginas

He publicado nuevos examenes de 1º Matemáticas II: 1Convocatoria-2022-23-MUY-DETALLADO.pdf

6 páginas

He publicado nuevos apuntes de 1º Matemáticas II: Derivacion-de-funciones.pdf

11 páginas

He publicado nuevos apuntes de 1º Matemáticas II: Funcion-de-una-y-varias-variables.pdf

8 páginas

He publicado nuevos ejercicios de 1º Matemáticas II: T2 apuntes y problemas.pdf

7 páginas

He publicado nuevos apuntes de 1º Matemáticas II: T3-apuntes para el examen.pdf

7 páginas

He publicado nuevos ejercicios de 1º Matemáticas II: T3 problemas paso a paso.pdf

10 páginas

He publicado nuevos apuntes de 1º Matemáticas II: TEMA-1-Funciones.-Continuidad-Y-derivabilidad-en-una-y-varias-variables..pdf

24 páginas

apuntes

-

Apuntes

He publicado nuevos apuntes de 1º Matemáticas II: Apuntes

tema-1.pdf
tema-2.pdf
tema-3-Aplicaciones-de-las-derivadas.pdf
Integrales.pdf
tema-6.pdf
tema-2.pdf

He publicado nuevos apuntes de 1º Matemáticas II: TEMA-1-FUNCIONES-DE-UNA-Y-VARIAS-VARIABLES.pdf

7 páginas

He publicado nuevos ejercicios de 1º Matemáticas II: T5 problemas explicados.pdf

13 páginas

He publicado nuevos apuntes de 1º Matemáticas II: MATES-II-PARA-APROBAR.pdf

12 páginas

He publicado nuevos apuntes de 1º Matemáticas II: coleccion-examenes.pdf

34 páginas

examenes

-

EXÁMENES RESUELTOS Convocatorias 2017-2023

He publicado nuevos examenes de 1º Matemáticas II: EXÁMENES RESUELTOS Convocatorias 2017-2023

17-18. 1Convo RESUELTO.pdf
17-18. 2Convo RESUELTO.pdf
17-18. 3Convo RESUELTO.pdf
18-19. 1Convo RESUELTO.pdf
18-19. 3Convo RESUELTO.pdf
19-20. 1Convo RESUELTO.pdf

He publicado nuevos examenes de 1º Matemáticas II: 22-23 2Convo SOLUCIÓN.pdf

8 páginas

He publicado nuevos otros de 1º Matemáticas II: ESTADISTICAS 2Convo 22-23.pdf

1 página

He publicado nuevos examenes de 1º Matemáticas II: 22-23 2Convo.pdf

1 página

He publicado nuevos examenes de 1º Matemáticas II: Falso Final Detallado 22/23 by Makumba.pdf

16 páginas

ejercicios

-

PROBLEMAS RESUELTOS por temas (detallados)

He publicado nuevos ejercicios de 1º Matemáticas II: PROBLEMAS RESUELTOS por temas (detallados)

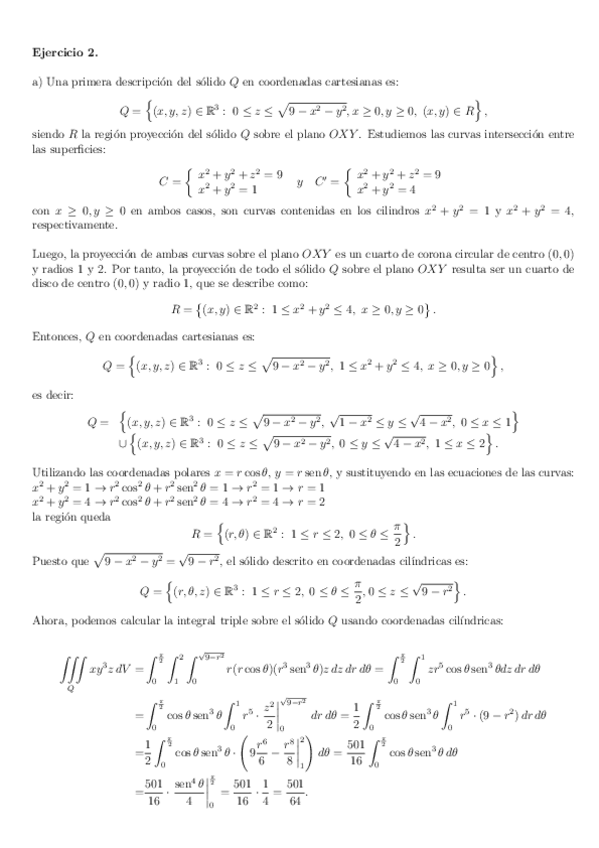
Tema 5.1 Integral múltiple.pdf
Tema 4.2 Integral definida.pdf
Tema 4.1 Ejercicios de Cálculo de primitivas.pdf
Tema 4. Integral indefinida. Cálculo de primitivas.pdf
Tema 3.2 Extremos de funciones de dos variables.pdf
Tema 3.1 Extremos de funciones de una variable.pdf
Anónimo

@Anónimo

He publicado nuevos apuntes de 1º Matemáticas II: SUPER-RESUMEN-MATES2.pdf

4 páginas

apuntes

-

Resumenes

He publicado nuevos apuntes de 1º Matemáticas II: Resumenes

tema-1.pdf
tema-2.pdf
tema-3.pdf
tema-4.pdf
tema-5.pdf
tema-6.pdf

examenes

-

EXÁMENES RESUELTOS Alternativos 2017-2023

He publicado nuevos examenes de 1º Matemáticas II: EXÁMENES RESUELTOS Alternativos 2017-2023

17-18 RESUELTO.pdf
18-19 RESUELTO.pdf
19-20 RESUELTO.pdf
20-21 RESUELTO.pdf
21-22 RESUELTO.pdf
22-23 RESUELTO.pdf