chevron_left
chevron_right
Todo
Apuntes
Ejercicios
Exámenes
Otros
Prácticas
publication
chevron_left
chevron_right

Examen resuelto de mates III de enero de 2024.

2 páginas

Resumen de los temas 5,6 y 7 de sistemas dinámicos de matemáticas III

3 páginas
Anónimo

@Anónimo

He publicado nuevos apuntes de 2º Matemáticas III: TEMARIO-COMPLETO-MATES-III.pdf

48 páginas

He publicado nuevos practicas de 2º Matemáticas III: Practica-3.pdf

3 páginas

He publicado nuevos ejercicios de 2º Matemáticas III: Ejercicios.pdf

2 páginas

He publicado nuevos ejercicios de 2º Matemáticas III: Practica-T-5.pdf

2 páginas

He publicado nuevos examenes de 2º Matemáticas III: Examen-final-SISTEMA-2024.pdf

5 páginas

He publicado nuevos practicas de 2º Matemáticas III: Practica-6.pdf

1 página

He publicado nuevos practicas de 2º Matemáticas III: Practica-5.pdf

1 página

He publicado nuevos ejercicios de 2º Matemáticas III: Ejercicios-resueltos-Optimizacion-con-restricciones.pdf

11 páginas

He publicado nuevos practicas de 2º Matemáticas III: Practica-4.pdf

1 página

He publicado nuevos practicas de 2º Matemáticas III: Practica-3.pdf

4 páginas

He publicado nuevos practicas de 2º Matemáticas III: Practica-2.pdf

1 página

He publicado nuevos practicas de 2º Matemáticas III: Practica-1.pdf

1 página

apuntes

-

Resumen mates III

He publicado nuevos apuntes de 2º Matemáticas III: Resumen mates III

resumen-S-D.pdf
resumen-optimizacion.pdf

He publicado nuevos apuntes de 2º Matemáticas III: Unit-1.-Basics-Maths-3.pdf

10 páginas

He publicado nuevos apuntes de 2º Matemáticas III: Unit-2-Maths-3.pdf

14 páginas

He publicado nuevos apuntes de 2º Matemáticas III: Unit-3-Maths-3.pdf

5 páginas

examenes

-

FINALES 2024 CON SOLUCION

He publicado nuevos examenes de 2º Matemáticas III: FINALES 2024 CON SOLUCION

Final-Enero-2024-SISTEMAS-DINAMICOS.pdf
Final-Enero-2024-OPTIMIZACION.pdf

He publicado nuevos examenes de 2º Matemáticas III: Examen-final-SD-enero-2024.jpg

Imagen
Anónimo

@Anónimo

He publicado nuevos apuntes de 2º Matemáticas III: Mates-III-SIST-DINAMICOS-T6.pdf

11 páginas
Anónimo

@Anónimo

He publicado nuevos apuntes de 2º Matemáticas III: Mates-III-SIST-DINAMICOS-T4.pdf

12 páginas
Anónimo

@Anónimo

He publicado nuevos apuntes de 2º Matemáticas III: Mates-III-SIST-DINAMICOS-T5.pdf

8 páginas
Anónimo

@Anónimo

He publicado nuevos examenes de 2º Matemáticas III: sol-ex5-22-23.pdf

2 páginas
Anónimo

@Anónimo

He publicado nuevos examenes de 2º Matemáticas III: sol-ex6-22-23.pdf

3 páginas
Anónimo

@Anónimo

He publicado nuevos examenes de 2º Matemáticas III: sol-ex2-22-23.pdf

2 páginas
Anónimo

@Anónimo

He publicado nuevos examenes de 2º Matemáticas III: sol-ex1-20-21.pdf

2 páginas
Anónimo

@Anónimo

He publicado nuevos examenes de 2º Matemáticas III: sol-ex3-22-23.pdf

2 páginas
Anónimo

@Anónimo

He publicado nuevos examenes de 2º Matemáticas III: sol-ex5-23-24.pdf

2 páginas
Anónimo

@Anónimo

He publicado nuevos examenes de 2º Matemáticas III: sol-ex3-23-24.pdf

2 páginas
Anónimo

@Anónimo

He publicado nuevos examenes de 2º Matemáticas III: sol-ex2-23-24.pdf

2 páginas
Anónimo

@Anónimo

He publicado nuevos examenes de 2º Matemáticas III: ex-inter-opt-23-24-SOL.pdf

4 páginas
Anónimo

@Anónimo

He publicado nuevos examenes de 2º Matemáticas III: sol-ex1-23-24.pdf

2 páginas
Anónimo

@Anónimo

He publicado nuevos examenes de 2º Matemáticas III: sol-ex6-23-24.pdf

2 páginas

He publicado nuevos apuntes de 2º Matemáticas III: unit-6.pdf

5 páginas

He publicado nuevos apuntes de 2º Matemáticas III: unit-5.pdf

3 páginas

He publicado nuevos apuntes de 2º Matemáticas III: unit-4.pdf

5 páginas

He publicado nuevos apuntes de 2º Matemáticas III: unit-3.pdf

8 páginas

He publicado nuevos apuntes de 2º Matemáticas III: unit-2.pdf

6 páginas

He publicado nuevos apuntes de 2º Matemáticas III: unit-1.pdf

10 páginas

ejercicios

-

Ejercicios resueltos SISTEMAS DINAMICOS

He publicado nuevos ejercicios de 2º Matemáticas III: Ejercicios resueltos SISTEMAS DINAMICOS

Ejercicios-resueltos-tema-6.pdf

examenes

-

EXAMENES FINAL SISTEMAS DINAMICOS 2023

He publicado nuevos examenes de 2º Matemáticas III: EXAMENES FINAL SISTEMAS DINAMICOS 2023

Final-Enero-2022.pdf
Final-Enero-2023.pdf
Final-Junio-2023.pdf

He publicado nuevos examenes de 2º Matemáticas III: Examen-intermedio-23-24-CON-SOLUCION.pdf

4 páginas

ejercicios

-

Ejercicios resueltos OPTIMIZACION

Mercedes Vázquez

Ejercicios-resueltos-tema-2.pdf
Ejercicios-resueltos-tema-3.pdf

examenes

-

EXAMENES FINALES OPTIMIZACION 2023

He publicado nuevos examenes de 2º Matemáticas III: EXAMENES FINALES OPTIMIZACION 2023

Final-Enero-2023.pdf
Final-Junio-2023.pdf

apuntes

-

SISTEMAS

He publicado nuevos apuntes de 2º Matemáticas III: SISTEMAS

SISTEMAS-T1.pdf
SISTEMAS-T2.pdf
SISTEMAS-T3.pdf

Tienen la teoría y ejercicios explicativos.

2 páginas

Tienen la teoría y ejercicios explicativos.

1 página

Tienen la teoría y ejercicios explicativos.

6 páginas

Tienen la teoría y ejercicios explicativos.

21 páginas

Tienen la teoría y ejercicios explicativos.

10 páginas

examenes

-

final exams

He publicado nuevos examenes de 2º Matemáticas III: final exams

2018-01MATH3FINALSOLUTION.pdf
2018-06MATH3FINALSOLUTION.pdf
2019-01MATH3FINALSOLUTION.pdf
2019-06MATH3FINALSOLUTION.pdf

apuntes

-

OPTIMIZACIÓN

He publicado nuevos apuntes de 2º Matemáticas III: OPTIMIZACIÓN

MATES-III-TEMA-3.pdf
MATES-III-TEMA-2.pdf
MATES-III-TEMA-1.pdf

He publicado nuevos apuntes de 2º Matemáticas III: APUNTES-MATES-III-TEMA-1.pdf

2 páginas

sin resolver

5 páginas

He publicado nuevos examenes de 2º Matemáticas III: sol-ex1-20-21.pdf

2 páginas

He publicado nuevos otros de 2º Matemáticas III: GUIA-DOCENTE-INGLES-MATHEMATICS-III.pdf

4 páginas

He publicado nuevos otros de 2º Matemáticas III: GUIA-DOCENTE-MATEMATICAS-III.pdf

5 páginas

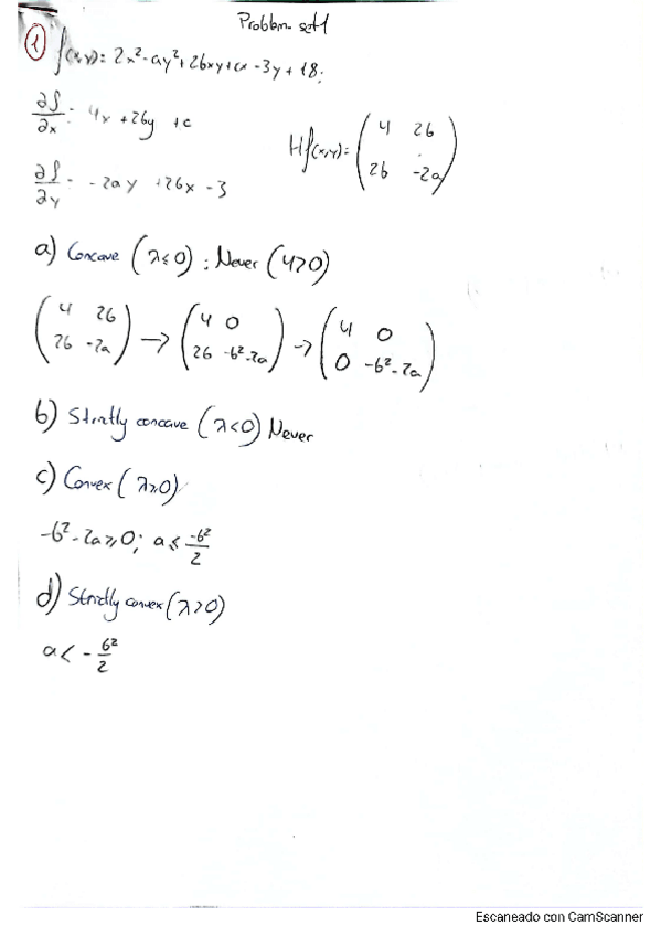
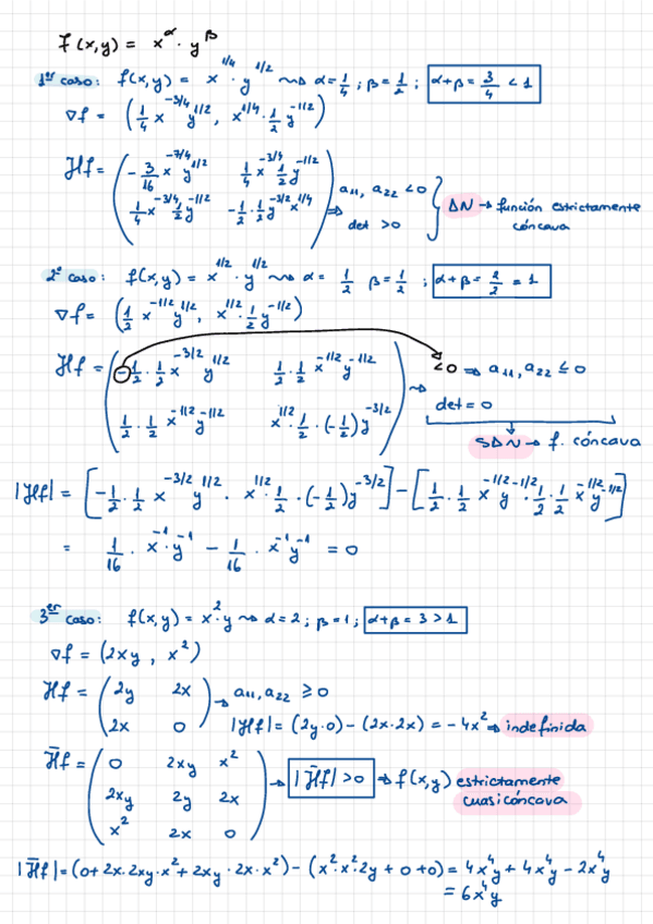
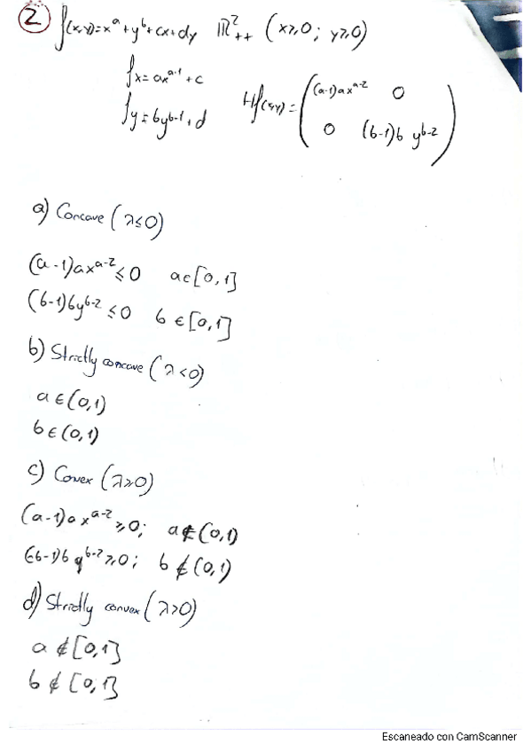
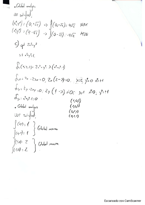
He publicado nuevos ejercicios de 2º Matemáticas III: PROBLEM-SET-1-MATES-III.pdf

18 páginas

He publicado nuevos ejercicios de 2º Matemáticas III: PROBLEM-SET-2-MATES-III.pdf

13 páginas