Matemáticas II

chevron_left
chevron_right
Todo
Apuntes
Ejercicios
chevron_left
chevron_right

Bachillerato de Ciencias y Tecnología

1 página

Bachillerato de Ciencias y Tecnología

1 página

ejercicios

-

funciones, integrales y límites

Bachillerato de Ciencias y Tecnología

LIMITE-.pdf
INTEGRAL.pdf
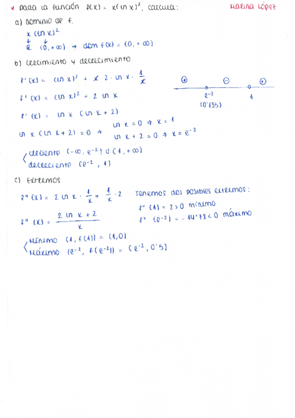
EJERCICIO-MARINA-LOPEZ.pdf

ejercicios

-

discutir y resolver un sistema

Bachillerato de Ciencias y Tecnología

DISCUTIR-Y-RESOLVER1.pdf
DISCUTIR-Y-RESOLVER.pdf

apuntes

-

algebra evau

Bachillerato de Ciencias y Tecnología

determinantes.pdf
sistemas-de-ecuaciones.pdf
matrices.pdf
¡Estás al día!

¡Estás al día!

Has visto todos los archivos