Matemáticas III
ejercicios
-
Obtención de puntos notables en tirángulos
He publicado nuevos ejercicios de 3º Matemáticas III: Obtención de puntos notables en tirángulos
es como calcular el ángulo de cada x calculando cada pendiente para poder llegar al resultado
He publicado nuevos apuntes de 3º Matemáticas III: Screenshot20251029134958Drive.jpg
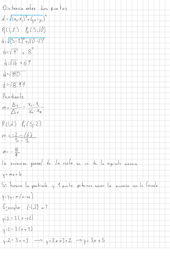
He publicado nuevos apuntes de 3º Matemáticas III: Screenshot20251029134953Drive.jpg
He publicado nuevos apuntes de 3º Matemáticas III: Screenshot20251029134947Drive.jpg
He publicado nuevos apuntes de 3º Matemáticas III: Screenshot20251029134941Drive.jpg
He publicado nuevos apuntes de 3º Matemáticas III: unidad-4-matematicas-3.pdf
He publicado nuevos apuntes de 3º Matemáticas III: actividades-de-requisito-y-evidencia-de-aprendizaje-fyr-etapa1.pdf
He publicado nuevos ejercicios de 3º Matemáticas III: Teorema-de-Tales.pdf
He publicado nuevos ejercicios de 3º Matemáticas III: Ejerciciones-de-funciones.pdf
He publicado nuevos examenes de 3º Matemáticas III: Examen-Matematicas-3.pdf
He publicado nuevos apuntes de 3º Matemáticas III: Funciones-algebraicas.pdf
Matemática
La parte superior de la puerta que se ilustra en la figura 15 tiene la forma de una semielipse. Si la figura se traslada a un sistema de coordenadas y se hace coincidir el origen con el punto medio de la base de la puerta, ¿cuál es la ecuación que representa a la elipse utilizada en el diseño de la

Matemáticas
Determina la ecuación de la recta qué pasa por un punto (-5,6) y tiene pendiente m=-3 su forma general y punto pendiente Sustituyendo Despegando Grafica
He publicado nuevos trabajos de 3º Matemáticas III: Situacion-didactica-1.-Aguas-con-el-agua.pdf
He publicado nuevos trabajos de 3º Matemáticas III: La-circunferencia.-Matematicas-3.pdf
He publicado nuevos ejercicios de 3º Matemáticas III: Problemario-de-Trigonometria-Matematicas.pdf
He publicado nuevos apuntes de 3º Matemáticas III: Lugares-geometricos-en-el-plano.jpg
He publicado nuevos examenes de 3º Matemáticas III: DISTANCIA-Y-ANGULO-ENTRE-DOS-RECTAS-EXAMEN-MATEMATICAS-III-1ER.-PARCIAL-MATEMATICAS-3.pdf
He publicado nuevos apuntes de 3º Matemáticas III: Graficas-de-un-polinomio-1.pdf
He publicado nuevos apuntes de 3º Matemáticas III: Ecuaciones-de-primer-grado-con-una-incognita-Matematicas.pdf
He publicado nuevos ejercicios de 3º Matemáticas III: ejerciciosprobabilidad.pdf
He publicado nuevos apuntes de 3º Matemáticas III: Grados-Y-Radianes.pdf
¡Estás al día!
Has visto todos los archivos