Matemáticas II

chevron_left
chevron_right
Todo
Apuntes
Ejercicios
Exámenes
Prácticas
chevron_left
chevron_right

He publicado nuevos apuntes de 1º Matemáticas II: TEMA-4-METODOS-NUMERICOS.pdf

10 páginas

apuntes

-

TEMA 2 - MÉTODOS NUMÉRICOS

He publicado nuevos apuntes de 1º Matemáticas II: TEMA 2 - MÉTODOS NUMÉRICOS

TEMA-2.pdf
EJERCICIOS.pdf

He publicado nuevos apuntes de 1º Matemáticas II: TEMA-1-METODOS-NUMERICOS.pdf

4 páginas

He publicado nuevos apuntes de 1º Matemáticas II: TEMA-6-ECUACIONES-DIFERENCIALES.pdf

12 páginas

He publicado nuevos apuntes de 1º Matemáticas II: TEMA-5-ECUACIONES-DIFERENCIALES.pdf

24 páginas

He publicado nuevos apuntes de 1º Matemáticas II: EJERCICIOS-ECUACIONES-DIFERENCIALES.pdf

20 páginas

He publicado nuevos apuntes de 1º Matemáticas II: RESUMEN-ECUACIONES-DIFERENCIALES.pdf

2 páginas
Anónimo

@Anónimo

He publicado nuevos examenes de 1º Matemáticas II: Metodos-numericos.pdf

1 página

apuntes

-

Practicas Maxima

He publicado nuevos apuntes de 1º Matemáticas II: Practicas Maxima

Miniatura no disponible
P04luciasolano.wxm
Miniatura no disponible
P05luciasolano.wxm
Miniatura no disponible
P01luciasolano.wxm
Miniatura no disponible
P03luciasolano.wxm
Miniatura no disponible
P06luciasolano.wxm

He publicado nuevos apuntes de 1º Matemáticas II: TABLAS-DERIVADAS-E-INTEGRALES.pdf

2 páginas

He publicado nuevos apuntes de 1º Matemáticas II: TEMA-4-INTEGRACION-NUMERICA-MT-II.pdf

4 páginas

He publicado nuevos apuntes de 1º Matemáticas II: TEMA-3-MT-II.pdf

4 páginas

He publicado nuevos apuntes de 1º Matemáticas II: TEMA-2-MT-II.pdf

6 páginas

He publicado nuevos apuntes de 1º Matemáticas II: parcial-II.pdf

2 páginas

He publicado nuevos examenes de 1º Matemáticas II: EXAMEN-PARTE-1-MATEMATICAS-2-2020-21.pdf

10 páginas

practicas

-

PRACTICAS MAXIMA

He publicado nuevos practicas de 1º Matemáticas II: PRACTICAS MAXIMA

Miniatura no disponible
practica-6-1.zip
Miniatura no disponible
Practica-6-2.zip
Miniatura no disponible
Practica-1.zip
Miniatura no disponible
Practica-5.zip
Miniatura no disponible
Practica-3.zip
Miniatura no disponible
Practica-2.zip

He publicado nuevos examenes de 1º Matemáticas II: test-maxima.zip

Miniatura no disponible
zip

examenes

-

EXAMEN MAXIMA

He publicado nuevos examenes de 1º Matemáticas II: EXAMEN MAXIMA

Miniatura no disponible
Examen-evaluacion-practica-4.zip
Miniatura no disponible
Practica-evaluacion-6.zip
Miniatura no disponible
evaluacion-practica-1.zip
Miniatura no disponible
Examen-evaluacion-practica-3.zip
Miniatura no disponible
Examen-practica-3.zip
Miniatura no disponible
Examen-evaluacion-practica-5.zip

practicas

-

PRACTICAS MATEMATICAS I

He publicado nuevos practicas de 1º Matemáticas II: PRACTICAS MATEMATICAS I

Miniatura no disponible
practica-7.zip
Miniatura no disponible
Practica-2.zip
Miniatura no disponible
practica-6-1.zip
Miniatura no disponible
Practica-6-2.zip
Miniatura no disponible
Practica-5.zip
Miniatura no disponible
Practica-3.zip
Anónimo

@Anónimo

practicas

-

Prácticas maxima

He publicado nuevos practicas de 1º Matemáticas II: Prácticas maxima

Practica-5.pdf
Practica-3.pdf
Practica-1.pdf
Practica-2.pdf
Practica-4.pdf
Anónimo

@Anónimo

apuntes

-

Ejercicios resueltos- Curso 2018/19

He publicado nuevos apuntes de 1º Matemáticas II: Ejercicios resueltos- Curso 2018/19

tema-1.pdf
tema-6.pdf
Tema-4.pdf
tema-2.pdf
Tema-5.pdf
Tema-7.pdf

He publicado nuevos practicas de 1º Matemáticas II: COMANDOS MAXIMA.pdf

26 páginas

He publicado nuevos apuntes de 1º Matemáticas II: CHULETARIO TEMAS 6 Y 7 EDO'S.pdf

5 páginas

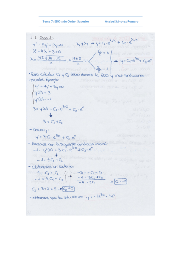
He publicado nuevos apuntes de 1º Matemáticas II: TEMA 7 EDO'S DE ORDEN SUPERIOR.pdf

13 páginas

He publicado nuevos examenes de 1º Matemáticas II: GLOBAL FEBRERO 2016-2017.pdf

1 página

He publicado nuevos examenes de 1º Matemáticas II: PARCIAL EDOS 2016-2017.pdf

1 página

He publicado nuevos examenes de 1º Matemáticas II: PARCIAL MÉTODOS NUMÉRICOS 2016-2017.pdf

1 página

He publicado nuevos examenes de 1º Matemáticas II: GLOBAL JUNIO 2015-2016.pdf

1 página

practicas

-

Ejercicios Practica 3 resueltos

He publicado nuevos practicas de 1º Matemáticas II: Ejercicios Practica 3 resueltos

ejercicios_practica_3_integracion__resolucion.pdf
ejercicios_practica_3_resolucion.pdf

He publicado nuevos practicas de 1º Matemáticas II: ejercicios_practica_2_resolucion.pdf

8 páginas

He publicado nuevos practicas de 1º Matemáticas II: ejercicios_practica_1_resolucion.pdf

5 páginas

He publicado nuevos ejercicios de 1º Matemáticas II: ejercicios_tema_6_1012.pdf

2 páginas

He publicado nuevos ejercicios de 1º Matemáticas II: ejercicios_tema_7_1012.pdf

2 páginas

He publicado nuevos apuntes de 1º Matemáticas II: Aproximacion e interpolación de funciones.pdf

2 páginas

He publicado nuevos ejercicios de 1º Matemáticas II: Metodos_integracion_numerica.pdf

2 páginas

He publicado nuevos ejercicios de 1º Matemáticas II: ejercicios_tema_3.pdf

1 página

He publicado nuevos ejercicios de 1º Matemáticas II: Problemas_tema1.pdf

1 página

He publicado nuevos ejercicios de 1º Matemáticas II: Problemas_tema2.pdf

1 página

He publicado nuevos examenes de 1º Matemáticas II: 2º Parcial de Matemáticas II 2017.pdf

1 página
¡Estás al día!

¡Estás al día!

Has visto todos los archivos