chevron_left
chevron_right
Todo
Apuntes
Ejercicios
Exámenes
Prácticas
chevron_left
chevron_right

practicas

-

Prácticas Matlab Resueltas

Practicas desde la 3 hasta la 10 resueltas. La 1 y la 2 eran solamente de iniciación

Mates-3-Practica-3-Resuelta.pdf
Mates-3-Practica-10-Resuelta.pdf
Mates-3-Practica-9-Resuelta.pdf
Mates-3-Practica-8-Resuelta.pdf
Mates-3-Practica-7-Resuelta.pdf
Mates-3-Practica-6-Resuelta.pdf

He publicado nuevos apuntes de 2º Matemáticas III: Resumen-Matematicas-III.pdf

19 páginas

apuntes

-

Ejercicios temas 6-10

He publicado nuevos apuntes de 2º Matemáticas III: Ejercicios temas 6-10

Ejercicios-tema-6.pdf
Ejercicios-tema-7-resolucion-de-EDO.pdf
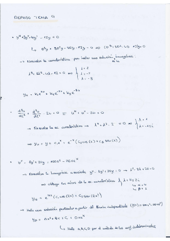
Ejercicios-tema-9.pdf
Aplicaciones-tema-7.pdf
Ejercicios-tema-10.pdf

ejercicios

-

Ejercicios EDOs Explicados

He publicado nuevos ejercicios de 2º Matemáticas III: Ejercicios EDOs Explicados

Tema-6.-Ecuaciones-diferenciales-y-soluciones.pdf
Tema-7.-Aplicaciones-EDOS-1er-orden.pdf
Tema-7.-EDOS-1er-orden.pdf
Tema-9.-EDOS-2Do-orden.pdf
Tema-10.-Sistemas-EDOs.pdf
Tema-9.-Aplicaciones-EDOs-2do-orden.pdf

He publicado nuevos apuntes de 2º Matemáticas III: Esquema-formulas-temas-1-5.pdf

5 páginas

ejercicios

-

Ejercicios temas 1-5

He publicado nuevos ejercicios de 2º Matemáticas III: Ejercicios temas 1-5

Ejercicios-tema-2.pdf
Ejercicios-tema-1.pdf
Ejercicios-tema-3.pdf
Ejercicios-tema-4.pdf
Ejercicios-tema-5.pdf

He publicado nuevos apuntes de 2º Matemáticas III: tema-9-edo.pdf

12 páginas

He publicado nuevos apuntes de 2º Matemáticas III: temas-6-y-7-edo.pdf

20 páginas

He publicado nuevos apuntes de 2º Matemáticas III: tema-10-edo.pdf

10 páginas

ejercicios

-

Ejercicios Cálculo Numérico Explicados

He publicado nuevos ejercicios de 2º Matemáticas III: Ejercicios Cálculo Numérico Explicados

Tema-1.-Sist-de-Ecuaciones-no-lineales.pdf.pdf
Tema-2.-Sistemas-de-Ecuaciones-Lineales.pdf
Tema-3.-Interpolacion.pdf
Tema-4.-Aproximacion.pdf
Tema-5.-Integracion-Numerica.pdf

Apuntes y ejercicios. Todo lo de clase.

26 páginas

He publicado nuevos examenes de 2º Matemáticas III: Examen-parcial-Mates-3.pdf

5 páginas

Apuntes y ejercicios. Todo lo de clase.

30 páginas

Apuntes y ejercicios. Todo lo de clase.

39 páginas

Apuntes y ejercicios. Todo lo de clase.

37 páginas

Apuntes y ejercicios. Todo lo de clase.

40 páginas

He publicado nuevos ejercicios de 2º Matemáticas III: TEMA-7-EDOS-2.pdf

9 páginas

He publicado nuevos ejercicios de 2º Matemáticas III: TEMA-7-EDOS-1.pdf

13 páginas

He publicado nuevos examenes de 2º Matemáticas III: Examen-final-EDOS-23-24.pdf

4 páginas

He publicado nuevos ejercicios de 2º Matemáticas III: TEMA-10.pdf

6 páginas

He publicado nuevos ejercicios de 2º Matemáticas III: TEMA-9.pdf

12 páginas

He publicado nuevos ejercicios de 2º Matemáticas III: TEMA-7-APLICACIONES.pdf

13 páginas

He publicado nuevos ejercicios de 2º Matemáticas III: TEMA-6.pdf

10 páginas

He publicado nuevos apuntes de 2º Matemáticas III: Como-hacer-los-ejercicios-de-EDOS.pdf

10 páginas

apuntes

-

Teoría y resúmenes de teoría temas 1-5

He publicado nuevos apuntes de 2º Matemáticas III: Teoría y resúmenes de teoría temas 1-5

resumen-basico-tema-1.pdf
resumen-basico-tema-2.-matematicas-3.pdf
resumen-basico-tema-3.-matematicas-3.pdf
resumen-basico-tema-4.-matematicas-3.pdf
resumen-basico-tema-5.-matematicas-3.pdf
teoria-tema-1.-matematicas-3.pdf

He publicado nuevos examenes de 2º Matemáticas III: PARCIAL-CALCULO-NUMERICO-24-25.pdf

1 página

He publicado nuevos apuntes de 2º Matemáticas III: Como-hacer-los-ejercicios-calculo-numerico.pdf

10 páginas

ejercicios

-

Ejercicios resueltos bloque cálculo numérico

He publicado nuevos ejercicios de 2º Matemáticas III: Ejercicios resueltos bloque cálculo numérico

EJERCICIOS-TEMA-1.pdf
EJERCICIOS-TEMA-3.pdf
EJERCICIOS-TEMA-2.pdf
EJERCICIOS-TEMA-4.pdf
EJERCICIOS-TEMA-5.pdf

He publicado nuevos examenes de 2º Matemáticas III: EXAMEN-FINAL-1a-CONVOCATORIA-2024-resuelto.pdf

6 páginas

He publicado nuevos examenes de 2º Matemáticas III: PARCIAL-2023-mates-III-resuelto.pdf

5 páginas

He publicado nuevos examenes de 2º Matemáticas III: PARCIAL-MATES-III-2023.pdf

3 páginas

He publicado nuevos apuntes de 2º Matemáticas III: TEMA-2-SISTEMAS-DE-ECUACIONES-LINEALES-EJERCICIOS.pdf

5 páginas

He publicado nuevos apuntes de 2º Matemáticas III: RESUMEN-FORMULAS-GENERALES.pdf

6 páginas

He publicado nuevos apuntes de 2º Matemáticas III: TEMA-5-INTEGRACION-NUMERICA-EJERCICIOS.pdf

4 páginas

He publicado nuevos apuntes de 2º Matemáticas III: TEMA-3-INTERPOLACION-EJERCICIOS.pdf

8 páginas

He publicado nuevos apuntes de 2º Matemáticas III: TEMA-4-APROXIMACION-EJERCICIOS.pdf

10 páginas

He publicado nuevos apuntes de 2º Matemáticas III: TEMA-1-ECUACIONES-NO-LINEALES-EJERCICIOS.pdf

19 páginas

He publicado nuevos apuntes de 2º Matemáticas III: Teoria-calculo-numerico.pdf

10 páginas

ejercicios

-

Ejercicios cálculo numérico

He publicado nuevos ejercicios de 2º Matemáticas III: Ejercicios cálculo numérico

3.pdf
4.pdf
1.pdf
2.pdf

He publicado nuevos examenes de 2º Matemáticas III: Resolucion-parcial-2023-Octubre.-CalcNumerico.pdf

3 páginas

He publicado nuevos apuntes de 2º Matemáticas III: APUNTES-COMPLETOS.pdf

70 páginas

ejercicios

-

PROBLEMAS RESUELTOS

He publicado nuevos ejercicios de 2º Matemáticas III: PROBLEMAS RESUELTOS

PROBLEMAS-3-Interpolacion.pdf
PROBLEMAS-5-Integracion-numerica.pdf
PROBLEMAS-2-SistEcLineales.pdf
PROBLEMAS-9-EDOsOrden-Superior.pdf
PROBLEMAS-6-EDOs.pdf
PROBLEMAS-8-METODOS-NUMERICOS.pdf

apuntes

-

TEMARIO - ENOLin - EDOs - Mét. Numérc.

He publicado nuevos apuntes de 2º Matemáticas III: TEMARIO - ENOLin - EDOs - Mét. Numérc.

TEMA-6-EDOs.pdf
TEMA-10-SEDO.pdf
TEMA-8-Metodos-numericos.pdf
TEMA-9-EDOs-Orden-Superior.pdf
TEMA-7-EDOs-Aplicaciones.pdf
TEMA-3-Interpolacion.pdf

practicas

-

DOCUMENTACIÓN MATHEMATICA

He publicado nuevos practicas de 2º Matemáticas III: DOCUMENTACIÓN MATHEMATICA

ManejodeListasyMatrices.pdf
MathematicaCalculo.pdf
HerramientasBasicasdeProgramacion.pdf
PrimerosPasosconMathematica.pdf
Module.pdf
InterpolacionMathematica.pdf

apuntes

-

APUNTES AYUDA

He publicado nuevos apuntes de 2º Matemáticas III: APUNTES AYUDA

AYUDA-Ecuaciones-diferenciales-y-ordinarias.pdf
Formulas-EDOs.pdf

apuntes

-

TRASPARENCIAS - ENUNCIADOS

He publicado nuevos apuntes de 2º Matemáticas III: TRASPARENCIAS - ENUNCIADOS

Tema4-Aproximacion.pdf
Tema8-EDOs-Met.pdf
Tema5-IntNumerica.pdf
Tema1-EcsNolin-Studium.pdf
Tema10-SEDO.pdf
Tema3-Interpolacion.pdf

apuntes

-

Tema 6

He publicado nuevos apuntes de 2º Matemáticas III: Tema 6

tema-6-parte-6.pdf
tema-6-parte-5.pdf
tema6-parte-1.pdf
tema-6-parte-7.pdf
tema-6-parte-2.pdf
tema-6-parte-4.pdf

apuntes

-

Apuntes

He publicado nuevos apuntes de 2º Matemáticas III: Apuntes

errores-tema-1-2-3-4-5.pdf
Mathematica.pdf

apuntes

-

Tema 5

He publicado nuevos apuntes de 2º Matemáticas III: Tema 5

tema5-parte-2.pdf
tema5-parte-1.pdf
tema5-parte-3.pdf

apuntes

-

Tema 4

He publicado nuevos apuntes de 2º Matemáticas III: Tema 4

tema4-parte-2.pdf
tema4-parte-1.pdf
tema4-parte-3.pdf

apuntes

-

Tema 3

He publicado nuevos apuntes de 2º Matemáticas III: Tema 3

tema3-parte3.pdf
tema3-parte-2.pdf
tema3-parte-1.pdf

apuntes

-

Tema 1

He publicado nuevos apuntes de 2º Matemáticas III: Tema 1

tema1-parte-6.pdf
tema1-parte-8.pdf
tema1-parte3.pdf
tema1-parte-4.pdf
tema1-parte-5.pdf
tema1-parte-7.pdf

apuntes

-

Tema2

He publicado nuevos apuntes de 2º Matemáticas III: Tema2

tema2-parte-5.pdf
tema2-parte-10.pdf
tema2-parte-2.pdf
tema2-parte-8.pdf
tema2-parte-1.pdf
tema2-parte-6.pdf
¡Estás al día!

¡Estás al día!

Has visto todos los archivos