chevron_left
chevron_right
Todo
Apuntes
Ejercicios
Exámenes
Otros
Prácticas
Trabajos
chevron_left
chevron_right

apuntes

-

TEMAS RESUMIDOS 2024

He publicado nuevos apuntes de 1º Matemáticas III: TEMAS RESUMIDOS 2024

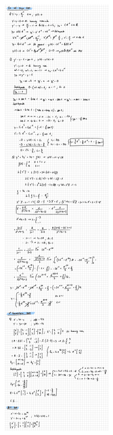
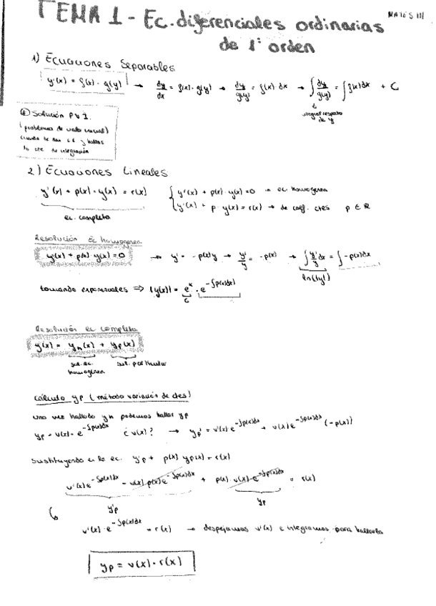
T1-ECUACIONES-DIFERENCIALES-1o-ORDEN.pdf
T2-ECUACIONES-DIFERENCIALES-2o-ORDEN.pdf
T3-LAPLACE.pdf
T4-SISTEMAS-DE-ECUACIONES-DIFERENCIALES-LINEALES.pdf
T5-FOURIER.pdf
T6-ECUACIONES-EN-DERIVADAS-PARCIALES.pdf

examenes

-

EXAMENES RESUELTOS PASO A PASO

He publicado nuevos examenes de 1º Matemáticas III: EXAMENES RESUELTOS PASO A PASO

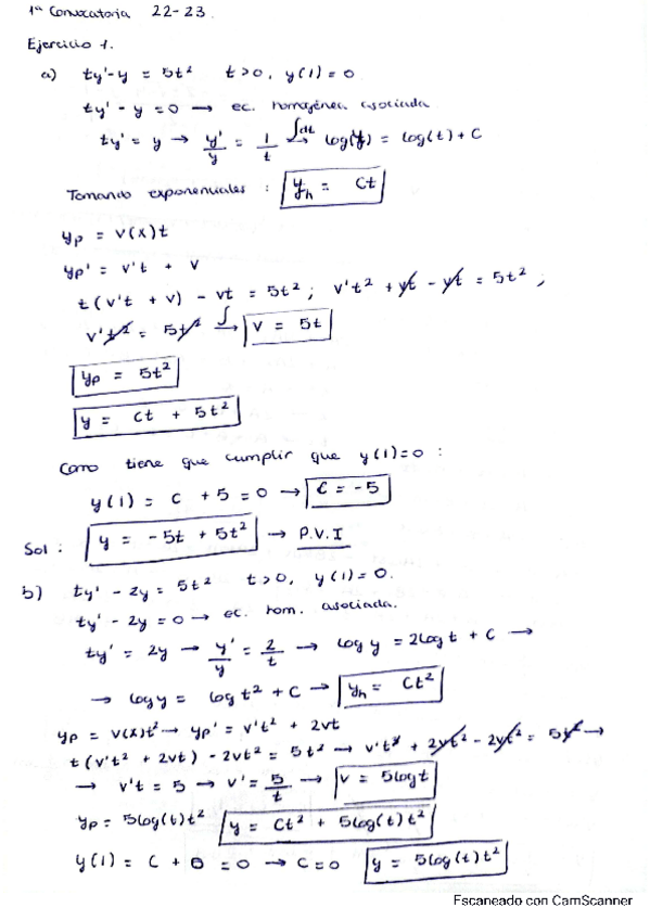
1o-CONVOCATORIA-2015-2016-RESUELTO.pdf
2o-CONVOCATORIA-2014-2015-RESUELTO.pdf
2o-CONVOCATORIA-2018-2019-RESUELTO.pdf
FALSO-FINAL-2014-2015-RESUELTO.pdf

He publicado nuevos apuntes de 1º Matemáticas III: Leccion-1-Ecuaciones-Diferenciales.pdf

3 páginas

He publicado nuevos apuntes de 1º Matemáticas III: Leccion-2-Transformada-de-Laplace.pdf

3 páginas

apuntes

-

Todas las lecciones (sobresaliente)

He publicado nuevos apuntes de 1º Matemáticas III: Todas las lecciones (sobresaliente)

Leccion-4.pdf
Leccion-1.pdf
Leccion-2.pdf
Leccion-3.pdf
Leccion-5.pdf
Resumen-1-parcial.pdf

todos los apuntes de clase de mates 3

182 páginas

apuntes

-

Apuntes asignatura (Mat. de honor)

He publicado nuevos apuntes de 1º Matemáticas III: Apuntes asignatura (Mat. de honor)

LECCION-2.pdf
LECCION-1.pdf
LECCION-3.pdf
LECCION-4.pdf
LECCION-5.pdf
LECCION-6.pdf

apuntes

-

EXAMENES

He publicado nuevos apuntes de 1º Matemáticas III: EXAMENES

examenes-2oPARCIAL.pdf

He publicado nuevos apuntes de 1º Matemáticas III: RESUMEN-SEGUNDO-PARCIAL.pdf

9 páginas

He publicado nuevos apuntes de 1º Matemáticas III: RESUMEN-PRIMER-PARCIAL.pdf

6 páginas

examenes

-

Examenes resueltos parte2

He publicado nuevos examenes de 1º Matemáticas III: Examenes resueltos parte2

1-CONVO-22-23-parte2.pdf
1-CONVO-2022-parte2.pdf
2-CONVO-2022-parte2.pdf
2o-parcial-2024.pdf
3-CONVO-22-23-parte-2.pdf
3-CONVO-2020-parte2.pdf

examenes

-

Examenes resueltos parte1

He publicado nuevos examenes de 1º Matemáticas III: Examenes resueltos parte1

1-CONVO-2021-parte1.pdf
2a-C-Mat-III-TELECO-2020-21Hecho.pdf
3a-C-Mat-III-TELECO-2020-21Hecho.pdf
3a-C-Mat-III-TELECO-2022-23Hecho.pdf
PARCIALES-2019-Hechos.pdf

He publicado nuevos apuntes de 1º Matemáticas III: Examenes-1convo.pdf

9 páginas

He publicado nuevos apuntes de 1º Matemáticas III: parciales-variados.pdf

14 páginas

He publicado nuevos apuntes de 1º Matemáticas III: examenes-3convo.pdf

6 páginas

He publicado nuevos apuntes de 1º Matemáticas III: examenes-2convo.pdf

9 páginas

apuntes

-

mates 3

He publicado nuevos apuntes de 1º Matemáticas III: mates 3

primera-parte-mates-3-temas-1-2-y-3.pdf
segunda-parte-1-mates-3-tema-4.pdf
segunda-parte-2-mates-3-temas-5-y-6-y-ejercicios-de-repaso-antes-de-examen.pdf

He publicado nuevos apuntes de 1º Matemáticas III: Resumen-Sistemas-de-Ecuaciones-Diferenciales.pdf

2 páginas

He publicado nuevos apuntes de 1º Matemáticas III: Resumen-Series-de-Fourier.pdf

3 páginas

examenes

-

EXÁMENES RESUELTOS

He publicado nuevos examenes de 1º Matemáticas III: EXÁMENES RESUELTOS

Examen-1-Convocatoria-2021-2022-resuelto.pdf
Examen-1-Convocatoria-2022-2023-resuelto.pdf
Examen-2-Convocatoria-2022-2023-resuelto.pdf
Examen-3-Convocatoria-2022-2023-resuelto.pdf
Examen-Alternativo-2021-2022-resuelto.pdf
Examen-2-Convocatoria-2021-2022-resuelto.pdf

He publicado nuevos apuntes de 1º Matemáticas III: Tema-6-Ecuaciones-Diferenciales-En-Derivadas-Parciales.pdf

14 páginas

apuntes

-

TEORÍA Y EJERCICIOS MATES III

He publicado nuevos apuntes de 1º Matemáticas III: TEORÍA Y EJERCICIOS MATES III

Leccion-1.-Ecuaciones-diferenciales-de-primer-orden.-Teoria-y-ejercicios-resueltos.pdf
Leccion-2.-Ecuaciones-lineales-de-segundo-orden.-Teoria-y-ejercicios-resueltos.pdf
Leccion-3.-Transformada-de-Laplace.-Teoria-y-ejercicios-resueltos.pdf
Leccion-4.-Sistemas-de-ecuaciones-diferenciales-lineales.-Teoria-y-ejercicios-resueltos.pdf
Leccion-5.-Series-de-Fourier.-Teoria-y-ejercicios-resueltos.pdf
Leccion-6.Ecuaciones-en-derivadas-parciales.-Teoria-y-ejercicios-resueltos.pdf

apuntes

-

Sistemas de Ecuaciones Diferenciales Lineales

He publicado nuevos apuntes de 1º Matemáticas III: Sistemas de Ecuaciones Diferenciales Lineales

INTRODUCCION-SISTEMAS-DE-ECUACIONES-EN-EC-DIF.pdf
ESTRUCTURA-DE-LAS-SOLUCIONES.pdf
MATRICES-DE-COEFICIENTES-NO-DIAGONALIZABLES.pdf
VARIACION-DE-PARAMETROS.pdf

apuntes

-

Fourier

He publicado nuevos apuntes de 1º Matemáticas III: Fourier

SERIE-DE-FOURIER-1.pdf
SERIE-DE-FOURIER-2.pdf
DESARROLLO-DE-MEDIO-INTERVALO.pdf

He publicado nuevos apuntes de 1º Matemáticas III: RECOPILACION-EXAMENES-RESUELTOS.pdf

20 páginas

He publicado nuevos apuntes de 1º Matemáticas III: LO-MAS-IMPORTANTE-TEMAS-1-5.pdf

16 páginas

He publicado nuevos apuntes de 1º Matemáticas III: Tema-4-Sistemas-de-Ecuaciones-De-E.D.-Lineales.pdf

14 páginas

He publicado nuevos apuntes de 1º Matemáticas III: Tema-5-Transformada-De-Fourier.pdf

8 páginas

apuntes

-

apuntes mates III

He publicado nuevos apuntes de 1º Matemáticas III: apuntes mates III

tema-1.pdf
tema-3.pdf
tema-4--ej.pdf
tema-2.pdf

Resumen Temas 1-3 + Ejemplos

15 páginas

He publicado nuevos apuntes de 1º Matemáticas III: Resumen-Ecuaciones-Diferenciales-1er-orden.pdf

2 páginas

He publicado nuevos apuntes de 1º Matemáticas III: Resumen-Ecuaciones-Diferenciales-2o-orden.pdf

2 páginas

He publicado nuevos apuntes de 1º Matemáticas III: Resumen-Transformada-de-Laplace.pdf

2 páginas

He publicado nuevos apuntes de 1º Matemáticas III: Tema-6-Ecuaciones-En-Derivadas-Parciales.pdf

21 páginas

He publicado nuevos apuntes de 1º Matemáticas III: Tema-5-Series-De-Fourier.pdf

12 páginas

He publicado nuevos apuntes de 1º Matemáticas III: Tema-4-Sistemas-De-Ec-De-Diferenciales.pdf

16 páginas

He publicado nuevos apuntes de 1º Matemáticas III: Tema-1-Ecuaciones-Diferenciales-Lineales-De-1o-Orden.pdf

8 páginas

He publicado nuevos apuntes de 1º Matemáticas III: Tema-3-La-Transformada-De-La-Place.pdf

22 páginas

He publicado nuevos apuntes de 1º Matemáticas III: Tema-2-Ecuaciones-Diferenciales-Lineales-De-2o-Orden.pdf

19 páginas

He publicado nuevos apuntes de 1º Matemáticas III: Falso-final-2022.pdf

6 páginas

He publicado nuevos apuntes de 1º Matemáticas III: TEMA-1-ECUACIONES-DIFERENCIALES-DE-PRIMER-ORDEN.pdf

8 páginas

He publicado nuevos apuntes de 1º Matemáticas III: TEMA-2-ECUACIONES-LINEALES-DE-SEGUNDO-ORDEN.pdf

16 páginas

He publicado nuevos apuntes de 1º Matemáticas III: Tema-2-Ecuaciones-Diferenciales-2do-Orden.pdf

13 páginas
Anónimo

@Anónimo

apuntes

-

Apuntes por tema + ejemplos

He publicado nuevos apuntes de 1º Matemáticas III: Apuntes por tema + ejemplos

Leccion-1.-Apuntes--ejemplos.pdf

He publicado nuevos apuntes de 1º Matemáticas III: Tema-1-Ecuaciones-Diferenciales-De-1er-Orden.pdf

10 páginas

He publicado nuevos ejercicios de 1º Matemáticas III: problemas.pdf

1 página

He publicado nuevos apuntes de 1º Matemáticas III: examenes-resueltos.pdf

1 página

apuntes

-

Apuntes

He publicado nuevos apuntes de 1º Matemáticas III: Apuntes

tema-1-ec-dif-1er-orden.pdf
tema-2-ec-dif-2o-orden.pdf
tema-3-transformada-de-laplace.pdf
tema-4-sis-ec-dif-lineales.pdf
tema-5-Series-de-fourier.pdf
tema-6-ec-en-derivadas-parciales.pdf

He publicado nuevos examenes de 1º Matemáticas III: Ejercicios examen resueltos.pdf

16 páginas

He publicado nuevos apuntes de 1º Matemáticas III: T6-Apuntes-Clase.pdf

10 páginas

He publicado nuevos examenes de 1º Matemáticas III: T5-Ejercicios-Examen-Fourier.pdf

3 páginas

apuntes

-

TEMAS RESUMIDOS (ESENCIAL)

He publicado nuevos apuntes de 1º Matemáticas III: TEMAS RESUMIDOS (ESENCIAL)

TEMA-1-RESUMEN.pdf
TEMA-2-RESUMEN.pdf
TEMA-3-RESUMEN.pdf
TEMA-4-RESUMEN.pdf
TEMA-5-RESUMEN.pdf
TEMA-6-RESUMEN.pdf

examenes

-

EXAMENES RESUELTOS AL DETALLE

He publicado nuevos examenes de 1º Matemáticas III: EXAMENES RESUELTOS AL DETALLE

1o-CONVOCATORIA-2015-2016-RESUELTO.pdf
2o-CONVOCATORIA-2014-2015-RESUELTO.pdf
2o-CONVOCATORIA-2018-2019-RESUELTO.pdf
FALSO-FINAL-2014-2015-RESUELTO.pdf

He publicado nuevos apuntes de 1º Matemáticas III: resumenMatesIII.pdf

16 páginas

He publicado nuevos apuntes de 1º Matemáticas III: coleccion-examenes.pdf

70 páginas

He publicado nuevos apuntes de 1º Matemáticas III: Series-Fourier-teoria-y-ejemplos.pdf

11 páginas

He publicado nuevos apuntes de 1º Matemáticas III: leccion-2-teoria-y-ejemplos.pdf

28 páginas

He publicado nuevos apuntes de 1º Matemáticas III: leccion-3-teoria-y-ejemplos.pdf

25 páginas

He publicado nuevos apuntes de 1º Matemáticas III: leccion-1-teoria-y-ejemplos.pdf

17 páginas

He publicado nuevos apuntes de 1º Matemáticas III: hoja-2-ejercicios.pdf

19 páginas