chevron_left
chevron_right
Todo
Apuntes
Ejercicios
Exámenes
Prácticas
Trabajos
chevron_left
chevron_right

examenes

-

Exámenes matemáticas II

Exámenes de los últimos años de Matemáticas II resueltos en inglés

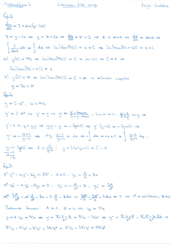
Exam-Mathematics-II-Midterm-I-21-22.pdf
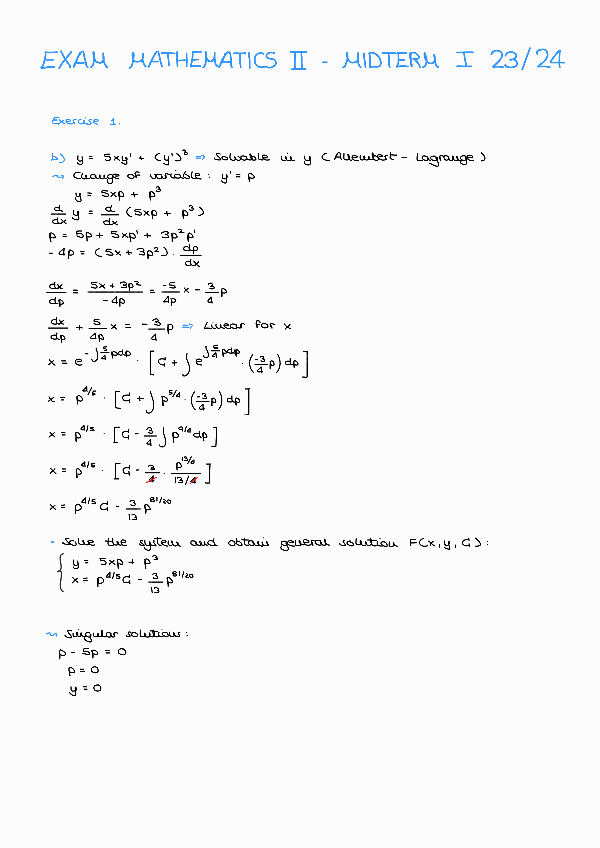
Exam-Mathematics-II-Midterm-I-23-24.pdf
Exam-Mathematics-II-Midterm-I-24-25.pdf
Exam-Mathematics-II-Midterm-II-21-22.pdf
Exam-Mathematics-II-Midterm-II-24-25.pdf
Exam-Mathematics-II-Resit-24-25.pdf

examenes

-

2º parcial

He publicado nuevos examenes de 2º Matemáticas II: 2º parcial

2o-Parcial-2425.pdf
2o-Parcial-2425-recuperacion.pdf
2o-Parcial-2122.pdf
2o-Parcial-1920.pdf

He publicado nuevos apuntes de 2º Matemáticas II: EJERCICIOS-TIPO.-EXAMEN-FINAL-DE-MATES-II.pdf

18 páginas

ejercicios

-

Ejercicios mates

Ejercicios de todos los temas de mates

T1-mates-ejercicios.pdf
T2-mates-ejercicios.pdf
T3-mates-ejercicios.pdf
T4-mates-ejercicios.pdf
T5-mates-ejercicios.pdf
T6-mates-ejercicios.pdf

apuntes

-

Apuntes Matemáticas II

Apuntes de todos los temas de Matemáticas II en inglés

Unit-1-Differential-equations-of-order-1.pdf
Unit-2-Differential-equations-of-higher-order.pdf
Unit-3-Systems-of-differential-equations.pdf
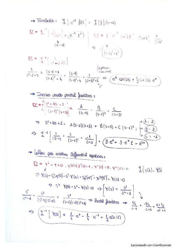
Unit-4-Laplace-transform.pdf
Unit-5-Analytical-solutions-of-ODEs.pdf
Unit-6-First-PDEs.pdf

apuntes

-

Teoría mates

Teoría de todos los temas de matemáticas

T1-mates.pdf
T2-mates.pdf
T3-mates.pdf
T4-mates.pdf
T5-mates.pdf
T6-mates.pdf
Anónimo

@Anónimo

He publicado nuevos apuntes de 2º Matemáticas II: Resumen-EDO.pdf

3 páginas

examenes

-

Exámenes - Matemáticas II

Recopilación de exámenes que, a partir de ahora, tendréis disponible para evitar tener que pagar demasiado a una academia, a cambio solo pido una descargas. ¡Ánimo con la carrera y no os dejéis estafar! Ingeniesaurio PD. Si queréis que quite la marca de a

Matemáticas II - Parcial 1 - Ingeniesaurio.pdf
Matemáticas II - Parcial 2 - Ingeniesaurio.pdf
Matemáticas II - Recuperación - Ingeniesaurio.pdf

He publicado nuevos apuntes de 2º Matemáticas II: Notas-Mates-II.xlsx

excel

He publicado nuevos examenes de 2º Matemáticas II: primerparcialresuelto2024.pdf

5 páginas

Apuntes temas

11 páginas

He publicado nuevos apuntes de 2º Matemáticas II: Teoria-sistemas-clase.pdf

8 páginas

He publicado nuevos apuntes de 2º Matemáticas II: Teoria-EDOs-clase.pdf

26 páginas

He publicado nuevos apuntes de 2º Matemáticas II: Resumen-Parcial-1.pdf

6 páginas

He publicado nuevos apuntes de 2º Matemáticas II: LaPlace-Clase.pdf

5 páginas

He publicado nuevos apuntes de 2º Matemáticas II: La-Place-Resumen.pdf

4 páginas

examenes

-

Ejercicios resueltos exámenes

He publicado nuevos examenes de 2º Matemáticas II: Ejercicios resueltos exámenes

Ejercicios-resueltos-variados-Parcial-1.pdf
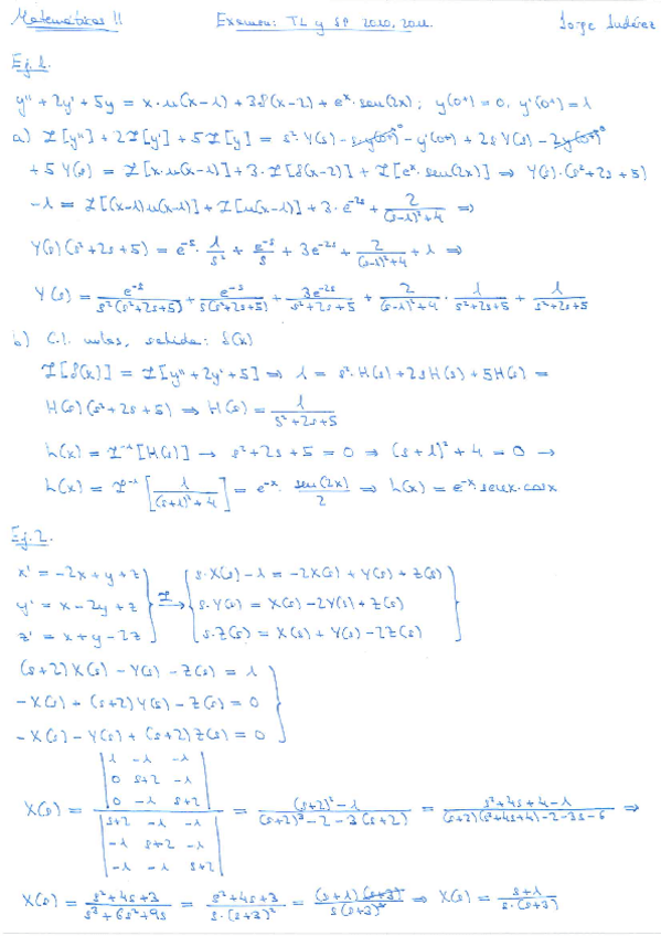
Parcial-1-2020-y-2022.pdf
Parcial-2-2016-RESUELTO.pdf
Parcial-2-2019-RESUELTO.pdf
Parcial-2-2020-RESUELTO.pdf
Parcial-2-EDPs-y-Series.pdf

He publicado nuevos examenes de 2º Matemáticas II: ExPL2024CaballeroG821.nb

Miniatura no disponible

He publicado nuevos apuntes de 2º Matemáticas II: ResumenFormulario-Mat-2-1oParcial.pdf

4 páginas

He publicado nuevos apuntes de 2º Matemáticas II: apuntes-segundo-parcial-completo.pdf

5 páginas

practicas

-

Practicas Mathematica corregidas

He publicado nuevos practicas de 2º Matemáticas II: Practicas Mathematica corregidas

Miniatura no disponible
S01G821-1.nb
Miniatura no disponible
S02G821-1.nb
Miniatura no disponible
S03G821-1.nb
Miniatura no disponible
S04G821-1.nb
Miniatura no disponible
S05G821-1.nb
Miniatura no disponible
S06G821-1.nb

examenes

-

Poliformat Mathematica Exam 2024

He publicado nuevos examenes de 2º Matemáticas II: Poliformat Mathematica Exam 2024

Captura-de-pantalla-2024-01-29-182159.png
Captura-de-pantalla-2024-01-29-182538.png
Captura-de-pantalla-2024-01-29-183235.png
Captura-de-pantalla-2024-01-29-183959.png
Captura-de-pantalla-2024-01-29-184009.png
Captura-de-pantalla-2024-01-29-184626.png

He publicado nuevos examenes de 2º Matemáticas II: 2023examsolved.nb

Miniatura no disponible

He publicado nuevos apuntes de 2º Matemáticas II: 2018examsolved.nb

Miniatura no disponible

He publicado nuevos apuntes de 2º Matemáticas II: ExPL202G82.nb

Miniatura no disponible

He publicado nuevos examenes de 2º Matemáticas II: formulariomathematicaexamall-exercises.nb

Miniatura no disponible

He publicado nuevos apuntes de 2º Matemáticas II: Formulario-2-parcial.pdf

5 páginas

He publicado nuevos examenes de 2º Matemáticas II: All Second Exams-Maths-II-solved.pdf

25 páginas

He publicado nuevos ejercicios de 2º Matemáticas II: Ejercicios-Practicar-Examen-2o-Parcial.pdf

18 páginas

He publicado nuevos apuntes de 2º Matemáticas II: 2o-PARCIAL-FORMULARIO.pdf

1 página

He publicado nuevos apuntes de 2º Matemáticas II: ResumenFormulario-Mat-2-2oParcial.pdf

6 páginas

apuntes

-

Teoría de clase - Matemáticas II

He publicado nuevos apuntes de 2º Matemáticas II: Teoría de clase - Matemáticas II

Tema 6 - Primeras EDPs.pdf
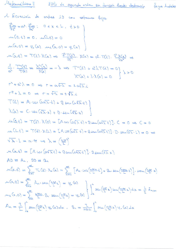
Tema 7 - EDPs de segundo orden sin función fuente.pdf
Tema 8 - EDPs de segundo orden con función fuente.pdf

apuntes

-

Prácticas 2023/24

He publicado nuevos apuntes de 2º Matemáticas II: Prácticas 2023/24

Miniatura no disponible
PL01CaballeroMiguelAngel821.nb
Miniatura no disponible
PL02CaballeroMiguelAngel821.nb
Miniatura no disponible
PL03CaballeroMiguelAngel821.nb
Miniatura no disponible
PL04CaballeroMiguelAngel821.nb
Miniatura no disponible
PL05CaballeroMiguelAngel821.nb
Miniatura no disponible
PL06CaballeroMiguelAngel821.nb

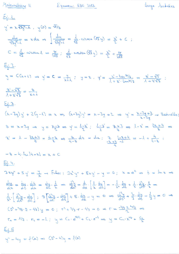
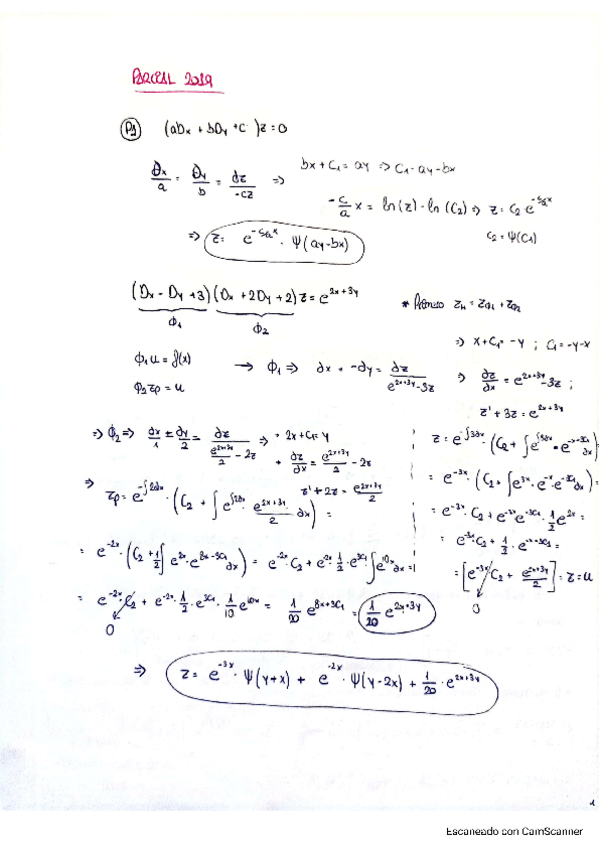
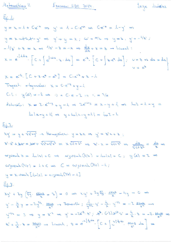
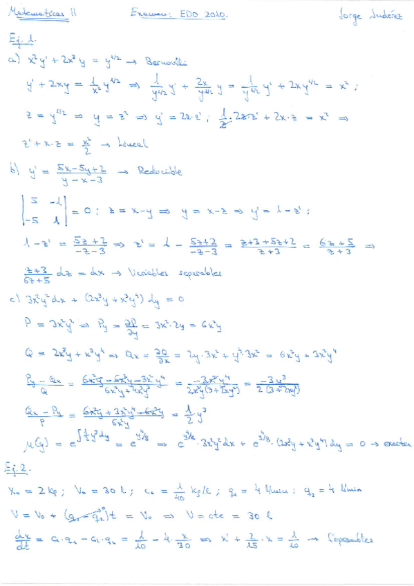
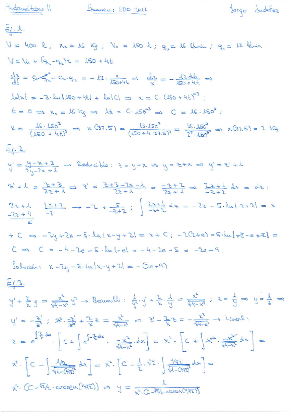
He publicado nuevos examenes de 2º Matemáticas II: Parcial-2011-EDOs.pdf

5 páginas

examenes

-

Exámenes mates II

He publicado nuevos examenes de 2º Matemáticas II: Exámenes mates II

Examen-Matematicas-II.pdf
Examen-Matematicas-II-2.pdf
Examen-Matematicas-II-1.pdf
Examen-Matematicas-II-3.pdf

He publicado nuevos apuntes de 2º Matemáticas II: 2Parcial-Mates-II-Formulario.pdf

2 páginas

He publicado nuevos apuntes de 2º Matemáticas II: Formulario-Mates-II.pdf

6 páginas

He publicado nuevos apuntes de 2º Matemáticas II: Chapter-1-Esquema.pdf

3 páginas

apuntes

-

Mates II

He publicado nuevos apuntes de 2º Matemáticas II: Mates II

MatesIIParcial2.pdf
MatesIIParcial1.pdf

He publicado nuevos apuntes de 2º Matemáticas II: Resumen-T1-8.pdf

16 páginas

He publicado nuevos examenes de 2º Matemáticas II: Examen-Mathematica-Recopilacion-ejercicios-explicados.pdf

28 páginas

practicas

-

Prácticas Mathematica corregidas

He publicado nuevos practicas de 2º Matemáticas II: Prácticas Mathematica corregidas

PL01.pdf
PL02.pdf
PL02Ejercicios-para-practicar.pdf
PL03.pdf
PL04.pdf
PL05.pdf

apuntes

-

Prácticas Mathematica 2020/21

He publicado nuevos apuntes de 2º Matemáticas II: Prácticas Mathematica 2020/21

S02Mathematica.pdf
S09Mathematica.pdf
S06Mathematica.pdf
S04Mathematica.pdf
S01Mathematica.pdf
S08Mathematica.pdf

He publicado nuevos apuntes de 2º Matemáticas II: PDEs-and-Analytic-Resolution-of-ODEs.pdf

58 páginas

He publicado nuevos apuntes de 2º Matemáticas II: ODEs-and-Laplace-Transform.pdf

73 páginas
Anónimo

@Anónimo

apuntes

-

Formulario Mates II Ambos Parciales

He publicado nuevos apuntes de 2º Matemáticas II: Formulario Mates II Ambos Parciales

Formulario-Mates-II-Segundo-Parcial-Wuolah.pdf
Formulario-Mates-II-Primer-Parcial-Wuolah.pdf
Anónimo

@Anónimo

practicas

-

Prácticas Mathematica Mates II

He publicado nuevos practicas de 2º Matemáticas II: Prácticas Mathematica Mates II

821PL02.nb
821PLO1.nb
821PL07.nb
821PL09.nb
821PL06.nb
821PL05.nb

He publicado nuevos apuntes de 2º Matemáticas II: Resumen-primer-examen-ED-1.pdf

7 páginas
Anónimo

@Anónimo

examenes

-

Ecuaciones Diferenciales - ED3

He publicado nuevos examenes de 2º Matemáticas II: Ecuaciones Diferenciales - ED3

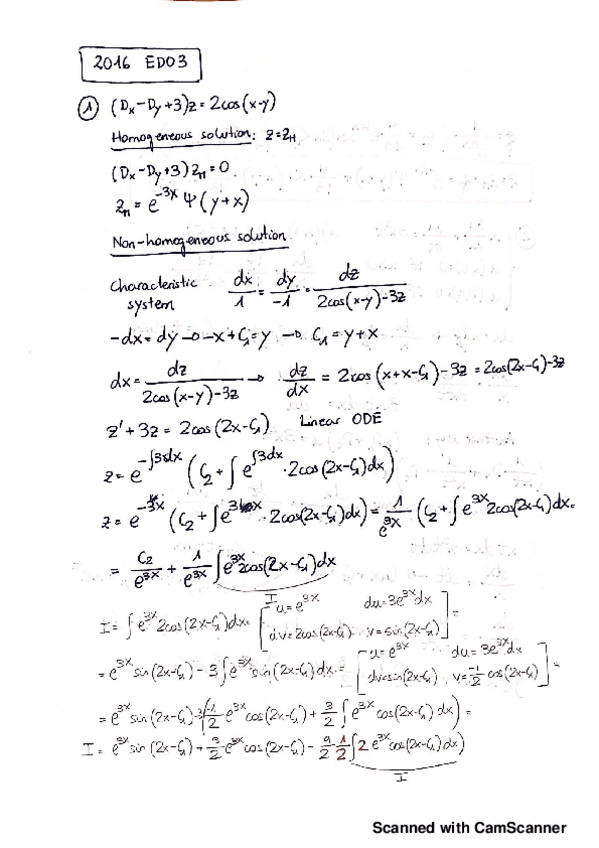
Sol4y5ED32015.pdf
Ed3-2016.pdf
ED32018.jpg
ED32015.pdf

apuntes

-

Apuntes de clase

He publicado nuevos apuntes de 2º Matemáticas II: Apuntes de clase

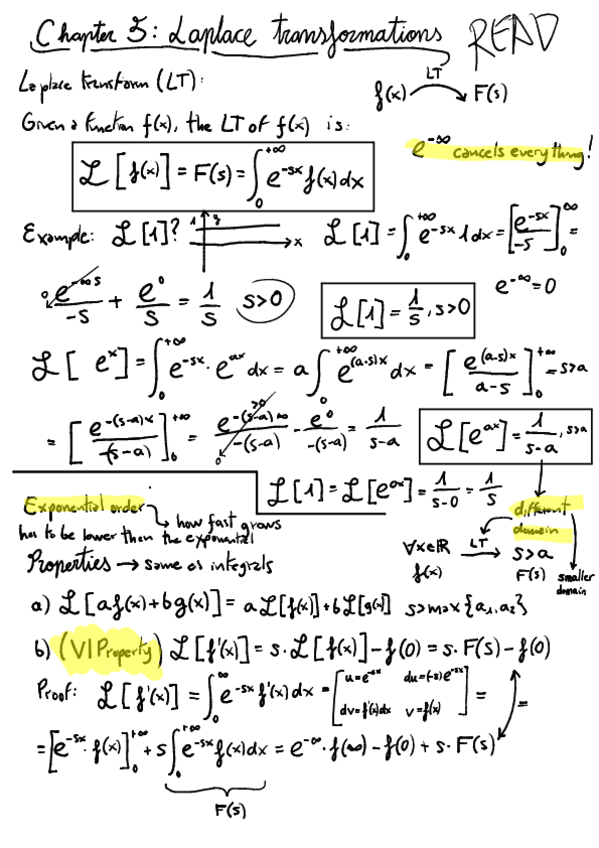
Chapter-5-Laplace-Transformationsrotated.pdf
ED-2-1-Analitic-Resolution-Of-ODESrotated.pdf
ED-2-2-Partido-Differential-Equationsrotated.pdf
ED-2-Chapter-3-and-4-Second-Order-PDEs-With-And-Without-Source-Function.pdf

apuntes

-

Resúmenes completos de teoría

He publicado nuevos apuntes de 2º Matemáticas II: Resúmenes completos de teoría

tema-45--ejemplos.pdf
Tema-123--ejemplos.pdf

practicas

-

Prácticas Matemáticas II Mathematica

He publicado nuevos practicas de 2º Matemáticas II: Prácticas Matemáticas II Mathematica

821MIRETMARCOP6.nb
821MIRETMARCOP5.nb
821MIRETMARCOP4.nb
821MIRETMARCOP9.nb
821MIRETMARCOP3.nb
821MIRETMARCOP1.nb

trabajos

-

Tarea - Assignment Resuelto

He publicado nuevos trabajos de 2º Matemáticas II: Tarea - Assignment Resuelto

Actividad2_1819_Resuelto.pdf

examenes

-

Recopilación Examen Mathematica

He publicado nuevos examenes de 2º Matemáticas II: Recopilación Examen Mathematica

Ex_Mathematica_14.pdf
Ex_Mathematica_18-19.pdf
Ex_Mathematica_18.pdf

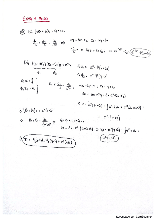
He publicado nuevos examenes de 2º Matemáticas II: EDO3 2018.pdf

1 página

He publicado nuevos examenes de 2º Matemáticas II: EDO3 2016 (resuelto).pdf

10 páginas

He publicado nuevos practicas de 2º Matemáticas II: instalacion_de_mathematica_for_students_11.pdf

8 páginas

He publicado nuevos examenes de 2º Matemáticas II: Mathematica 2015-2016.zip

zip

He publicado nuevos examenes de 2º Matemáticas II: Mathematica 2013-2014.zip

zip

He publicado nuevos examenes de 2º Matemáticas II: Mathematica (I).zip

Miniatura no disponible
zip