Todo
Apuntes
Preguntas
Ejercicios
Exámenes
Otros
Prácticas
publication
Trabajos
chevron_left
chevron_right

He publicado nuevos apuntes de Matemáticas II: Tabla-integrales.pdf

1 página

apuntes

-

Apuntes Completos Matemáticas II

Apuntes completos de todos los temas de Matemáticas II: Análisis, Integrales, Álgebra, Geometría, Probabilidad y Estadística. Estudiando únicamente de aquí tuve un 10 en el examen de la PAU de 2025 para esta asignatura. Incluye toda la teoría, fórmulas ne

Geometria.pdf
Geometria.pdf
Geometria.pdf
Analisis-de-Funciones.pdf
Analisis-de-Funciones.pdf
Analisis-de-Funciones.pdf

Apuntes de integrales , sirven para la PAU. Saque un 13,4 en la EvAU y matrícula de honor en bachillerato

3 páginas

Apuntes de tema de derivadas , sirven para la PAU. Saque un 13,4 en la EvAU y matrícula de honor en bachillerato

2 páginas

Apuntes de funciones límites y continuidad , sirven para la PAU. Saque un 13,4 en la EvAU y matrícula de honor en bachillerato

3 páginas

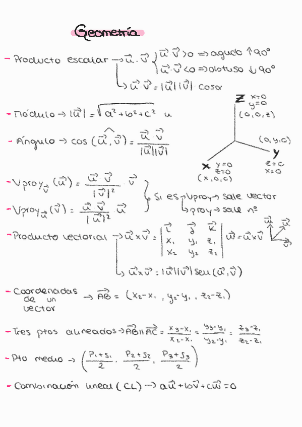
Apuntes resumen del bloque de gemoetría analítica

8 páginas

He publicado nuevos apuntes de Matemáticas II: Espacio-afin.-Resumen.pdf

7 páginas

He publicado nuevos apuntes de Matemáticas II: matrices.pdf

2 páginas

He publicado nuevos apuntes de Matemáticas II: Matrices-Y-Determinantes.pdf

2 páginas

He publicado nuevos apuntes de Matemáticas II: Matematicas.pdf

1 página

He publicado nuevos examenes de Matemáticas II: Examenes-selectividad.pdf

14 páginas

He publicado nuevos ejercicios de Matemáticas II: Ejercicios-Sistemas.pdf

8 páginas

He publicado nuevos ejercicios de Matemáticas II: Ejercicios-Semana-Blanca.pdf

2 páginas

He publicado nuevos ejercicios de Matemáticas II: ejercicios-optimizacion.pdf

1 página

He publicado nuevos ejercicios de Matemáticas II: Ejercicios-geometria-analitica.pdf

7 páginas

Resumen mates límites derivadas optimización tangente parametros

1 página

Contenidos: Matrices y sistemas.

Miniatura no disponible
Matrices, Determinantes y Sistemas de ecuaciones

examenes

-

Exámenes mates II 2 bach

He publicado nuevos examenes de Matemáticas II: Exámenes mates II 2 bach

Examen-mates-derivadas.pdf
Examen-mates-derivadas.pdf
Examen-mates-derivadas.pdf
Examen-mates-tema-1.pdf
Examen-mates-tema-1.pdf
Examen-mates-tema-1.pdf

Propiedades de las matrices para Selectividad

1 página

He publicado nuevos apuntes de Matemáticas II: Formulario-2.pdf

1 página

He publicado nuevos apuntes de Matemáticas II: Formulario-1.pdf

1 página

He publicado nuevos apuntes de Matemáticas II: Areas-y-perimetros.pdf

2 páginas

He publicado nuevos apuntes de Matemáticas II: Resumen-matrices-y-determinantes.pdf

4 páginas

He publicado nuevos apuntes de Matemáticas II: Resumen-Sistema-de-Ecuaciones.pdf

2 páginas

He publicado nuevos apuntes de Matemáticas II: Sistema-de-ecuaciones.pdf

11 páginas

He publicado nuevos apuntes de Matemáticas II: RESUMEN-Bloque-2-Sistemas-de-Ecuaciones.pdf

3 páginas

He publicado nuevos apuntes de Matemáticas II: Probabilidad.pdf

4 páginas

He publicado nuevos apuntes de Matemáticas II: Parte-1.-Probabilidad.pdf

25 páginas

He publicado nuevos apuntes de Matemáticas II: Parte-2.-Distribucion-Binomial-y-Distribucion-Normal.pdf

34 páginas

He publicado nuevos apuntes de Matemáticas II: Parte-2.-Integrales-DEFINIDAS.pdf

34 páginas

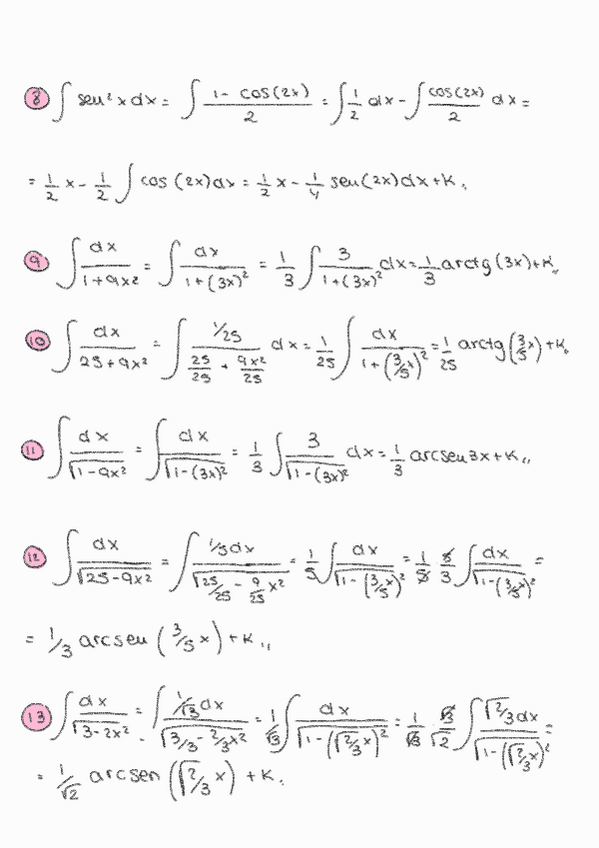
He publicado nuevos apuntes de Matemáticas II: Parte-1.-Integrales-INDEFINIDAS.pdf

52 páginas

He publicado nuevos apuntes de Matemáticas II: Parte-5.-Aplicacion-de-derivadas-II.pdf

38 páginas

He publicado nuevos apuntes de Matemáticas II: Parte-3.-Derivadas.pdf

23 páginas

He publicado nuevos apuntes de Matemáticas II: Parte-4.-Aplicacion-de-derivadas-I.pdf

26 páginas

He publicado nuevos apuntes de Matemáticas II: Parte-2.-Limites-continuidad-y-asintotas.pdf

39 páginas

He publicado nuevos apuntes de Matemáticas II: Parte-1.-Introduccion-al-analisis-de-funciones.pdf

18 páginas

He publicado nuevos apuntes de Matemáticas II: Parte-3.-Espacio-metrico.pdf

42 páginas

He publicado nuevos apuntes de Matemáticas II: Parte-2.-Espacio-afin.pdf

143 páginas

He publicado nuevos apuntes de Matemáticas II: Parte-1.-Vectores-en-el-espacio.pdf

21 páginas

He publicado nuevos apuntes de Matemáticas II: Propiedades-determinantes.pdf

2 páginas

He publicado nuevos apuntes de Matemáticas II: Bloque-1-MATRICES.pdf

3 páginas

Apuntes 2 Bach de cara a la PAU

52 páginas

He publicado nuevos examenes de Matemáticas II: Resuelto-Reserva-1-2425.pdf

6 páginas

Formulario completo para selectividad

11 páginas

Temario de primero de bachillerato bien explicado

5 páginas

He publicado nuevos apuntes de Matemáticas II: Integraleswuohla.pdf

4 páginas

He publicado nuevos apuntes de Matemáticas II: Probabilidad-wuohla.pdf

4 páginas

He publicado nuevos apuntes de Matemáticas II: Geometriawuohla.pdf

5 páginas

He publicado nuevos apuntes de Matemáticas II: Integralestrigonometricaswuohla.pdf

4 páginas

He publicado nuevos apuntes de Matemáticas II: Optimizacionwuohla.pdf

3 páginas

He publicado nuevos apuntes de Matemáticas II: Representarwuohla.pdf

5 páginas

Apuntes matemáticas II Análisis y Probabilidad con ejercicios de selectividad.

146 páginas

Apuntes matemáticas II Matrices y Geometría con ejercicios de selectividad.

102 páginas

apuntes

-

Apuntes matrices y sistemas de ecuaciones

He publicado nuevos apuntes de Matemáticas II: Apuntes matrices y sistemas de ecuaciones

Bloque-1-matematicas.pdf
Bloque-1-matematicas.pdf
Bloque-1-matematicas.pdf

apuntes

-

Apuntes probabilidad y estadística

He publicado nuevos apuntes de Matemáticas II: Apuntes probabilidad y estadística

Tema-12-matematicas-2.pdf
Tema-12-matematicas-2.pdf
Tema-12-matematicas-2.pdf
Temas-13-Distribuciones-de-funciones.pdf
Temas-13-Distribuciones-de-funciones.pdf
Temas-13-Distribuciones-de-funciones.pdf

apuntes

-

Apuntes funciones, derivadas e integrales

He publicado nuevos apuntes de Matemáticas II: Apuntes funciones, derivadas e integrales

Tema-6-limites-de-funciones-continuidad-ramas-infinitas.pdf
Tema-6-limites-de-funciones-continuidad-ramas-infinitas.pdf
Tema-6-limites-de-funciones-continuidad-ramas-infinitas.pdf
Temas-7-y-8-derivadas.pdf
Temas-7-y-8-derivadas.pdf
Temas-7-y-8-derivadas.pdf

apuntes

-

Apuntes vectores

He publicado nuevos apuntes de Matemáticas II: Apuntes vectores

Formulario-mates-temas-3-y-4-1.pdf
Formulario-mates-temas-3-y-4-1.pdf
Formulario-mates-temas-3-y-4-1.pdf
Tema-5-problemas-metricos-1.pdf
Tema-5-problemas-metricos-1.pdf
Tema-5-problemas-metricos-1.pdf

Flashcards de aplicaciones a la derivadas. Monotonía, puntos de inflexión, curvatura...

3 páginas

apuntes

-

MATEMÁTICAS: APUNTES

Aquí os dejo mis apuntes de Matemáticas que estuve realizando durante el curso 2024-2025 con los cuales obtuve un 9 de media en 2 bachillerato y un 9,9 en selectividad. Dichos apuntes contienen la información necesaria para estudiar y repasar para los exá

MATEMATICAS-APUNTES-ANALISIS-INTEGRALES-ALGEBRA-GEOMETRIA-PROBABILIDAD-Y-ESTADISTICA.pdf
MATEMATICAS-APUNTES-ANALISIS-INTEGRALES-ALGEBRA-GEOMETRIA-PROBABILIDAD-Y-ESTADISTICA.pdf
MATEMATICAS-APUNTES-ANALISIS-INTEGRALES-ALGEBRA-GEOMETRIA-PROBABILIDAD-Y-ESTADISTICA.pdf

He publicado nuevos apuntes de Matemáticas II: TRIGONOMETRÍA.pdf

6 páginas