Todo
Apuntes
Ejercicios
Exámenes
Trabajos
chevron_left
chevron_right

He publicado nuevos apuntes de 1º Matemáticas III: Todo-lo-que-tienes-que-saber-M3.pdf

22 páginas

He publicado nuevos apuntes de 1º Matemáticas III: Apuntes-parcial-1-Matematicas-3.pdf

8 páginas

He publicado nuevos ejercicios de 1º Matemáticas III: EJERCICIOS-CORREGIDOS-T.1.pdf

9 páginas

He publicado nuevos apuntes de 1º Matemáticas III: teoria--ejs-ECUACIONES-EN-DERIVADAS-PARCIALES.pdf

14 páginas

He publicado nuevos apuntes de 1º Matemáticas III: teoriaejs-LAPLACE.pdf

11 páginas

He publicado nuevos apuntes de 1º Matemáticas III: PROBLEMAS-EXAMENES.pdf

4 páginas

He publicado nuevos apuntes de 1º Matemáticas III: teoria-ejs-SERIES-DE-FOURIER.pdf

5 páginas

He publicado nuevos apuntes de 1º Matemáticas III: teoria-ejs-resueltos-Sistemas-De-Ecuaciones-Diferenciales.pdf

13 páginas

He publicado nuevos apuntes de 1º Matemáticas III: teoria-y-ejs-INTRO-EC-DIF.pdf

5 páginas

He publicado nuevos apuntes de 1º Matemáticas III: teoria-y-ejs-resueltos-EDOS-DE-PRIMER-ORDEN.pdf

13 páginas

He publicado nuevos apuntes de 1º Matemáticas III: ejs-resueltos-tema-3.pdf

6 páginas

He publicado nuevos apuntes de 1º Matemáticas III: ejs-resueltos-tema-2.pdf

19 páginas

He publicado nuevos apuntes de 1º Matemáticas III: teoria-ejs-ECUACIONES-LINEALES-DE-ORDEN-N.pdf

14 páginas

He publicado nuevos examenes de 1º Matemáticas III: parcial-resuelto.pdf

7 páginas

He publicado nuevos examenes de 1º Matemáticas III: Examenes-resuelto-s-202120222023.pdf

10 páginas

He publicado nuevos examenes de 1º Matemáticas III: Examen-2022.pdf

4 páginas

He publicado nuevos apuntes de 1º Matemáticas III: Resumen-muy-bueno-edo-primer-grado.pdf

1 página

He publicado nuevos examenes de 1º Matemáticas III: Examen-2021-reuelto.pdf

4 páginas

He publicado nuevos examenes de 1º Matemáticas III: Examenes-resueltos-2022-y-2023.pdf

7 páginas
Anónimo

@Anónimo

He publicado nuevos apuntes de 1º Matemáticas III: Todo-Mates-III Apuntes problemas y ejercicios.pdf

93 páginas

He publicado nuevos apuntes de 1º Matemáticas III: Apuntes-todo-MATEMATICAS-III.pdf

24 páginas

He publicado nuevos apuntes de 1º Matemáticas III: resumen-tema-6.pdf

4 páginas

He publicado nuevos ejercicios de 1º Matemáticas III: ejercicios-tema-6.pdf

20 páginas

He publicado nuevos ejercicios de 1º Matemáticas III: ejercicios-tema-5.pdf

11 páginas

He publicado nuevos apuntes de 1º Matemáticas III: resumen-tema-5.pdf

2 páginas

He publicado nuevos ejercicios de 1º Matemáticas III: ejercicios-tema-4.pdf

16 páginas

He publicado nuevos apuntes de 1º Matemáticas III: resumen-tema-4.pdf

3 páginas

He publicado nuevos apuntes de 1º Matemáticas III: resumen-tema-3.pdf

2 páginas

He publicado nuevos ejercicios de 1º Matemáticas III: ejercicios-tema-3.pdf

17 páginas

He publicado nuevos ejercicios de 1º Matemáticas III: Ejercicios-tema-2.pdf

20 páginas

He publicado nuevos apuntes de 1º Matemáticas III: resumen-tema-2.pdf

4 páginas

He publicado nuevos examenes de 1º Matemáticas III: Examen-mayo-2023.pdf

4 páginas

He publicado nuevos ejercicios de 1º Matemáticas III: Ejercicios-Laplace.pdf

10 páginas

He publicado nuevos examenes de 1º Matemáticas III: Examen-Julio-2023.pdf

4 páginas

He publicado nuevos ejercicios de 1º Matemáticas III: Problemas-de-contorno.pdf

3 páginas

He publicado nuevos examenes de 1º Matemáticas III: Examen-Junio-2022.pdf

4 páginas

He publicado nuevos ejercicios de 1º Matemáticas III: Ejercicios-Sistemas-de-EDOS.pdf

18 páginas

He publicado nuevos apuntes de 1º Matemáticas III: Resumen-temas-6-y-7-fourier-y-edps.pdf

6 páginas

He publicado nuevos apuntes de 1º Matemáticas III: resumen-completo-tema-transformada-laplace.pdf

4 páginas

He publicado nuevos apuntes de 1º Matemáticas III: resumen-completo-tema-sistemas-de-edos.pdf

6 páginas

He publicado nuevos examenes de 1º Matemáticas III: examen-junio-2018.pdf

7 páginas

He publicado nuevos apuntes de 1º Matemáticas III: sistemas-de-ec-diferenciales.pdf

11 páginas

He publicado nuevos apuntes de 1º Matemáticas III: lo-importante-de-ec-diferenciales-y-ejemplos.pdf

16 páginas

He publicado nuevos ejercicios de 1º Matemáticas III: problemas-primer-parcial.pdf

26 páginas

He publicado nuevos ejercicios de 1º Matemáticas III: ejercicios-resueltos.pdf

50 páginas

He publicado nuevos apuntes de 1º Matemáticas III: resumenes-temas.pdf

10 páginas

He publicado nuevos trabajos de 1º Matemáticas III: Trabajo-1.pdf

17 páginas

He publicado nuevos ejercicios de 1º Matemáticas III: Problemas-T5.pdf

12 páginas

He publicado nuevos ejercicios de 1º Matemáticas III: Problemas-T4.pdf

32 páginas

He publicado nuevos ejercicios de 1º Matemáticas III: Problemas-T2.pdf

53 páginas

He publicado nuevos ejercicios de 1º Matemáticas III: Ejercicios-de-Examenes-resueltos.pdf

16 páginas

He publicado nuevos ejercicios de 1º Matemáticas III: Problemas-T3.pdf

45 páginas

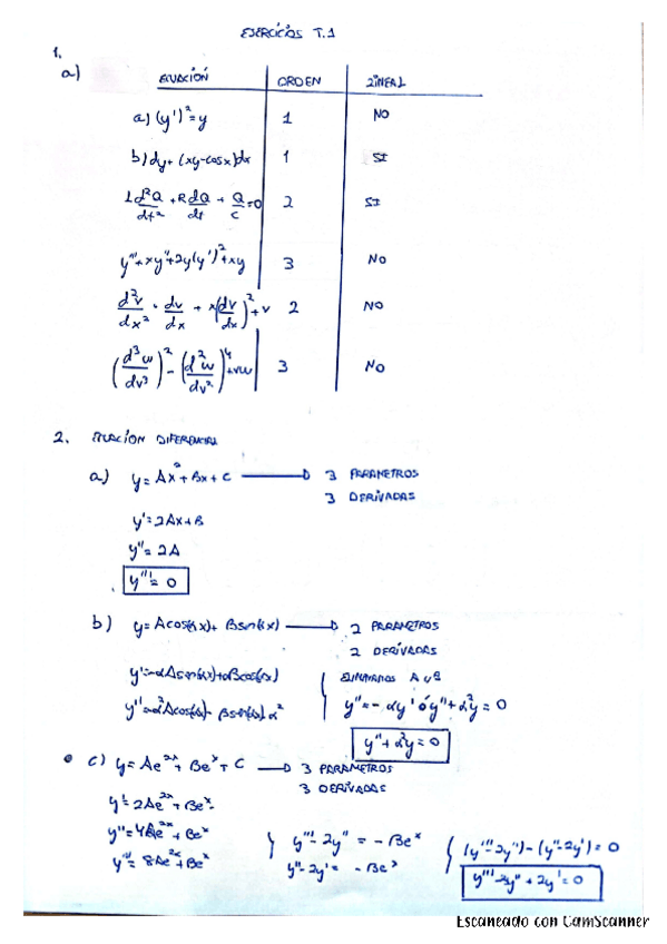
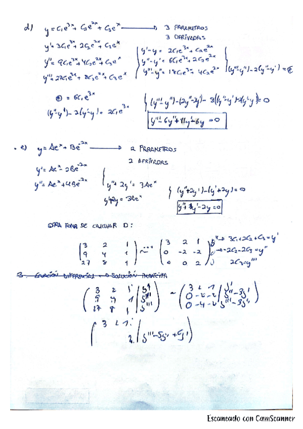
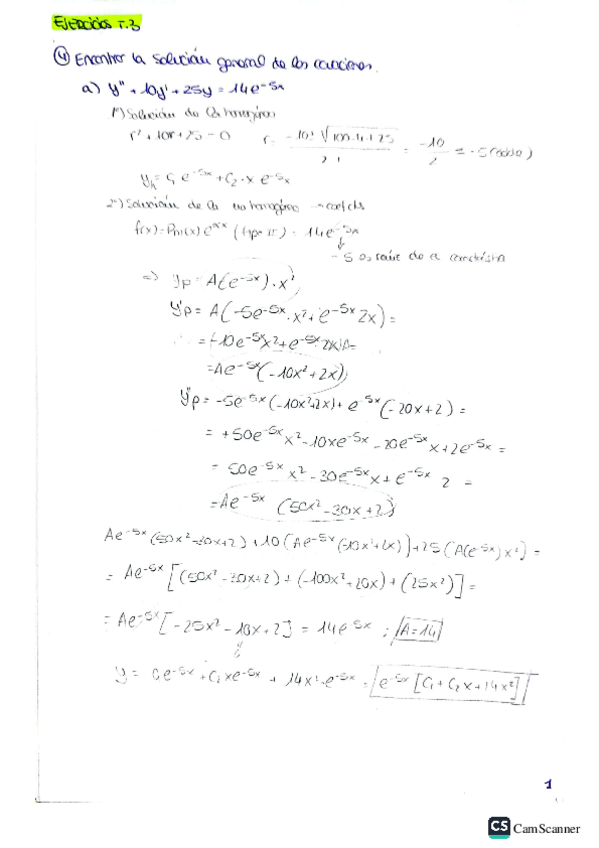
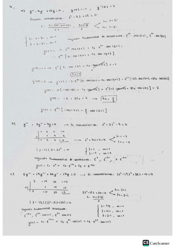
He publicado nuevos ejercicios de 1º Matemáticas III: Problemas-T1.pdf

16 páginas

He publicado nuevos ejercicios de 1º Matemáticas III: Ejercicios-Fourier-.pdf

4 páginas

He publicado nuevos ejercicios de 1º Matemáticas III: Ejercicios-Transformada-Laplace.pdf

13 páginas

He publicado nuevos apuntes de 1º Matemáticas III: Ejercicios-Sistemas-dif.-lineales.pdf

24 páginas

He publicado nuevos ejercicios de 1º Matemáticas III: Ejercicios-Ec.-Lineales-orden-sup..pdf

21 páginas

He publicado nuevos ejercicios de 1º Matemáticas III: Ejercicios-Ec.-dif.-primer-orden.pdf

34 páginas

He publicado nuevos ejercicios de 1º Matemáticas III: Problemas-con-soluciones.pdf

40 páginas

He publicado nuevos ejercicios de 1º Matemáticas III: Ejercicios-Fourier.pdf

13 páginas