chevron_left
chevron_right
Todo
Apuntes
Ejercicios
Exámenes
chevron_left
chevron_right

apuntes

-

Parciales Temas 1,2 y 3 22-23

He publicado nuevos apuntes de 1º Matemáticas II: Parciales Temas 1,2 y 3 22-23

Parcial-6.pdf
Parcial-8.pdf
Parcial-7.pdf
Parcial-5.pdf
Parcial-2.pdf
Convocatoria-T1-3-22-23.pdf

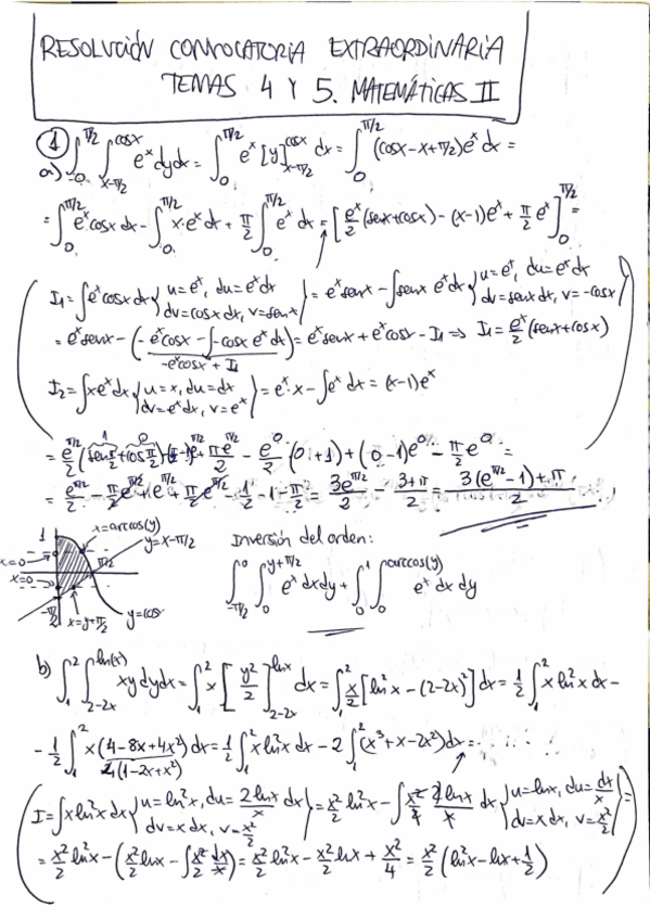
He publicado nuevos examenes de 1º Matemáticas II: Extraordinaria-Temas-4-y-5-2023.pdf

5 páginas

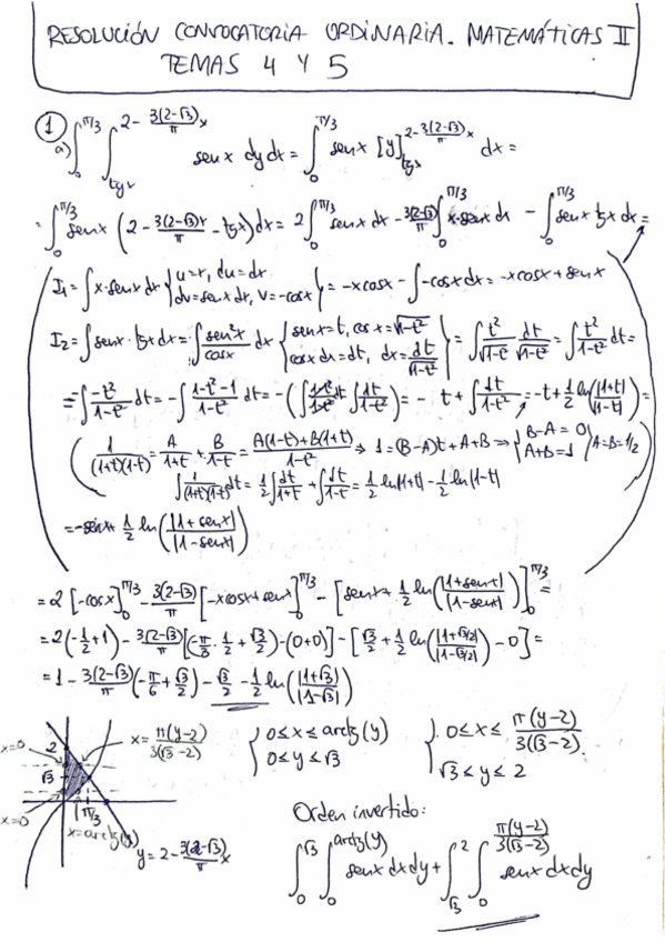
He publicado nuevos examenes de 1º Matemáticas II: Ordinaria-Temas-4-y-5-2023.pdf

5 páginas

He publicado nuevos examenes de 1º Matemáticas II: Parcial-Temas-1-2-y-3-22-23.pdf

5 páginas

He publicado nuevos examenes de 1º Matemáticas II: Quiz-Tema-5-2024-Enunciado-y-Resolucion.pdf

3 páginas

He publicado nuevos examenes de 1º Matemáticas II: Quiz-Tema-3-Resuelto-23-24.pdf

4 páginas

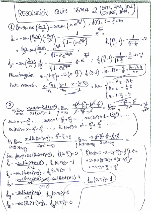
He publicado nuevos examenes de 1º Matemáticas II: Quiz-Tema-2-Resuelto-23-24.pdf

4 páginas

He publicado nuevos examenes de 1º Matemáticas II: QUIZ-TEMA-1-2024-RESUELTO.pdf

3 páginas

He publicado nuevos ejercicios de 1º Matemáticas II

Miniatura no disponible
https://www.wuolah.com/apuntes/matematicas-ii/boletin-t-1-pdf-9978611?utm_source=wuolah&utm_medium=referral&utm_campaign=file-sharefile&referral=ue394492

examenes

-

PRIMER PARCIAL MATES II

He publicado nuevos examenes de 1º Matemáticas II: PRIMER PARCIAL MATES II

PARTE2-PARCIAL-2020.pdf
PARTE1-PARCIAL-2020.pdf

apuntes

-

MATES II COMPLETO

He publicado nuevos apuntes de 1º Matemáticas II: MATES II COMPLETO

TEMA-2.pdf
TEMA-4-22.pdf
TEMA-1.pdf
TEMA-5.pdf
TEMA-3.pdf
TEMA-4-12.pdf
¡Estás al día!

¡Estás al día!

Has visto todos los archivos