Matemáticas II

chevron_left
chevron_right
Todo
Exámenes
chevron_left
chevron_right
Anónimo

@Anónimo

examenes

-

examenes resueltos matematicas

solucin de examenes de matematicas de 2 bach

Relacion17-Sistemas-de-ecuaciones-SOLUCION.pdf
SOLRelacion16-Matrices-y-Determinantes.pdf
Relacion05.pdf
SOLRELACION-19-GEOMETRIA.pdf
Relacion05.pdf
Relacion17b-solucion-puntuada.pdf
Anónimo

@Anónimo

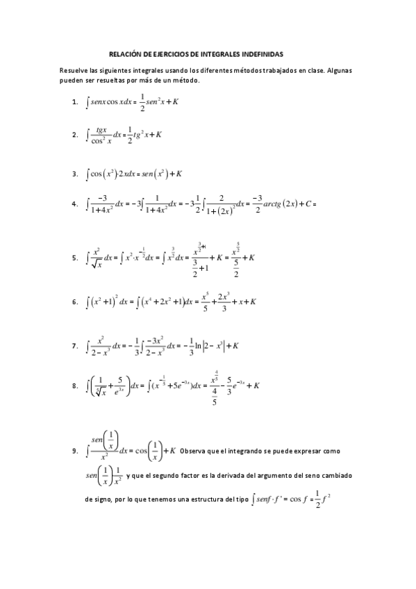
resolucion de examen de integrales indefinidas

4 páginas
¡Estás al día!

¡Estás al día!

Has visto todos los archivos