chevron_left
chevron_right
Todo
Apuntes
Exámenes
chevron_left
chevron_right

He publicado nuevos examenes de 1º Matemáticas II: KP-R-22-23.pdf

2 páginas

He publicado nuevos examenes de 1º Matemáticas II: Errek123-24.pdf

2 páginas

He publicado nuevos examenes de 1º Matemáticas II: kp121-22.pdf

1 página

He publicado nuevos examenes de 1º Matemáticas II: kp123-24b.pdf

1 página

He publicado nuevos examenes de 1º Matemáticas II: kp0122-23.pdf

3 páginas

He publicado nuevos examenes de 1º Matemáticas II: KP1-R-21-22.pdf

1 página

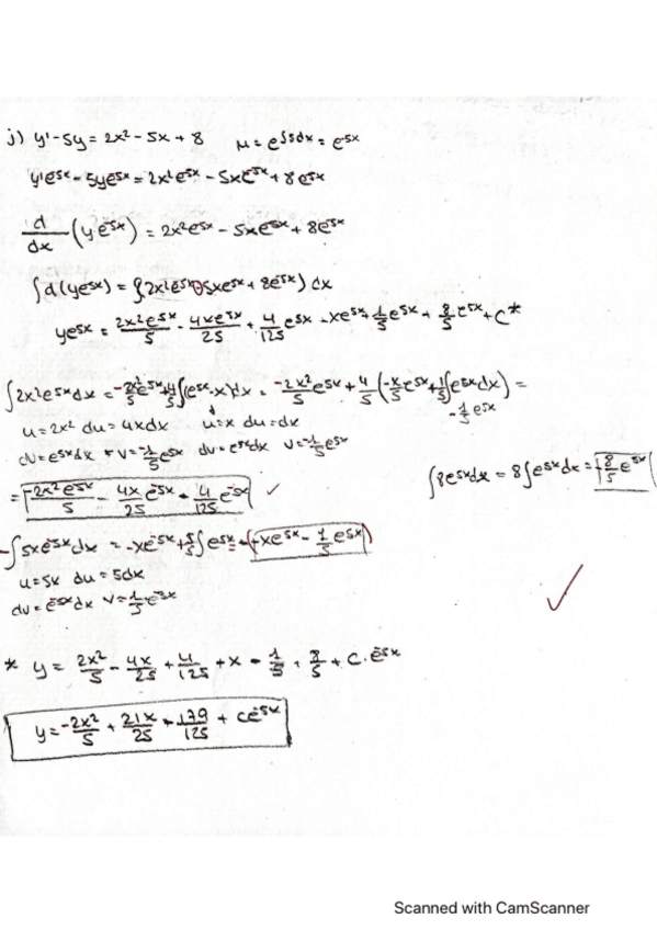
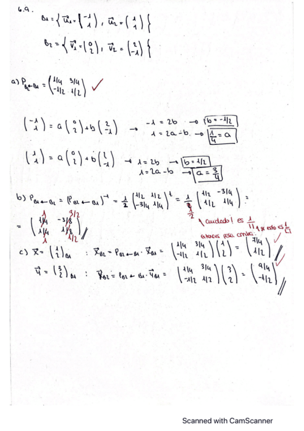
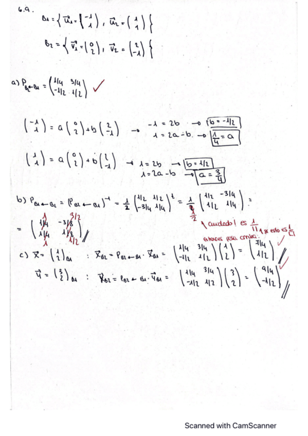
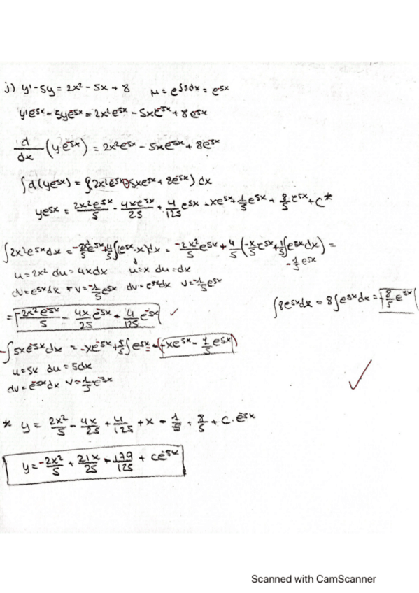
He publicado nuevos apuntes de 1º Matemáticas II: CamScanner-09-24-2022-12.pdf

14 páginas

He publicado nuevos apuntes de 1º Matemáticas II: CamScanner-09-21-2022-22.pdf

8 páginas

He publicado nuevos apuntes de 1º Matemáticas II: CamScanner-09-21-2022-22.pdf

11 páginas
¡Estás al día!

¡Estás al día!

Has visto todos los archivos