chevron_left
chevron_right
Todo
Apuntes
Ejercicios
Exámenes
Otros
Prácticas
Test
chevron_left
chevron_right
Anónimo

@Anónimo

Apuntes copiados de la pizarra del profesor

6 páginas
Anónimo

@Anónimo

He publicado nuevos apuntes de 2º Matemáticas II: Apuntes-mates-II-segundo-parcial.pdf

21 páginas

He publicado nuevos examenes de 2º Matemáticas II: Primer-Parcial-24-25-RESUELTO-MATES-2.pdf

14 páginas

He publicado nuevos ejercicios de 2º Matemáticas II: Ejercicios-de-examen-RESUELTOS-TEMA-7-Regresion-Lineal-MATES-2.pdf

15 páginas

ejercicios

-

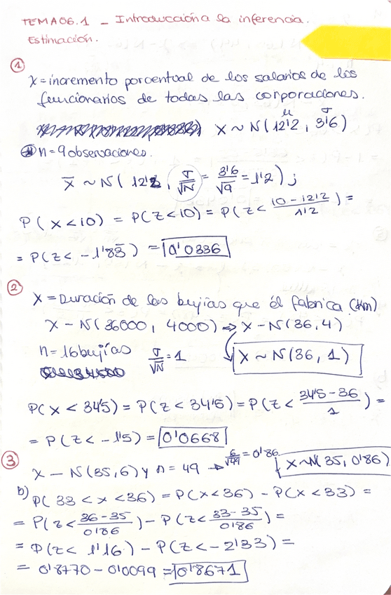
Ejercicios de examen RESUELTOS TEMA 6 (Introd. a la Inferencia) MATES 2

He publicado nuevos ejercicios de 2º Matemáticas II: Ejercicios de examen RESUELTOS TEMA 6 (Introd. a la Inferencia) MATES 2

06.3-EJERCICIOS-Introduccion-a-la-Inferencia-CH.pdf
06.2-EJERCICIOS-Introduccion-a-la-Inferencia-IC.pdf
06.1-EJERCICIOS-Introduccion-a-la-Inferencia-Estimacion.pdf

ejercicios

-

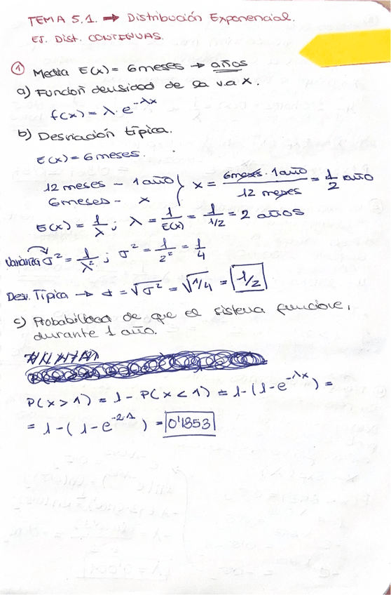
Ejercicios de examen RESUELTOS TEMA 5 (Distr. contínuas) MATES 2

He publicado nuevos ejercicios de 2º Matemáticas II: Ejercicios de examen RESUELTOS TEMA 5 (Distr. contínuas) MATES 2

05.1-EJERCICIOS-Distribuciones-Continuas-Normal.pdf
05.1-EJERCICIOS-Distribuciones-Continuas-Exponencial-1.pdf

He publicado nuevos examenes de 2º Matemáticas II: Primer-Parcial-25-26-RESUELTO-MATES-2.pdf

15 páginas

practicas

-

Prácticas Statgraphics resueltas Matemáticas 2

He publicado nuevos practicas de 2º Matemáticas II: Prácticas Statgraphics resueltas Matemáticas 2

PRACTICA-6Distribuciones-DiscretasIIHAROSAROBERT.docx
PRACTICA-Distribuciones-Discretas-I-BINOMIALHAROSAROBERT.docx
Practica-Modelos-de-Regresion-LinealnewnewHarosaRobert.docx
T2-PRACTICA-2-Estadistica-Descriptiva-BidimensionalHAROSAROBERT.docx
EJERCICIOS-Muestreo-y-Estimacion-de-parametrosHAROSAROBERT.docx
Practica-Inferencia-Estadistica-CHHarosaRobert.docx

Examen resuelto Parcial II Matemáticas II

10 páginas

He publicado nuevos practicas de 2º Matemáticas II: P10INFERENCIA-ESTADISTICA.pdf

13 páginas

He publicado nuevos practicas de 2º Matemáticas II: P09.-DISTRIBUCIONES-CONTINUAS.pdf

13 páginas

He publicado nuevos practicas de 2º Matemáticas II: P11CH-Inferencia-Estadistica-CH.pdf

6 páginas

He publicado nuevos practicas de 2º Matemáticas II: P12-Intervalos-confianza-II.pdf

7 páginas

practicas

-

Prácticas mate II statgraphics

Práctica 1 matemáticas II statgraphics

PRACTICA1.pdf
PRACTICA2.pdf
PRACTICA3.pdf
PRACTICA5.pdf
PRACTICA6.pdf
Practica-0.pdf

ejercicios

-

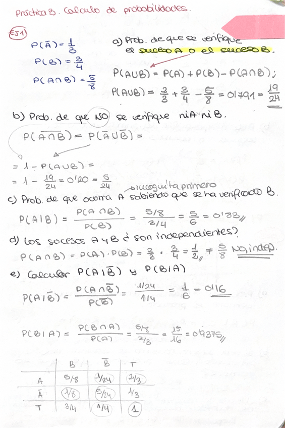
Ejercicios resueltos Parcial II

Ejercicios resueltos de la asignatura de Mate II del segundo parcial II

5.1.EjeResuletosDistribucionContinuaExponencial.pdf
5.2.-EjeResueltosDistribucionesNormales2.pdf
Distribucion-Continua-Combinacion-variables-normales.pdf
DistribucionesContinuasDiscretasAproximacionNormal.pdf
InferenciaEstadisticaEstimacion.pdf.pdf
6.2.InferenciaEstadisticaIntervalosConfianza.pdf

He publicado nuevos apuntes de 2º Matemáticas II: Matematicas-II-t9.pdf

4 páginas

He publicado nuevos apuntes de 2º Matemáticas II: Matematicas-II-t6.pdf

3 páginas

He publicado nuevos apuntes de 2º Matemáticas II: Matematicas-II-t5.pdf

4 páginas

He publicado nuevos apuntes de 2º Matemáticas II: Matematicas-II-t8.pdf

2 páginas

He publicado nuevos apuntes de 2º Matemáticas II: Matematicas-II-t7.pdf

2 páginas

He publicado nuevos ejercicios de 2º Matemáticas II: Problemas-mates-II-2o-parcial.pdf

39 páginas

He publicado nuevos apuntes de 2º Matemáticas II: Statgraphics-segundo-parcial.pdf

12 páginas

He publicado nuevos examenes de 2º Matemáticas II: Ejercicios-examenes-mates-II-2o-parcial.pdf

9 páginas

He publicado nuevos apuntes de 2º Matemáticas II: Mates-II-2Parcial.pdf

26 páginas

He publicado nuevos apuntes de 2º Matemáticas II: EJERCICIOS-Muestreo-y-Estimacion-de-parametros.docx

word

He publicado nuevos apuntes de 2º Matemáticas II: PRACTICA-4-Distribuciones-Continuas.docx

word

He publicado nuevos apuntes de 2º Matemáticas II: Practica-6-Inferencia-Estadistica-II-Inferencia-sobre-1-poblacion.docx

word

He publicado nuevos apuntes de 2º Matemáticas II: PRACTICA-5-Distribuciones-Discretas.docx

word

He publicado nuevos apuntes de 2º Matemáticas II: PRACTICA-Distribuciones-Discretas-I-BINOMIAL.docx

word

He publicado nuevos apuntes de 2º Matemáticas II: APUNTES-MATES-2PARCIAL.pdf

1 página
Anónimo

@Anónimo

TEST 7 INFERENCIA: INTERVALO DE CONFIANZA

3 páginas

Apuntes y ejercicios del primer parcial (tema 1 al 4)

21 páginas

Examen resueltoo de Matemátcias II primer parcial

11 páginas

He publicado nuevos apuntes de 2º Matemáticas II: T.3.-Calculo-de-probabilidades.pdf

2 páginas

He publicado nuevos apuntes de 2º Matemáticas II: T4.-Variables-aleatorias.pdf

5 páginas

He publicado nuevos ejercicios de 2º Matemáticas II: EJERCICIOS-PARCIAL-1-.pdf

18 páginas

He publicado nuevos apuntes de 2º Matemáticas II: APUNTES-MATEMATICAS-2-1PARCIAL.pdf

16 páginas

He publicado nuevos apuntes de 2º Matemáticas II: Matematicas-II-t4.pdf

4 páginas

Práctica 05

7 páginas

Resumen primer parcial Mates II

26 páginas

Resumen y ejercicios statgraphics para el primer parcial

16 páginas

Ejercicios teoría y problemas RESUELTOS tipo examen para el primer parcial

41 páginas
Anónimo

@Anónimo

He publicado nuevos examenes de 2º Matemáticas II: Test04distribuciones-discretas.pdf

2 páginas

practicas

-

Practicas

He publicado nuevos practicas de 2º Matemáticas II: Practicas

Practica-Inferencia-Estadistica-CHNINGGEDAI.pdf
PRACTICA-4-Distribuciones-ContinuasNINGGEDAI.pdf
PRACTICA-5-Distribuciones-Discretas.pdf
Practica-6-Inferencia-Estadistica-II-Inferencia-sobre-1-poblacionNINGGEDAI.pdf
PRACTICA-Distribuciones-Discretas-I-BINOMIALNINGGEDAI.pdf
Practica13-Modelos-de-Regresion-LinealNINGGEDAI.pdf

He publicado nuevos apuntes de 2º Matemáticas II: Matematicas-II-t3.pdf

4 páginas
Anónimo

@Anónimo

He publicado nuevos practicas de 2º Matemáticas II: PRACTICA-2-Estadistica-Descriptiva-Bidimensional.pdf

16 páginas

Practica 1 con StatGraphics

13 páginas
Anónimo

@Anónimo

He publicado nuevos test de 2º Matemáticas II: TEST3PROBABILIDAD.pdf

3 páginas
Anónimo

@Anónimo

He publicado nuevos practicas de 2º Matemáticas II: PRACTICA-1-Estadistica-Descriptiva-Unidimensional.pdf

13 páginas

He publicado nuevos apuntes de 2º Matemáticas II: Resumen-T.1Estadistica-descriptiva-unidimensional.pdf

2 páginas

He publicado nuevos apuntes de 2º Matemáticas II: Matematicas-II-t2.pdf

3 páginas

He publicado nuevos apuntes de 2º Matemáticas II: Matematicas-II-t1.pdf

7 páginas
Anónimo

@Anónimo

He publicado nuevos examenes de 2º Matemáticas II: TEST-2-MATEMATICAS-II.pdf

4 páginas

Resumen y esquema de estadística descriptiva bidimensional mate ii

1 página

Resumen y esquema del tema 1: estadística descriptiva unidimensional

1 página
Anónimo

@Anónimo

He publicado nuevos apuntes de 2º Matemáticas II: Valores-de-Aproximacion.pdf

1 página
Anónimo

@Anónimo

He publicado nuevos examenes de 2º Matemáticas II: SimulacroSegundoParcial.pdf

6 páginas
Anónimo

@Anónimo

He publicado nuevos apuntes de 2º Matemáticas II: ResumenParcial1.pdf

4 páginas
Anónimo

@Anónimo

He publicado nuevos examenes de 2º Matemáticas II: ExamenSegundoParcial2425.pdf

8 páginas
Anónimo

@Anónimo

He publicado nuevos examenes de 2º Matemáticas II: ExamenSegundoParcial2324.pdf

4 páginas