Matemáticas II

chevron_left
chevron_right
Todo
Apuntes
Ejercicios
Exámenes
Prácticas
publication
chevron_left
chevron_right

Curso online Matemáticas II Economía UB - ESTADISTIX

apuntes

-

matemàtiques ii

He publicado nuevos apuntes de 1º Matemáticas II: matemàtiques ii

resum-integrals.pdf
apunts-integrals--diferencials.pdf
teoria-optimitzacio.pdf
apunts-optimitzacio.pdf

He publicado nuevos apuntes de 1º Matemáticas II: Mates-II.pdf

27 páginas

He publicado nuevos apuntes de 1º Matemáticas II: PROGRAMACIO-LINEAL.pdf

7 páginas
Anónimo

@Anónimo

(catalán) apuntes y ejercicios de tema 1 (optimización con restricciones de igualdad) y tema 2 (optimización con restricciones de desigualdad)

23 páginas

He publicado nuevos apuntes de 1º Matemáticas II: Mates-II-Economia-UB-Dosier-de-Prueba.pdf

10 páginas

He publicado nuevos apuntes de 1º Matemáticas II

https://youtu.be/I1NXi_ehzTc

practicas

-

Pràctiques aula informàtica

He publicado nuevos practicas de 1º Matemáticas II: Pràctiques aula informàtica

Practica-1.pdf
Practica-2-Derivades-parcials-versio-simplificada.pdf
Practica-3-Optimitzacio-versio-simplificada.pdf

examenes

-

Exàmens per practicar

He publicado nuevos examenes de 1º Matemáticas II: Exàmens per practicar

PROVA-AVALUACIO-1-2A-SUBGRUP-2.pdf
PROVA-AVALUACIO-1-2A-SUGRUP-1.pdf
PROVA-AVALUACIO-1-2C-SUBGRUP-1.pdf
PROVA-AVALUACIO-1-2C-SUBGRUP-2.pdf
PROVA-AVALUACIO-1-2020-2B-subgrup-1-solucionada.pdf
PROVA-AVALUACIO-1-2020-2B-subgrup-1.pdf

apuntes

-

mates II

He publicado nuevos apuntes de 1º Matemáticas II: mates II

Bloc-1-Tema-1-Optimitzacio-rest-igualtat-Alumnes.pdf
Bloc-1-Tema-2-Optimitzacio-rest-desigualtat-Alumnes.pdf
Bloc-2-Tema-1-Integracio-Alumnes.pdf
Bloc-2-Tema-2-EDO-Alumnes-complet.pdf
Anónimo

@Anónimo

He publicado nuevos examenes de 1º Matemáticas II: Ex-Mates-I-ECO-Mod-solucions.pdf

5 páginas
Anónimo

@Anónimo

He publicado nuevos ejercicios de 1º Matemáticas II: soluciones-ej-T2.2.pdf

2 páginas
Anónimo

@Anónimo

He publicado nuevos ejercicios de 1º Matemáticas II: soluciones-ej-T2.1.pdf

4 páginas
Anónimo

@Anónimo

He publicado nuevos ejercicios de 1º Matemáticas II: soluciones-ej-T1.2.pdf

3 páginas
Anónimo

@Anónimo

He publicado nuevos ejercicios de 1º Matemáticas II: soluciones-ej-T1.1.pdf

2 páginas
Anónimo

@Anónimo

He publicado nuevos ejercicios de 1º Matemáticas II: ejericios-tema-2.2.pdf

3 páginas
Anónimo

@Anónimo

He publicado nuevos ejercicios de 1º Matemáticas II: ejercicios-tema-2.1.pdf

5 páginas
Anónimo

@Anónimo

He publicado nuevos ejercicios de 1º Matemáticas II: ejercicios-tema-1.2.pdf

4 páginas
Anónimo

@Anónimo

He publicado nuevos ejercicios de 1º Matemáticas II: ejercicios-tema-1.1.pdf

3 páginas
Anónimo

@Anónimo

He publicado nuevos apuntes de 1º Matemáticas II: TABLA-DE-INTEGRALES-INMEDIATAS-Para-funciones-reales-de-variable-real.pdf

5 páginas

apuntes

-

MATES II

He publicado nuevos apuntes de 1º Matemáticas II: MATES II

MATEMATICAS-II-MEJOR-TRUCO-PARA-DERIVADAS.pdf
MATEMATICAS-II-TEMA-4-5-funciones-y-derivadas.pdf
MATEMATICAS-II-EJERCICIOS-TEMA-7-8.pdf
MATEMATICAS-II-formularios-tema-1-3.pdf
MATEMATICAS-II-resumen-tema-1-4.pdf
MATEMATICAS-II-EJERCICIOS-TEMA-1-6.pdf

apuntes

-

Teoría

He publicado nuevos apuntes de 1º Matemáticas II: Teoría

IMG20191002190520.jpg
IMG20191002190527.jpg
IMG20191002190535.jpg
IMG20191002190515.jpg
IMG20191002190512.jpg
IMG20191002190506.jpg

ejercicios

-

EXERCICIS MATES II

He publicado nuevos ejercicios de 1º Matemáticas II: EXERCICIS MATES II

IMG20191002105509.jpg
IMG20191002105610.jpg
IMG20191002105501.jpg
IMG20191002105634.jpg
IMG20191002105621.jpg
IMG20191002105627.jpg

ejercicios

-

Ejercicios

He publicado nuevos ejercicios de 1º Matemáticas II: Ejercicios

IMG20191002174652.jpg
IMG20191002113904.jpg
IMG20191002113930.jpg
IMG20191002113926.jpg
IMG20191002113921.jpg
IMG20191002113907.jpg
Anónimo

@Anónimo

ejercicios

-

Ejercicios solucionados

He publicado nuevos ejercicios de 1º Matemáticas II: Ejercicios solucionados

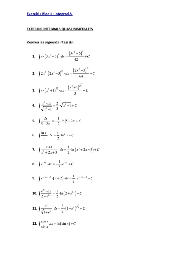
3-Solucio-Integrals-quasi-immediates-i-substitucio.pdf
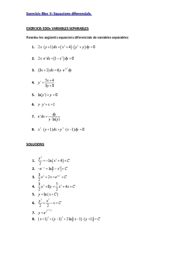
7-Solucio-EDOseparables.pdf
4-Solucions-Exercicisintegrals-definides.pdf
2-Solucio-ExercicisLagrange.pdf
3-Solucio-de-Exercicis-PL2variables.pdf
4-Solucio-Exercicis-PNL.pdf
Anónimo

@Anónimo

Apunts d'integració i exercicis / Apuntes de integración y ejercicios

8 páginas
¡Estás al día!

¡Estás al día!

Has visto todos los archivos