chevron_left
chevron_right
Todo
Apuntes
Ejercicios
Exámenes
chevron_left
chevron_right

He publicado nuevos examenes de 1º Matemáticas II: parcial-1-25-26.pdf

7 páginas

He publicado nuevos examenes de 1º Matemáticas II: control-1.pdf

1 página

He publicado nuevos apuntes de 1º Matemáticas II: Guia-parcial-1-mates-II-de-todos-los-anos.pdf

2 páginas

He publicado nuevos apuntes de 1º Matemáticas II: Series-de-pascua-corregidas.pdf

6 páginas

Demostraciones de exámenes y clase

3 páginas

apuntes

-

Esquemas Primer Parcial

He publicado nuevos apuntes de 1º Matemáticas II: Esquemas Primer Parcial

Esquema-Tema-1-funciones-y-limites.pdf
Guia-practica-tema-1.pdf
Esquema-Tema-2-Sucesiones-y-series.pdf
Esquema-Tema-3-Derivabilidad.pdf

He publicado nuevos apuntes de 1º Matemáticas II: GUIA-PRIMER-CONTROL.pdf

4 páginas
Anónimo

@Anónimo

Recopilación gráficas preguntadas en el control 1

2 páginas

He publicado nuevos apuntes de 1º Matemáticas II: Chuletario-control-1.pdf

2 páginas

Gráficas importantes y pequeños apuntes de simetría

2 páginas

apuntes

13 páginas

apuntes calculo

15 páginas

He publicado nuevos apuntes de 1º Matemáticas II: ESQUEMA-SEGUNDO-CONTROL-MATE-II.pdf

2 páginas

He publicado nuevos apuntes de 1º Matemáticas II: sesiones-segundo-parcial.pdf

23 páginas

He publicado nuevos apuntes de 1º Matemáticas II: sesiones-primer-parcial.pdf

40 páginas

He publicado nuevos apuntes de 1º Matemáticas II: demostraciones-primer-parcial.pdf

4 páginas

He publicado nuevos apuntes de 1º Matemáticas II: Control2-Mates.pdf

1 página

He publicado nuevos apuntes de 1º Matemáticas II: SesionRepasoSeries.pdf

5 páginas

apuntes

-

Lo hecho en clase hasta S6

He publicado nuevos apuntes de 1º Matemáticas II: Lo hecho en clase hasta S6

Pag-1-24.pdf
Pag-24-35.pdf

He publicado nuevos apuntes de 1º Matemáticas II: Apuntes-y-sesiones-hasta-sesion-2.pdf

19 páginas

examenes

-

EXAMENES 2ºparcial MATE II

He publicado nuevos examenes de 1º Matemáticas II: EXAMENES 2ºparcial MATE II

EXAMEN-2017.pdf
EXAMEN-2019.pdf
EXAMEN-2021.pdf
EXAMEN-2018.pdf
EXAMEN-2019.pdf
EXAMEN-2021.pdf

He publicado nuevos apuntes de 1º Matemáticas II: demostraciones segundo parcial.pdf

2 páginas

He publicado nuevos apuntes de 1º Matemáticas II: preguntas de teoría primer parcial.pdf

2 páginas
Anónimo

@Anónimo

He publicado nuevos apuntes de 1º Matemáticas II: Graficas-e-y-log-Controles-1o-Parcial.pdf

2 páginas
Anónimo

@Anónimo

He publicado nuevos apuntes de 1º Matemáticas II: Controles-Resueltos-1o-Parcial.pdf

46 páginas

He publicado nuevos apuntes de 1º Matemáticas II: Sesiones-2nd-Parcial.pdf

12 páginas

examenes

-

Controles 2 Resueltos

He publicado nuevos examenes de 1º Matemáticas II: Controles 2 Resueltos

Control2Resuelto2022.pdf
Control2Resuelto2019.pdf
Control2Resuelto2021.pdf
Control2Resuelto2018.pdf
Control2Resuelto2017.pdf

He publicado nuevos examenes de 1º Matemáticas II: Control2Prueba2023.pdf

6 páginas

examenes

-

CONTROLES 2ºparcial MAT II

He publicado nuevos examenes de 1º Matemáticas II: CONTROLES 2ºparcial MAT II

Control-2018.pdf
Control-2019.pdf
Control-2021.pdf
Control-2021.pdf
Control-2022.pdf
Control-de-PRUEBA.pdf

He publicado nuevos apuntes de 1º Matemáticas II: LIBRO-ApuntesEjercicios.pdf

59 páginas

He publicado nuevos examenes de 1º Matemáticas II: EJERCICIOS-EXAMENES-RESUELTOS-EN-CLASE.pdf

4 páginas

examenes

-

EXAMENES MATEMÁTICA II

He publicado nuevos examenes de 1º Matemáticas II: EXAMENES MATEMÁTICA II

1oPARCIAL-MATE-2016.pdf
1oPARCIAL-MATE-2017.pdf
1oPARCIAL-MATE-2018.pdf
1oPARCIAL-MATE-2019.pdf

examenes

-

Controles MATEMÁTICAS II

He publicado nuevos examenes de 1º Matemáticas II: Controles MATEMÁTICAS II

Control-2016.pdf
Control-2017.pdf
Control-2018.pdf
Control-2019.pdf
Control-2021.pdf

apuntes

-

Apuntes Matematica II

He publicado nuevos apuntes de 1º Matemáticas II: Apuntes Matematica II

Tema1MatematicasII.pdf
Tema2MatematicasII.pdf

He publicado nuevos apuntes de 1º Matemáticas II: Sesiones-1-8.pdf

5 páginas
Anónimo

@Anónimo

He publicado nuevos apuntes de 1º Matemáticas II: ejercicios-resueltos-semanas-2o-parcialorganized.pdf

38 páginas
Anónimo

@Anónimo

He publicado nuevos apuntes de 1º Matemáticas II: ilovepdfmerged-9organized.pdf

62 páginas
Anónimo

@Anónimo

He publicado nuevos apuntes de 1º Matemáticas II: apuntes-por-temasorganized.pdf

54 páginas
Anónimo

@Anónimo

He publicado nuevos apuntes de 1º Matemáticas II: ilovepdfmerged-8.pdf

2 páginas
Anónimo

@Anónimo

He publicado nuevos apuntes de 1º Matemáticas II: teoremas-segundo-parcial.pdf

4 páginas

He publicado nuevos apuntes de 1º Matemáticas II: resumen-Mates.pdf

2 páginas

He publicado nuevos apuntes de 1º Matemáticas II: demostraciones-1er-Parcial-MatII.pdf

4 páginas

apuntes

-

Controles resueltos

He publicado nuevos apuntes de 1º Matemáticas II: Controles resueltos

ControlResuelto.pdf
controlesR.pdf
controlesResueltos-1.pdf
controlesResueltos-1.pdf
controlesResueltos.pdf

He publicado nuevos apuntes de 1º Matemáticas II: Apuntes-2-parcial.pdf

7 páginas

apuntes

-

Apuntes primer parcial

He publicado nuevos apuntes de 1º Matemáticas II: Apuntes primer parcial

Limites-.pdf
Series.pdf
Criterios.pdf
Anónimo

@Anónimo

examenes

-

Examenes - Parcial 1: 2015-2020

He publicado nuevos examenes de 1º Matemáticas II: Examenes - Parcial 1: 2015-2020

parcial1-Res-20162017.pdf
parcial1-R-20172018.pdf
parcial-1-a-resuelto.pdf
parcial120182019R.pdf
Anónimo

@Anónimo

ejercicios

-

Parcial II

He publicado nuevos ejercicios de 1º Matemáticas II: Parcial II

Resumen-SUCESIONES-Y-SERIES.pdf
Sesiones-resueltas-parcial-2.pdf
Calculo-de-areas.pdf
Repaso-derivadas-y-limites-simples.pdf
Tema-4.pdf

He publicado nuevos ejercicios de 1º Matemáticas II: MATESII.pdf

9 páginas

apuntes

-

APUNTES Y RESUMENES

He publicado nuevos apuntes de 1º Matemáticas II: APUNTES Y RESUMENES

RECORDAR-PARA-EXAMEN.pdf
Demostraciones-importantes-.pdf
Ejercicios-importantes.pdf

ejercicios

-

SESIONES

He publicado nuevos ejercicios de 1º Matemáticas II: SESIONES

Sesion-8.pdf
SESION-4.pdf
SESION-3.pdf
SESION-1.pdf
Sesion-3-y-4-EXTRA.pdf
Sesion-7.pdf

ejercicios

-

Ejercicios por semana con solución

He publicado nuevos ejercicios de 1º Matemáticas II: Ejercicios por semana con solución

solucionesSemana2.pdf
solucionesSemana6.pdf
solucionesSemana5.pdf
solucionesSemana3.pdf
solucionesSemana1.pdf
solucionesSemana4.pdf
Anónimo

@Anónimo

examenes

-

Exámenes y controles resueltos Parcial 2

He publicado nuevos examenes de 1º Matemáticas II: Exámenes y controles resueltos Parcial 2

Parcial-2-2018.pdf
Parcial-2-2017.pdf
Control-2-2016.pdf
Control-2-2018.pdf
Control-2-2017.pdf
Parcial-2-2019.pdf
Anónimo

@Anónimo

examenes

-

Exámenes y controles resueltos Parcial 1

He publicado nuevos examenes de 1º Matemáticas II: Exámenes y controles resueltos Parcial 1

Parcial-1-2017.pdf
Control-1-2019.pdf
Parcial-1-2019.pdf
Parcial-1-2018.pdf
Control-1-2018.pdf
Control-1-2017.pdf

apuntes

-

Matematicas II

He publicado nuevos apuntes de 1º Matemáticas II: Matematicas II

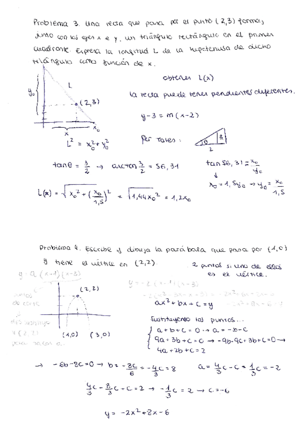
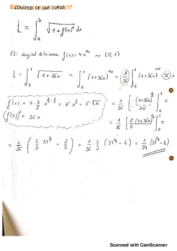
5.longitud de una curva.pdf
1. áreas encerradas.pdf
2. Paraboloide por secciones.pdf
Taylor y McLaurin.pdf
Desarrollo en series importantes McLauri.pdf
ejercicios varios.pdf
¡Estás al día!

¡Estás al día!

Has visto todos los archivos