Matemáticas II
Apuntes con explicaciones y ejemplos de ejercicios de clase y tipo examen. Tema números complejos
INICIO DE CURSO MATEMÁTICAS II Resumen de cada tema. Resolución de ejercicios y exámenes de convocatorias anteriores. Clases grabadas hasta el día del examen. Profesor a tu disposición en cualquier momento para dudas. INFÓRMATE SIN COMPROMISO Y DA UNA CLASE DE PRUEBA EN GRUPO.

He publicado nuevos examenes de 1º Matemáticas II: Examen-Extraordinario-2025.pdf
He publicado nuevos apuntes de 1º Matemáticas II: Teoria-y-Ejercicios-de-Examen.pdf
He publicado nuevos apuntes de 1º Matemáticas II: Longuitud-de-arco-areas-y-volumenes-de-revolucion-tema-3con-ejercicios.pdf
He publicado nuevos ejercicios de 1º Matemáticas II: relacion-5-mates-II-grupo-A-integrales-dobles.pdf
He publicado nuevos ejercicios de 1º Matemáticas II: relacion-4-mates-II-grupo-A.pdf
He publicado nuevos examenes de 1º Matemáticas II: Examen-mates-2025.pdf
apuntes
-
Matemáticas II
He publicado nuevos apuntes de 1º Matemáticas II: Matemáticas II
He publicado nuevos ejercicios de 1º Matemáticas II: resumen-todos-los-temas-preguntas-examenes-parciales.pdf
He publicado nuevos examenes de 1º Matemáticas II: Examen-extraordinaria-23-24.pdf
He publicado nuevos examenes de 1º Matemáticas II: mat2convordexamenresuelto.pdf
He publicado nuevos apuntes de 1º Matemáticas II: practica-academia-22-mayo.wxmx
He publicado nuevos apuntes de 1º Matemáticas II: Practica-academia-3-abril.wxmx
He publicado nuevos apuntes de 1º Matemáticas II: Practica-academia.wxmx
He publicado nuevos apuntes de 1º Matemáticas II: ejercicios-parcial-1.pdf
He publicado nuevos examenes de 1º Matemáticas II: parcial-2-resuelto-completo.pdf
He publicado nuevos examenes de 1º Matemáticas II: 2o-PARCIAL-RESUELTO-MATEMATICAS-II-2324.pdf
He publicado nuevos examenes de 1º Matemáticas II: 1er-PARCIAL-RESUELTO-MATEMATICAS-II-2324.pdf
ejercicios
-
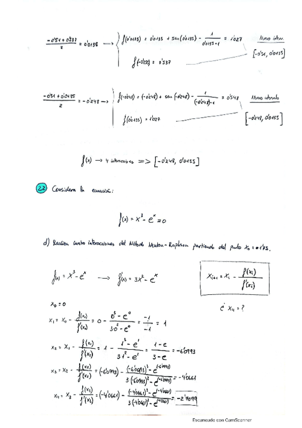
Ejer. resueltos con procedimiento Matemáticas ll
He publicado nuevos ejercicios de 1º Matemáticas II: Ejer. resueltos con procedimiento Matemáticas ll
apuntes
-
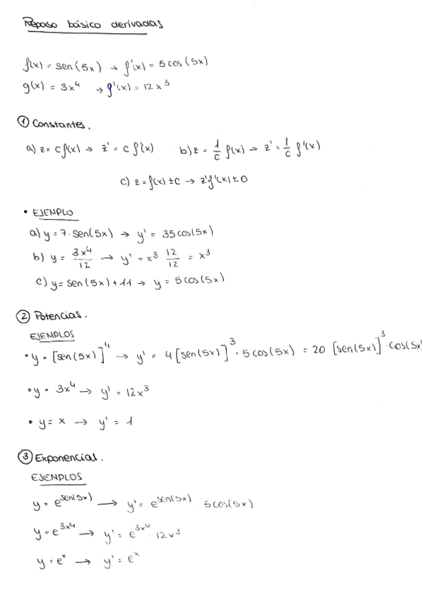
Teoría Matemáticas II
He publicado nuevos apuntes de 1º Matemáticas II: Teoría Matemáticas II
He publicado nuevos examenes de 1º Matemáticas II: Parcial-1-2024-grupo-B.jpeg
He publicado nuevos apuntes de 1º Matemáticas II: TEMA-1-NUMEROS-REALES-Y-COMPLEJOS.pdf
He publicado nuevos apuntes de 1º Matemáticas II: Formulario-1-Numeros-Complejos.pdf
INTENSIVO CURSO DE MATEMÁTICAS II
ACADEMIA UNIVERSITARIA INTENSIVO MATEMÁTCIAS II GRADO INGENIERÍA EDIFICACIÓN Resolución paso a paso de todos tus ejercicios y exámenes de años anteriores. TODAS TUS CLASES GRABADAS Y EN PDF PARA VISUALIZARLAS HASTA EL DÍA DEL EXAMEN. Clases online y presenciales. Horario de mañana y tarde.

Apuntes con ejemplos resueltos de la Lección 1, incluye también el ejercicio de la relación resuelto.
He publicado nuevos ejercicios de 1º Matemáticas II: PRACTICA-3-MAXIMA.pdf
He publicado nuevos ejercicios de 1º Matemáticas II: EJERICICIOS-RESUELTOS-MAXIMA-P1-P2-26-4-23.pdf
He publicado nuevos examenes de 1º Matemáticas II: parcial-grupo-a-2.pdf
He publicado nuevos examenes de 1º Matemáticas II: parcia-grupo-a-1.pdf
He publicado nuevos examenes de 1º Matemáticas II: Ejercicio-2-EXAMEN.pdf
He publicado nuevos examenes de 1º Matemáticas II: Ejercicio1-examen.pdf
He publicado nuevos ejercicios de 1º Matemáticas II: ejercicios-parctica-4.pdf
He publicado nuevos ejercicios de 1º Matemáticas II: Ejercicos-Practica-2.pdf
He publicado nuevos ejercicios de 1º Matemáticas II: ejercicios-matematicas-tema-2.pdf
apuntes
-
Apuntes y examenes Matemáticas II
He publicado nuevos apuntes de 1º Matemáticas II: Apuntes y examenes Matemáticas II
He publicado nuevos apuntes de 1º Matemáticas II: Ejercicios-Apuntes2.pdf
He publicado nuevos apuntes de 1º Matemáticas II: Ejercicios-Apuntes.pdf
examenes
-
test
He publicado nuevos examenes de 1º Matemáticas II: test
He publicado nuevos examenes de 1º Matemáticas II: Extraordinario-Mates.pdf
He publicado nuevos examenes de 1º Matemáticas II: segundoparcial2020.pdf
examenes
-
Examen final 2019-20
He publicado nuevos examenes de 1º Matemáticas II: Examen final 2019-20