chevron_left
chevron_right
Todo
Ejercicios
Exámenes
chevron_left
chevron_right

ejercicios

-

TAREAS RESUELTAS

He publicado nuevos ejercicios de 2º Matemáticas II: TAREAS RESUELTAS

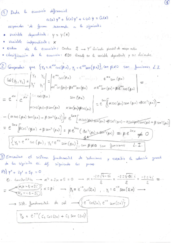
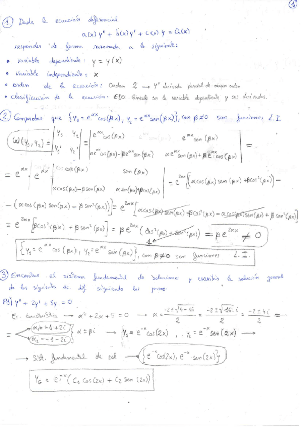
TEMA-2-EDO-lineal-orden-n.pdf
EDO-lineal-orden-n-2.pdf
Tarea-Matematicas-EDO-orden-1.pdf
Matematicas-variables-separables.pdf
Transformada-de-Laplace.pdf
EDO-lineal-orden-n.pdf

examenes

-

EXAMENES

He publicado nuevos examenes de 2º Matemáticas II: EXAMENES

2Mec2020.pdf
test1parcial.pdf
¡Estás al día!

¡Estás al día!

Has visto todos los archivos