chevron_left
chevron_right
Todo
Apuntes
chevron_left
chevron_right
Anónimo

@Anónimo

He publicado nuevos apuntes de 2º Matemáticas II: Esquema-Matrices.pdf

2 páginas

apuntes

-

Apuntes con ejercicios de todo

He publicado nuevos apuntes de 2º Matemáticas II: Apuntes con ejercicios de todo

Bloque-3-geometria-con-ejercicios-1.pdf
Bloque-3-geometria-con-ejercicios-2.pdf
Bloque-1-Analisis.pdf
Analisis-chuletario-resumen.pdf
Bloque-2-Matrices-y-determinantes..pdf

Derivabilidad, calculo de recta tangente y normal,representacion de funciones no elementales, L’ Hôpital, Optimación

18 páginas

apuntes

-

dominio de funciones

Bachillerato de Ciencias y Tecnología

ejercicioscalculodominios.pdf
dominio-y-recorrido-de-una-funcic3b3n.pdf

apuntes

-

Integrales

Bachillerato de Ciencias y Tecnología

metodosintegracion2.pdf
integralesprimitivas.pdf
Metodos-de-integracion.pdf
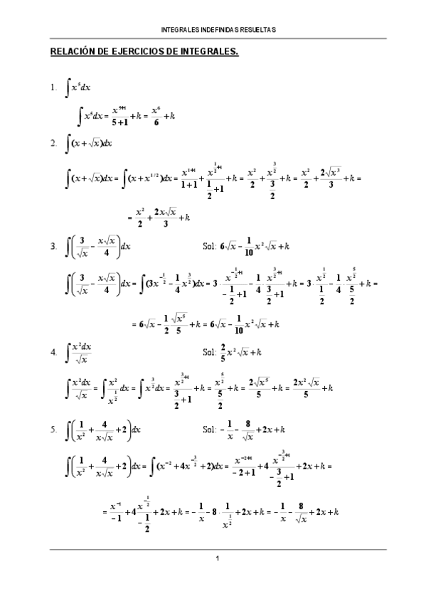
Integrales-indefinidas-resueltas.pdf
apuntesintegrales.pdf

apuntes

-

limites_continuidad

Bachillerato de Ciencias y Tecnología

1BCS-Teoria-6-Limites.pdf
2.pdf
limitescontinuidadderivabilidad.pdf
¡Estás al día!

¡Estás al día!

Has visto todos los archivos