Todo
Apuntes
Ejercicios
Exámenes
Otros
chevron_left
chevron_right
Anónimo

@Anónimo

Cálculo de primitivas e integrales definidas

4 páginas
Anónimo

@Anónimo

Los polinomios de Taylor

4 páginas
Anónimo

@Anónimo

La derivada

6 páginas

apuntes

-

LECCIONES RESUMIDAS 2024

He publicado nuevos apuntes de 1º Matemáticas II: LECCIONES RESUMIDAS 2024

L1-GRAFICAS.pdf
L2-POLINOMIOS-DE-TAYLOR.pdf
L3-ECUACIONES-DIFERENCIALES-1o-ORDEN.pdf
L4-APLICACIONES-DE-INTEGRAL.pdf
L5-CURVAS.pdf

examenes

-

RECOPILACIONES EXAMENES RESUELTOS

He publicado nuevos examenes de 1º Matemáticas II: RECOPILACIONES EXAMENES RESUELTOS

OTROS-EXAMENES.pdf
RECOPILACION-2017-2018.pdf
RECOPILACION-2018-2019.pdf
RECOPILACION-2019-2020.pdf
Anónimo

@Anónimo

He publicado nuevos apuntes de 1º Matemáticas II: ApuntesMatesII.pdf

19 páginas

He publicado nuevos apuntes de 1º Matemáticas II: resumen-segundo-parcial.pdf

2 páginas

He publicado nuevos apuntes de 1º Matemáticas II: resumen-primer-parcial.pdf

4 páginas

examenes

-

Exámenes Andrés Jiménez Losada

He publicado nuevos examenes de 1º Matemáticas II: Exámenes Andrés Jiménez Losada

1a-Prueba-Curso-20-21-Covid.pdf
Primer-Parcial-16-17.pdf
Primer-Parcial-17-18.pdf
Primer-Parcial-18-19.pdf
Primer-Parcial-19-20.pdf
Primer-Parcial-21-22.pdf

He publicado nuevos apuntes de 1º Matemáticas II: Tema-12.pdf

9 páginas

He publicado nuevos apuntes de 1º Matemáticas II: Tema-10.pdf

5 páginas

He publicado nuevos apuntes de 1º Matemáticas II: Tema-13.pdf

6 páginas

He publicado nuevos apuntes de 1º Matemáticas II: Tema-11.pdf

10 páginas

He publicado nuevos apuntes de 1º Matemáticas II: Tema-14.pdf

7 páginas

He publicado nuevos apuntes de 1º Matemáticas II: Tema-8.pdf

16 páginas

He publicado nuevos apuntes de 1º Matemáticas II: RESUMENES-TEMA-1-A-6.pdf

17 páginas

He publicado nuevos apuntes de 1º Matemáticas II: Tema-2.pdf

10 páginas

He publicado nuevos apuntes de 1º Matemáticas II: Tema-4.pdf

9 páginas

He publicado nuevos apuntes de 1º Matemáticas II: Tema-5-y-6.pdf

17 páginas

He publicado nuevos apuntes de 1º Matemáticas II: Tema-1.pdf

3 páginas

He publicado nuevos apuntes de 1º Matemáticas II: Tema-3.pdf

10 páginas

apuntes

-

Apuntes

He publicado nuevos apuntes de 1º Matemáticas II: Apuntes

Demostraciones-2-parcial.pdf
Resumen-2-parcial.pdf
Tema-2.pdf
Tema-3.pdf
Tema-4.pdf
Tema-5-6.pdf

He publicado nuevos apuntes de 1º Matemáticas II: Tema6_RepresentcionGraficaDeCurvas.pdf

5 páginas

He publicado nuevos apuntes de 1º Matemáticas II: Tema5_GeometriaDiferencialDeCurvasEnElPlano.pdf

4 páginas

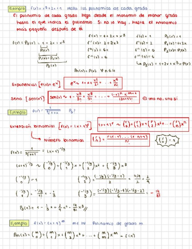
He publicado nuevos apuntes de 1º Matemáticas II: Tema3_PolinomiosDeTaylor.pdf

17 páginas

He publicado nuevos apuntes de 1º Matemáticas II: Tema4_RepresentacionDeCurvas.pdf

6 páginas

He publicado nuevos apuntes de 1º Matemáticas II: Tema1_Sucesiones.pdf

2 páginas

He publicado nuevos apuntes de 1º Matemáticas II: Tema2_LaRectaTangente.pdf

9 páginas

He publicado nuevos apuntes de 1º Matemáticas II: Tema0_Funciones.pdf

7 páginas

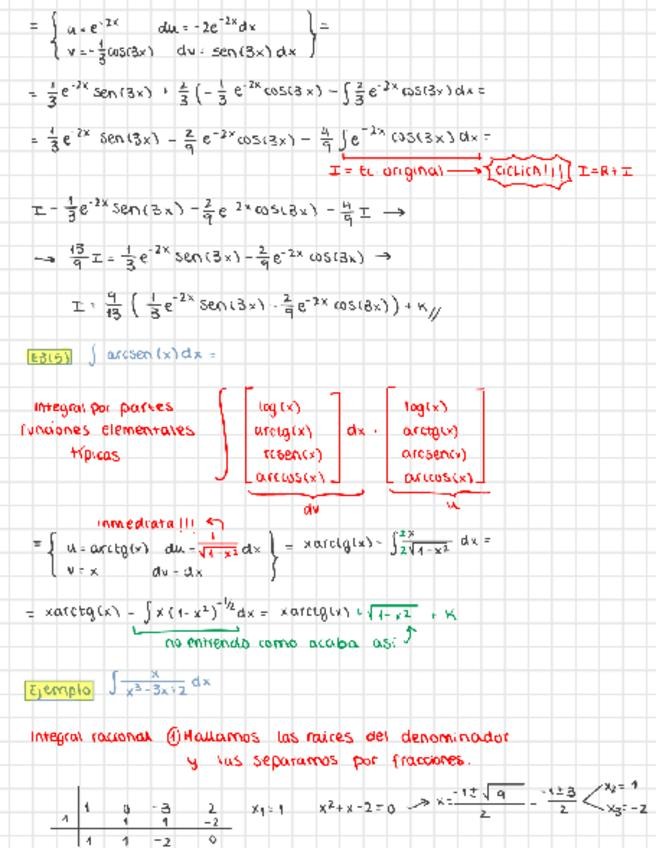
He publicado nuevos ejercicios de 1º Matemáticas II: integrales-resueltas.pdf

10 páginas

He publicado nuevos apuntes de 1º Matemáticas II: formulas.pdf

5 páginas

He publicado nuevos apuntes de 1º Matemáticas II: FORMULARIO-T6-Metodos-numericos.pdf

3 páginas

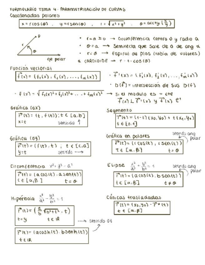
He publicado nuevos apuntes de 1º Matemáticas II: FORMULARIO-T5-Curvas.pdf

2 páginas

He publicado nuevos apuntes de 1º Matemáticas II: FORMULARIO-T4-Integrales.pdf

2 páginas

He publicado nuevos apuntes de 1º Matemáticas II

https://youtu.be/89Ng5on6aGk?si=Ua5ehtMcVqfuzgqB

He publicado nuevos apuntes de 1º Matemáticas II: Apuntes-asignatura-completa.pdf

52 páginas
Anónimo

@Anónimo

examenes

-

RECOPILACION EXAMENES RESUELTOS

He publicado nuevos examenes de 1º Matemáticas II: RECOPILACION EXAMENES RESUELTOS

OTROS-EXAMENES.pdf
RECOPILACION-2017-2018.pdf
RECOPILACION-2018-2019.pdf
RECOPILACION-2019-2020.pdf
Anónimo

@Anónimo

apuntes

-

LECCIONES RESUMIDAS (ESENCIAL)

He publicado nuevos apuntes de 1º Matemáticas II: LECCIONES RESUMIDAS (ESENCIAL)

LECCION-1-RESUMIDA.pdf
LECCION-2-RESUMIDA.pdf
LECCION-3-RESUMIDA.pdf
LECCION-4-RESUMIDA.pdf
LECCION-5-RESUMIDA.pdf

He publicado nuevos apuntes de 1º Matemáticas II: Parametrizaciones.pdf

1 página

He publicado nuevos apuntes de 1º Matemáticas II: Formulas-T.8-primitivas.pdf

1 página

He publicado nuevos apuntes de 1º Matemáticas II: apuntes-generales.pdf

1 página

He publicado nuevos apuntes de 1º Matemáticas II: Formulas-T.11-y-12-areas-y-volumenes.pdf

1 página

apuntes

-

Demostraciones 2

He publicado nuevos apuntes de 1º Matemáticas II: Demostraciones 2

Demostraciones-bloque-1.pdf
Demostraciones-bloque-2.pdf

apuntes

-

RESUMEN ASIGNATURA COMPLETO

He publicado nuevos apuntes de 1º Matemáticas II: RESUMEN ASIGNATURA COMPLETO

TEMA-6-RESUMEN.pdf
TEMA-1-RESUMEN.pdf
TEMA-5-RESUMEN.pdf
TEMA-2-RESUMEN.pdf
TEMA-3-RESUMEN.pdf
TEMA-4-RESUMEN.pdf

He publicado nuevos apuntes de 1º Matemáticas II: Tema-2-Apuntes.pdf

11 páginas

He publicado nuevos apuntes de 1º Matemáticas II: Tema-1-Apuntes.pdf

4 páginas

He publicado nuevos apuntes de 1º Matemáticas II: Tema-0-Apuntes.pdf

8 páginas

apuntes

-

RESUMEN ASIGNATURA COMPLETA

He publicado nuevos apuntes de 1º Matemáticas II: RESUMEN ASIGNATURA COMPLETA

TEMA-5-RESUMEN.pdf
TEMA-3-RESUMEN.pdf
TEMA-1-RESUMEN.pdf
TEMA-6-RESUMEN.pdf
TEMA-4-RESUMEN.pdf
TEMA-2-RESUMEN.pdf

He publicado nuevos apuntes de 1º Matemáticas II: TEMA-1-RESUMEN.pdf

2 páginas

He publicado nuevos apuntes de 1º Matemáticas II: TEMA-2-RESUMEN.pdf

2 páginas

He publicado nuevos apuntes de 1º Matemáticas II: TEMA-3-RESUMEN.pdf

2 páginas

He publicado nuevos apuntes de 1º Matemáticas II: TEMA-4-RESUMEN.pdf

2 páginas

He publicado nuevos apuntes de 1º Matemáticas II: TEMA-5-RESUMEN.pdf

2 páginas

He publicado nuevos apuntes de 1º Matemáticas II: TEMA-6-RESUMEN.pdf

2 páginas

He publicado nuevos apuntes de 1º Matemáticas II: apuntes-matematicas-2-bloque-1.pdf

64 páginas

He publicado nuevos apuntes de 1º Matemáticas II: Mates2.pdf

2 páginas

He publicado nuevos apuntes de 1º Matemáticas II: CamScanner-09-03-2021-19.pdf

54 páginas

He publicado nuevos apuntes de 1º Matemáticas II: CamScanner-09-03-2021-19.pdf

2 páginas

He publicado nuevos apuntes de 1º Matemáticas II: CamScanner-09-03-2021-19.pdf

1 página

He publicado nuevos apuntes de 1º Matemáticas II: CamScanner-09-03-2021-19.pdf

25 páginas