MATEMÁTICAS III

chevron_left
chevron_right
Todo
Apuntes
Exámenes
chevron_left
chevron_right

Resumen Parcial Laboratorio

7 páginas

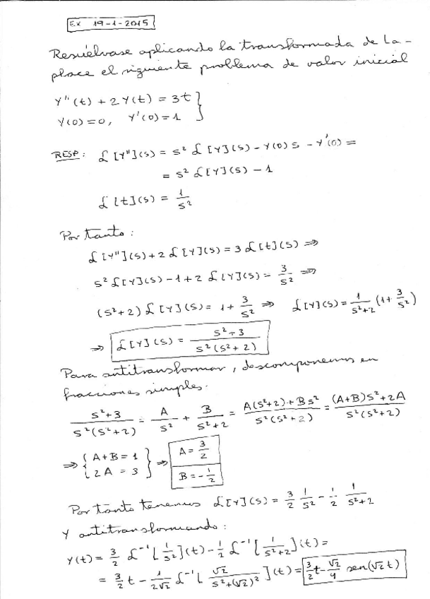
He publicado nuevos examenes de 2º MATEMÁTICAS III: TransformadaLaplace.pdf

2 páginas

He publicado nuevos apuntes de 2º MATEMÁTICAS III: tema6prob8.pdf

2 páginas

He publicado nuevos apuntes de 2º MATEMÁTICAS III: tema6prob10.pdf

2 páginas

He publicado nuevos apuntes de 2º MATEMÁTICAS III: tema6prob3.pdf

3 páginas

He publicado nuevos apuntes de 2º MATEMÁTICAS III: tema6prob9.pdf

3 páginas

He publicado nuevos apuntes de 2º MATEMÁTICAS III: tema6prob2.pdf

2 páginas

He publicado nuevos apuntes de 2º MATEMÁTICAS III: tema6prob4.pdf

1 página
¡Estás al día!

¡Estás al día!

Has visto todos los archivos