chevron_left
chevron_right
Todo
Apuntes
Ejercicios
Exámenes
chevron_left
chevron_right

examenes

-

Examenes Varios

He publicado nuevos examenes de 2º Matemáticas III: Examenes Varios

3aConvocatoria.-2aParte-202425.pdf
2oParcial-202425.pdf
2aConvocatoria.-2aParte-202425.pdf
1aConvocatoria.-2aParte-202425.pdf
Tercera-Convocatoria.-Primera-parte.-202425.pdf
Segunda-Convocatoria-202425.pdf

apuntes

-

Examenes reseltos

He publicado nuevos apuntes de 2º Matemáticas III: Examenes reseltos

1-parcial-2024-25.pdf
1-parcial-2021-22.pdf

examenes

-

Exámenes

He publicado nuevos examenes de 2º Matemáticas III: Exámenes

Parcial-1-21-22.pdf
Parcial-1-24-25.pdf

apuntes

-

Esquemas Ecuaciones diferenciales

He publicado nuevos apuntes de 2º Matemáticas III: Esquemas Ecuaciones diferenciales

Esquema-ec-diferenciales-de-primer-orden.pdf
Ecuaciones-diferenciales-de-orden-superior.pdf

He publicado nuevos apuntes de 2º Matemáticas III: Tema-1Con-ejemplos.pdf

17 páginas

ejercicios

-

Ejercicios resueltos por temas

He publicado nuevos ejercicios de 2º Matemáticas III: Ejercicios resueltos por temas

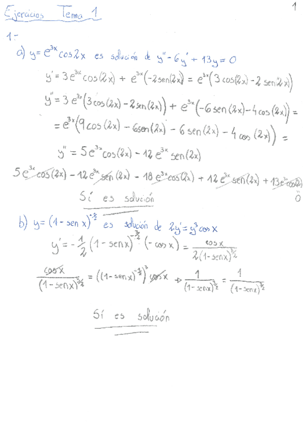
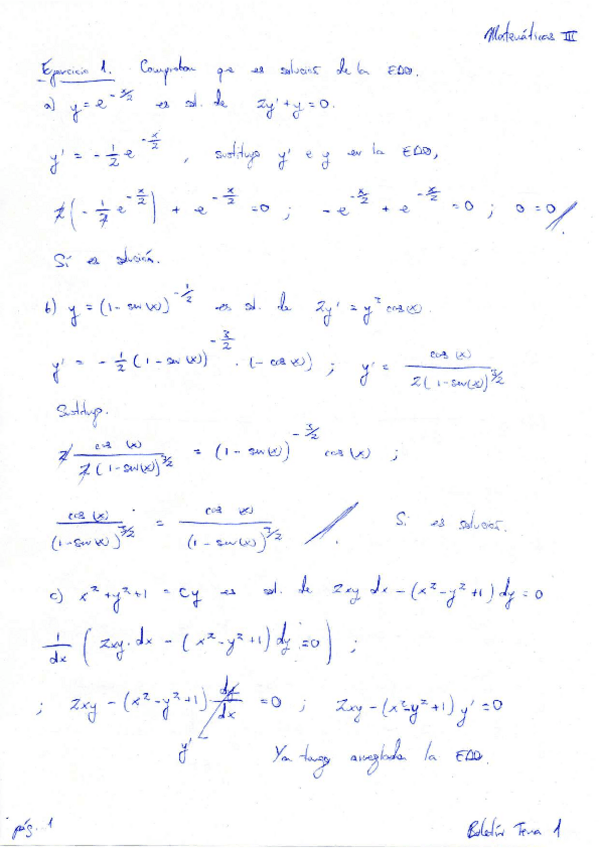
BoletinTema1.pdf
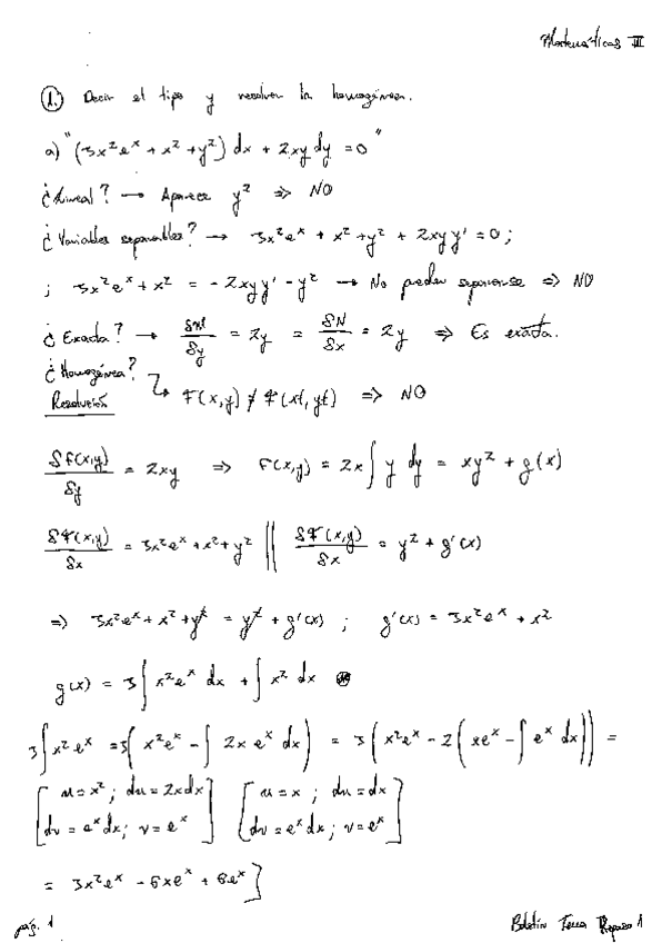
BoletinRepaso1.pdf
BoletinTema2.pdf
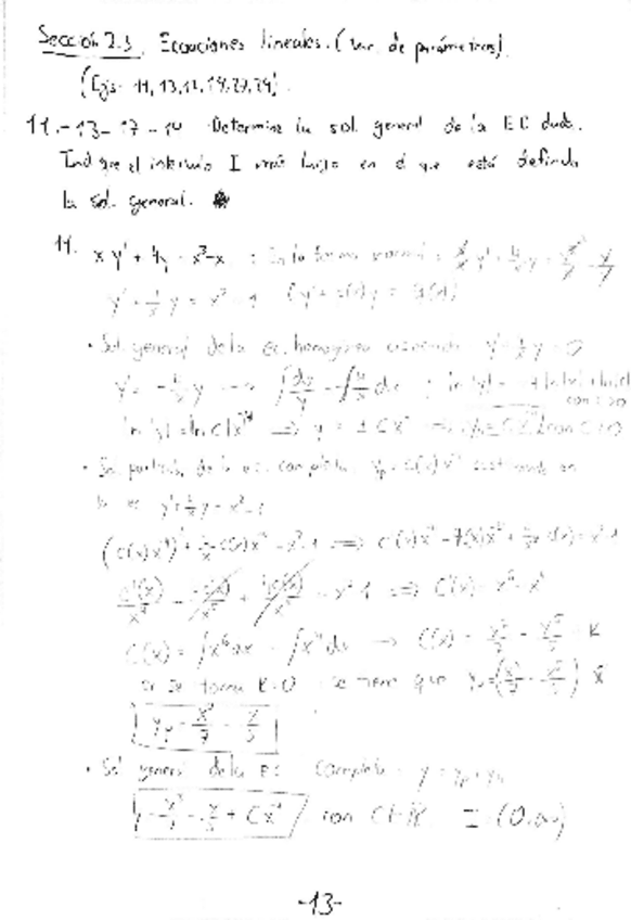
BoletinTema3.pdf
BoletinTema4.pdf
BoletinTema5.pdf

He publicado nuevos apuntes de 2º Matemáticas III: Primer-parcial-resumen-y-ejercicios-mates-iii.pdf

10 páginas

He publicado nuevos apuntes de 2º Matemáticas III: Segundo-parcial-resumen-mates-iii.pdf

2 páginas

examenes

-

EXAMENES MATES III

He publicado nuevos examenes de 2º Matemáticas III: EXAMENES MATES III

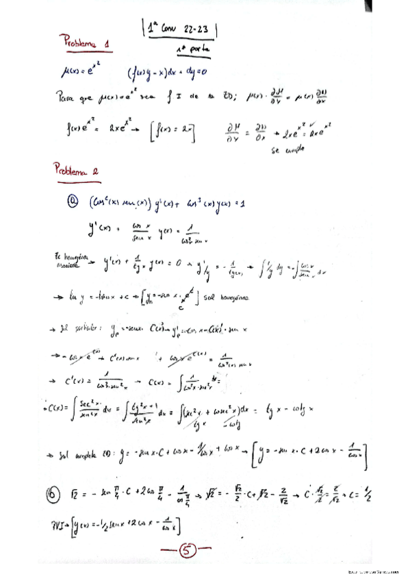
3Conv22-23.pdf
1Conv22-23.pdf
1parte3Conv19-20.pdf

ejercicios

-

BOLETINES MATES III

He publicado nuevos ejercicios de 2º Matemáticas III: BOLETINES MATES III

BOLETIN-1MATESIII.pdf
Boletin2MatesIII.pdf
BOLETIN-4MATESIII.pdf

apuntes

-

Guía de resolución para retrasados

He publicado nuevos apuntes de 2º Matemáticas III: Guía de resolución para retrasados

Guia-resolucion-de-ecuaciones-diferenciales-de-primer-orden.pdf

He publicado nuevos examenes de 2º Matemáticas III: 1 Convocatoria 2024 - 2 Parte.pdf

1 página

He publicado nuevos examenes de 2º Matemáticas III: 1 Convocatoria 2024 - 1 Parte.pdf

1 página

He publicado nuevos ejercicios de 2º Matemáticas III: Ejercicios-zill-Tema-2.pdf

10 páginas

He publicado nuevos ejercicios de 2º Matemáticas III: Ejercicios-zill-Tema-3.pdf

14 páginas

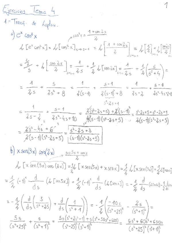
He publicado nuevos ejercicios de 2º Matemáticas III: Ejercicios-zill-Tema-4.pdf

6 páginas

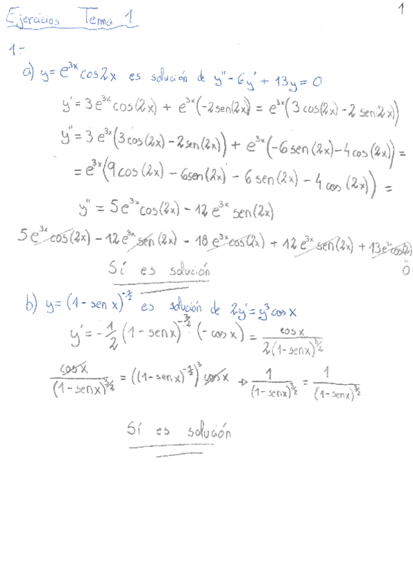
He publicado nuevos ejercicios de 2º Matemáticas III: Ejercicios-zill-Tema-1.pdf

13 páginas

apuntes

-

Apuntes matemáticas III

He publicado nuevos apuntes de 2º Matemáticas III: Apuntes matemáticas III

Apuntes-matematicas-III-2o-parcial.pdf
Apuntes-matematicas-III-1er-parcial.pdf

examenes

-

Exámenes resueltos matemáticas III

He publicado nuevos examenes de 2º Matemáticas III: Exámenes resueltos matemáticas III

Examenes-resueltos-MIII-2o-parcial-parte-1.pdf
Examenes-resueltos-MIII-2o-parcial-parte-2.pdf
Examenes-resueltos-matematicas-III-1er-parcial-parte-1.pdf
Examenes-resueltos-matematicas-III-1er-parcial-parte-2.pdf

He publicado nuevos apuntes de 2º Matemáticas III: Tema-2-mates.pdf

23 páginas

He publicado nuevos apuntes de 2º Matemáticas III: Tema-1.pdf

21 páginas

ejercicios

-

Ejercicios Zill resueltos

Todos los ejercicios sugeridos resueltos

Mates III Tema 1 zill.pdf
Mates III Tema 2 zill.pdf
Mates III Tema 3 zill.pdf
Mates III Tema 4 zill.pdf
Mates III Tema 5 zill.pdf
Mates III Tema 6 zill.pdf

examenes

-

Ejercicios Zill - Tema 1

He publicado nuevos examenes de 2º Matemáticas III: Ejercicios Zill - Tema 1

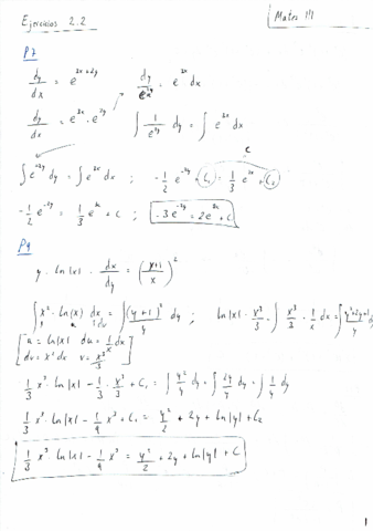
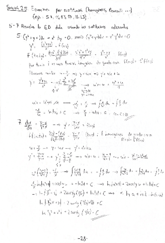
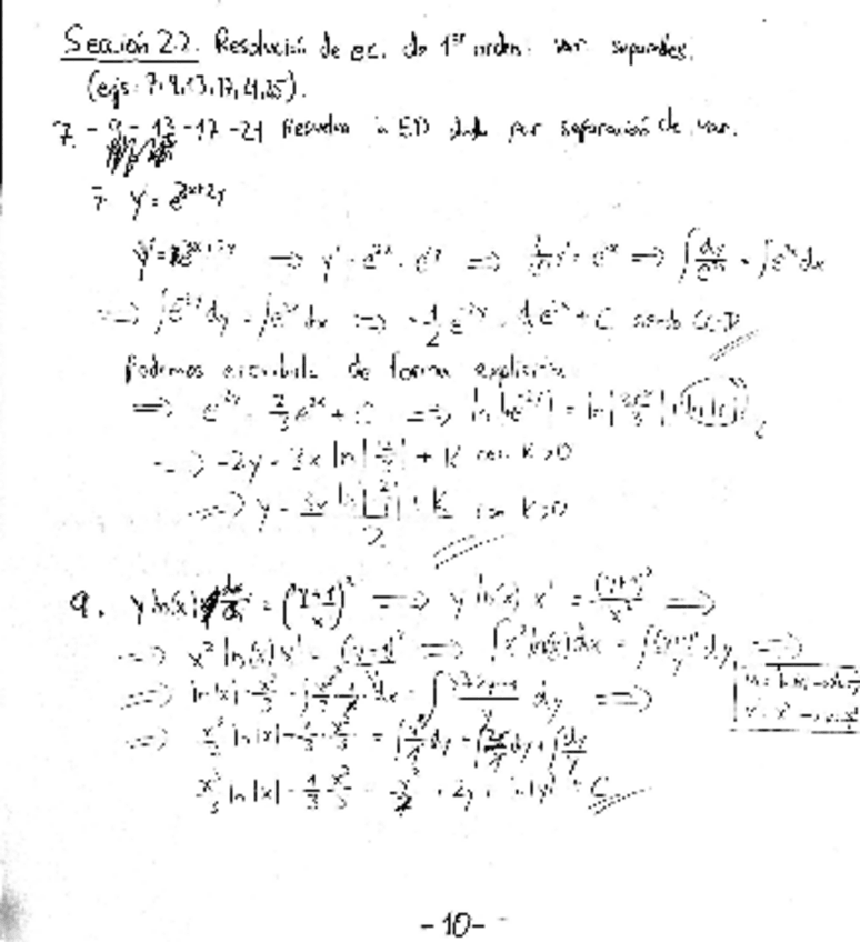
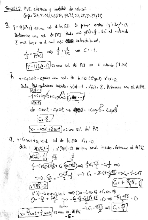
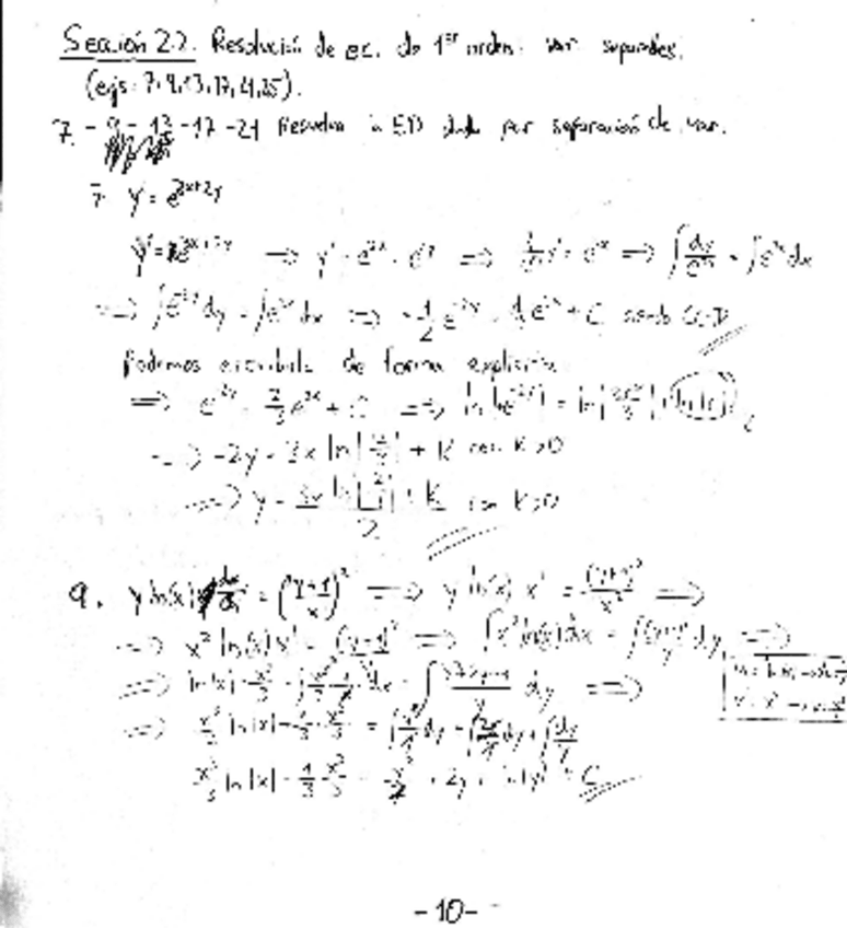
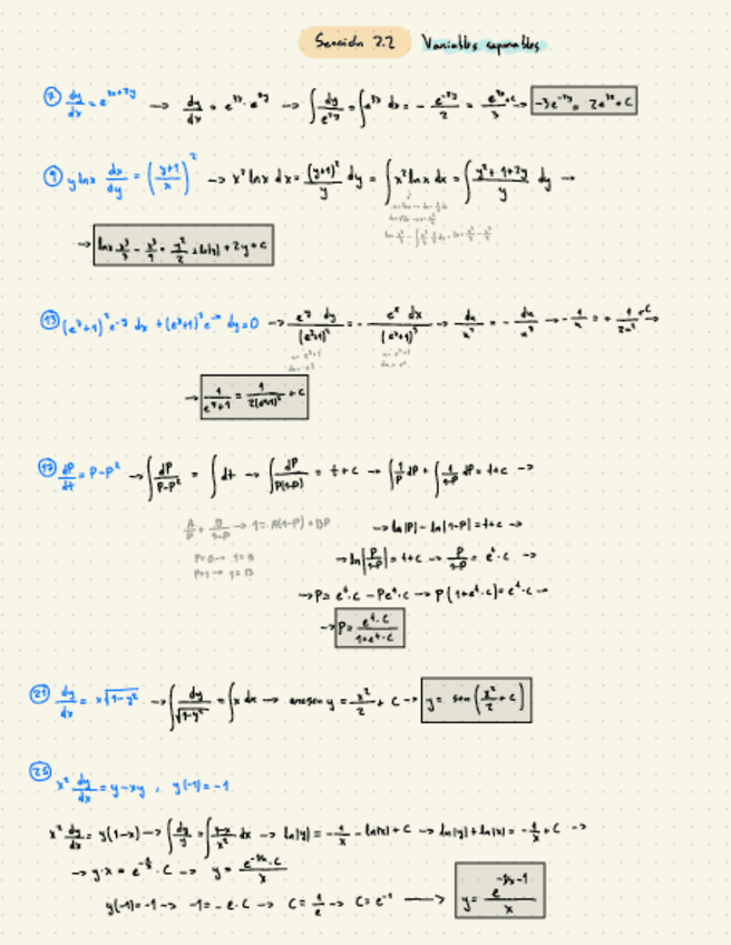
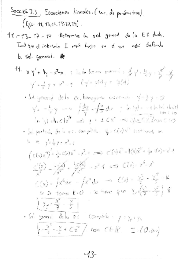
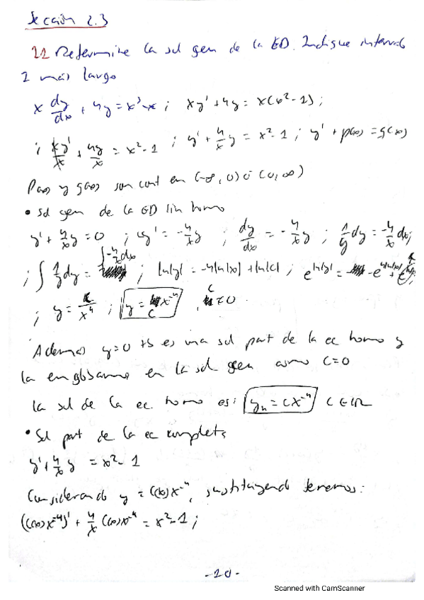
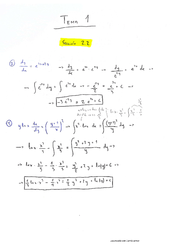
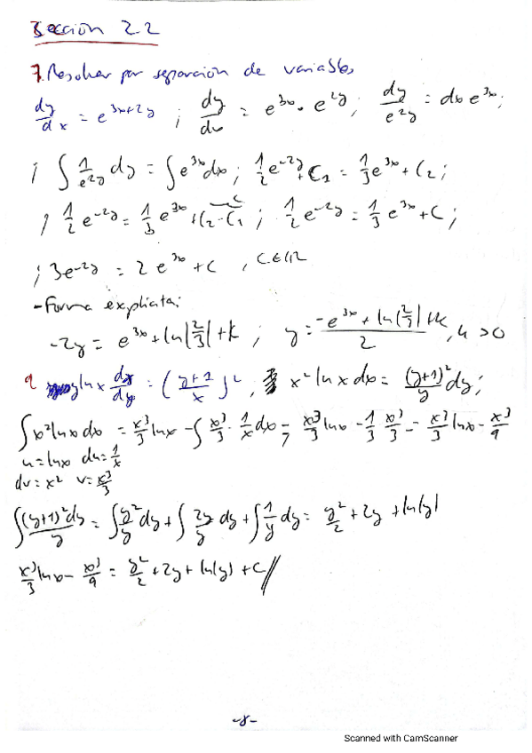
Seccion-2.2.pdf
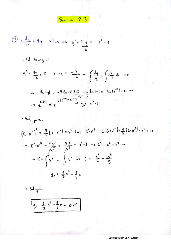
Seccion-2.3.pdf
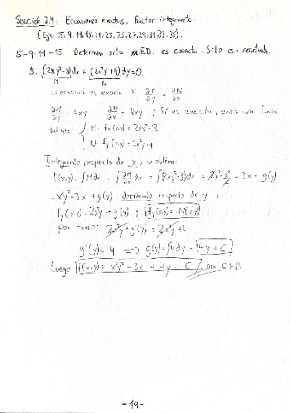
Seccion-2.4.pdf
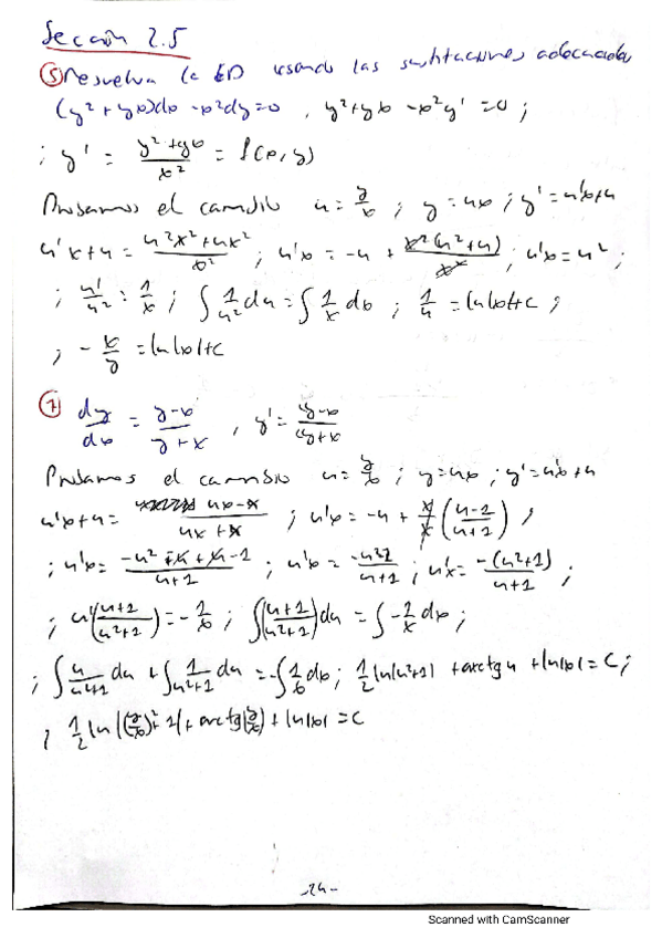
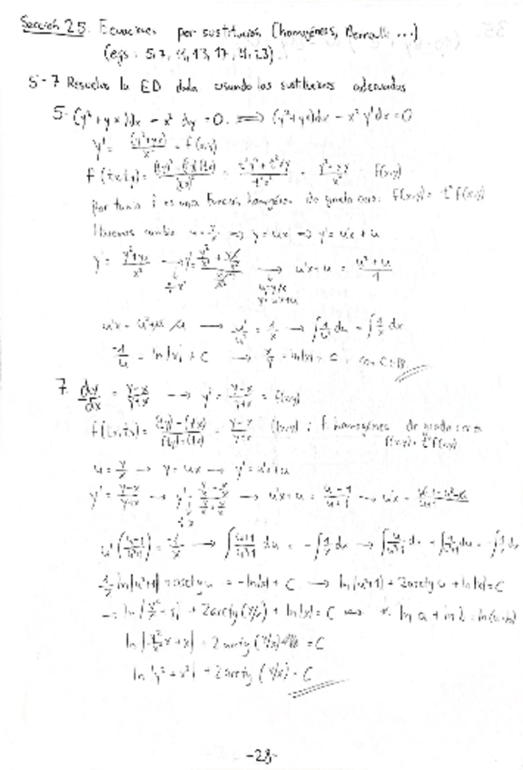
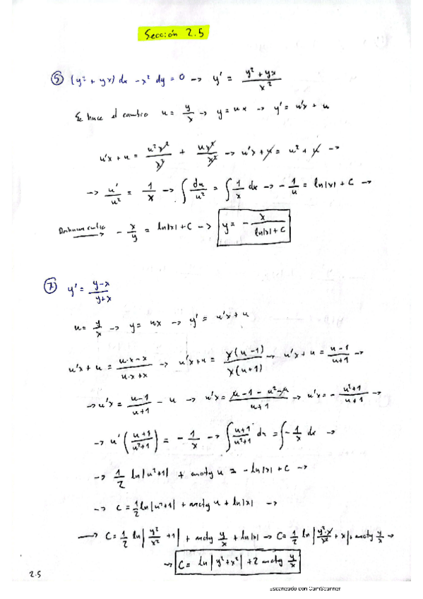
Seccion-2.5.pdf
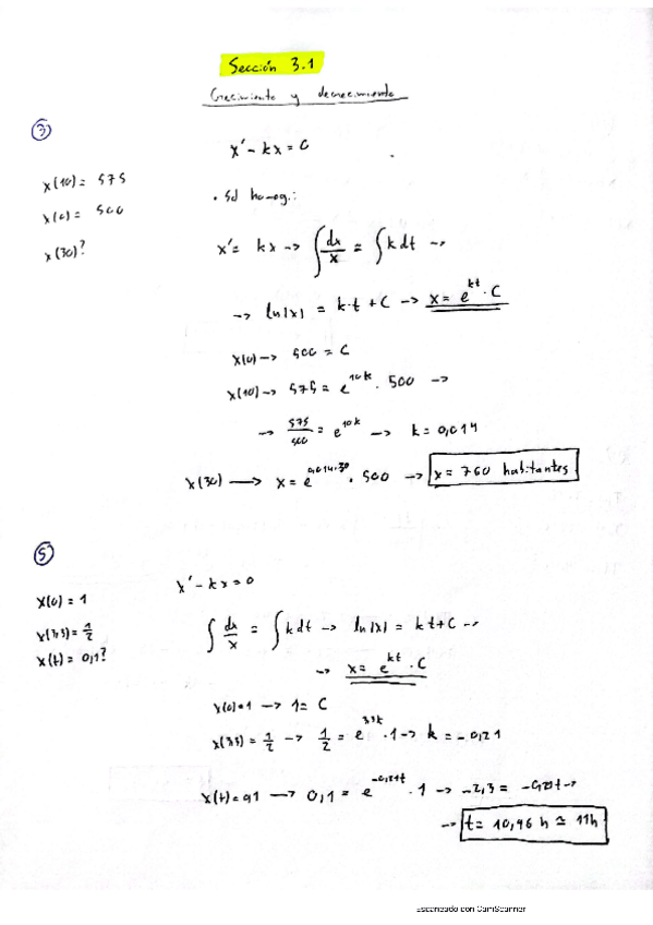
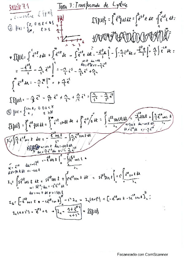
Seccion-3.1.pdf

He publicado nuevos ejercicios de 2º Matemáticas III: Ejercicios-Zill-Resueltos.pdf

119 páginas

He publicado nuevos apuntes de 2º Matemáticas III: Formulario-de-todos-los-temas.pdf

13 páginas

apuntes

-

Apuntes Temas 1 2 3 4 5

He publicado nuevos apuntes de 2º Matemáticas III: Apuntes Temas 1 2 3 4 5

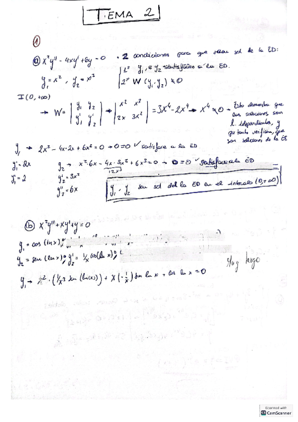
TEMA-2-ECUACIONES-DIFERENCIALES-DE-ORDEN-SUPERIOR221011085318.pdf
TEMA-1-ECUACIONES-DIFERENCIAL-ES-DE-PRIMER-ORDEN221102102228.pdf
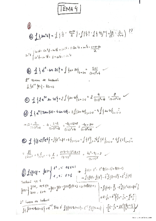
TEMA-4-SISTEMAS-DE-ECUACIONES-DIFERENCIALES221212180551.pdf
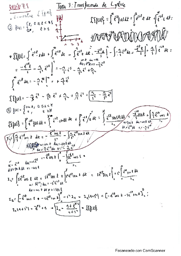
TEMA-3-LA-TRANSFORMADA-DE-LAPLACE221124162746.pdf
TEMA-5-SERIES-DE-POTENCIAS221219124846.pdf

He publicado nuevos apuntes de 2º Matemáticas III: RECETARIO_1PARCIAL.pdf

5 páginas

He publicado nuevos apuntes de 2º Matemáticas III: Esquea-tema-1-y-2.pdf

2 páginas

apuntes

-

Apuntes Matemáticas III

He publicado nuevos apuntes de 2º Matemáticas III: Apuntes Matemáticas III

Tema-3.pdf
Tema-6.pdf
Tema-1.pdf
Tema-4.pdf
Tema-2.pdf
Tema-5.pdf

He publicado nuevos apuntes de 2º Matemáticas III: CamScanner-01-27-2022-13.pdf

pdf

He publicado nuevos apuntes de 2º Matemáticas III: CamScanner-01-27-2022-13.pdf

pdf

He publicado nuevos apuntes de 2º Matemáticas III: parcial-2.pdf

pdf

He publicado nuevos apuntes de 2º Matemáticas III: parcial-1.pdf

pdf

He publicado nuevos ejercicios de 2º Matemáticas III: EjerciciosTema4.pdf

7 páginas

He publicado nuevos apuntes de 2º Matemáticas III: EjerciciosTema5.pdf

6 páginas

He publicado nuevos apuntes de 2º Matemáticas III: tema-3.pdf

12 páginas

He publicado nuevos apuntes de 2º Matemáticas III: tema-2.pdf

17 páginas

He publicado nuevos apuntes de 2º Matemáticas III: tema-2.pdf

17 páginas

He publicado nuevos apuntes de 2º Matemáticas III: tema-1.pdf

17 páginas

ejercicios

-

EJERCICIOS TEMA 2

He publicado nuevos ejercicios de 2º Matemáticas III: EJERCICIOS TEMA 2

TEMA-2-SECCION-4.pdf
TEMA-2-SECCION-4.pdf
TEMA-2-SECCION-4.pdf
TEMA-2-SECCION-4.pdf
TEMA-2-SECCION-4.pdf
Anónimo

@Anónimo

ejercicios

-

Ejercicios resueltos Zill por secciones

He publicado nuevos ejercicios de 2º Matemáticas III: Ejercicios resueltos Zill por secciones

ejercicios-zill-seccion-1.1.pdf
ejercicios-zill-seccion-1.2.pdf
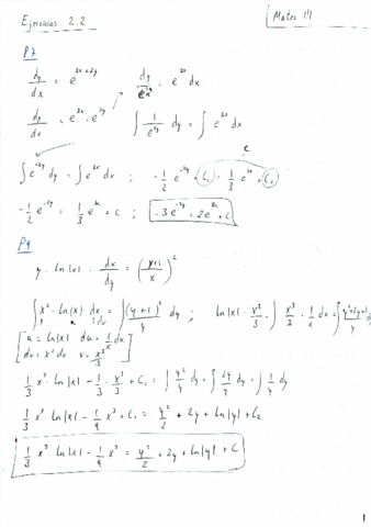
ejercicios-zill-seccion-2.2.pdf
ejercicios-zill-seccion-2.3.pdf
ejercicios-zill-seccion-2.4.pdf
ejercicio-zill-seccion-2.5.pdf

ejercicios

-

EJERCICIOS TEMA 1

He publicado nuevos ejercicios de 2º Matemáticas III: EJERCICIOS TEMA 1

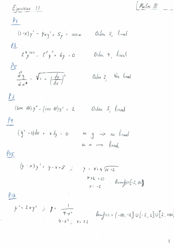
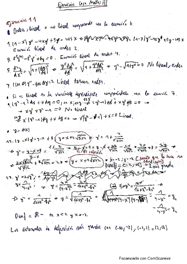
TEMA-1-SECCION-1.pdf
TEMA-1-SECCION-2.pdf
TEMA-1-SECCION-2.pdf
TEMA-1-SECCION-1.pdf
TEMA-1-SECCION-2.pdf
TEMA-1-SECCION-2.pdf
Anónimo

@Anónimo

He publicado nuevos ejercicios de 2º Matemáticas III: Boletines-resueltos-matematicas-III.pdf

52 páginas
Anónimo

@Anónimo

apuntes

-

RESUMENES TODOS LOS TEMAS

He publicado nuevos apuntes de 2º Matemáticas III: RESUMENES TODOS LOS TEMAS

Tema-4.pdf
Tema-3.pdf
Tema-2.pdf
Tema-5.pdf
Tema-1.pdf

He publicado nuevos apuntes de 2º Matemáticas III: Libro-Derivadas-Parciales-y-Series.pdf

2 páginas

He publicado nuevos apuntes de 2º Matemáticas III: Resumen-tema-4.pdf

5 páginas

He publicado nuevos apuntes de 2º Matemáticas III: TRIGONOMETRIA.pdf

4 páginas

He publicado nuevos apuntes de 2º Matemáticas III: Libro-Derivadas-Parciales-y-Series.pdf

2 páginas

apuntes

-

Clases mates III

He publicado nuevos apuntes de 2º Matemáticas III: Clases mates III

Clase-mates-III-07-10-20.pdf
Clase-mates-III-08-10-20.pdf
Clase-mates-III-09-10-20.pdf
Clase-mates-III-14-10-20.pdf
Clase-mates-III-16-10-20.pdf
Clase-mates-III-21-10-20.pdf

He publicado nuevos apuntes de 2º Matemáticas III: Resumen-tema-2.pdf

5 páginas

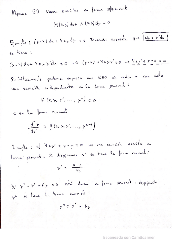
He publicado nuevos apuntes de 2º Matemáticas III: TEMA-1-Edo-1er-orden.pdf

3 páginas

He publicado nuevos ejercicios de 2º Matemáticas III: BOLETIN-Tema-1-resuelto.pdf

20 páginas

apuntes

-

Ejercicios Mates III

He publicado nuevos apuntes de 2º Matemáticas III: Ejercicios Mates III

Ejercicios-S1-1.pdf
Ejercicios-S1-2.pdf
Ejercicios-S2-2.pdf
Ejercicios-S2-3.pdf
Ejercicios-S2-4.pdf

Tema 1 COMPLETO: Teoría, ejemplos y ejercicios resueltos. Todo listo para aprobar!!

41 páginas

apuntes

-

Electronica Clase Matematicas III

He publicado nuevos apuntes de 2º Matemáticas III: Electronica Clase Matematicas III

Tema-1-05-10-20
Tema-1-08-10-20
Tema-1-09-10-20
Tema-1-15-10-20
Tema-1-16-10-20.pdf
Tema-1-19-10-20.pdf

He publicado nuevos apuntes de 2º Matemáticas III: Resumen-tema-1.pdf

2 páginas

He publicado nuevos apuntes de 2º Matemáticas III: Apuntes-tema-1.pdf

19 páginas

apuntes

-

Ejercicios Resueltos Mate por Secciones

He publicado nuevos apuntes de 2º Matemáticas III: Ejercicios Resueltos Mate por Secciones

Ejercicios-Mate-Seccion-1-1.pdf

apuntes

-

MEJORES APUNTES CON EJERCICIOS POR TEMAS

He publicado nuevos apuntes de 2º Matemáticas III: MEJORES APUNTES CON EJERCICIOS POR TEMAS

Tema-6.pdf
Tema-4.pdf
Tema-1.pdf
Tema-3.pdf
Tema-2.pdf
Tema-5.pdf

He publicado nuevos apuntes de 2º Matemáticas III: Resumen-series.pdf

6 páginas