Matemáticas III
He publicado nuevos ejercicios de 1º Matemáticas III: RELACION-TEMA-6.pdf
He publicado nuevos ejercicios de 1º Matemáticas III: RELACION-TEMA-5.pdf
He publicado nuevos ejercicios de 1º Matemáticas III: RELACION-TEMA-4.pdf
Tema 1 de mates 3, incluye definiciones y conceptos básicos destacados en clase, omitiendo todo aquello que el profesor no tuvo en cuenta.
He publicado nuevos apuntes de 1º Matemáticas III: PRUEBAS-DE-CLASE-RESUELTAS.pdf
He publicado nuevos examenes de 1º Matemáticas III: parcial-20242025.pdf
He publicado nuevos apuntes de 1º Matemáticas III: relacion-6-resuelta.pdf
examenes
-
Pruebas 24/25
He publicado nuevos examenes de 1º Matemáticas III: Pruebas 24/25
He publicado nuevos apuntes de 1º Matemáticas III: apuntes-segundo-parcial.pdf
He publicado nuevos examenes de 1º Matemáticas III: Primer-parcial-2425.pdf
He publicado nuevos ejercicios de 1º Matemáticas III: Relacion-De-Ejercicios-Tema-3.pdf
He publicado nuevos ejercicios de 1º Matemáticas III: Relacion-de-ejercicios-y-teoria-tema-1-y-2.pdf
apuntes
-
Ejercicios_Resueltos
He publicado nuevos apuntes de 1º Matemáticas III: Ejercicios_Resueltos
He publicado nuevos examenes de 1º Matemáticas III: Examen-ordinario-2024.pdf
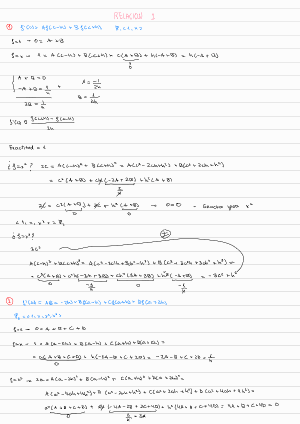
He publicado nuevos apuntes de 1º Matemáticas III: Relacion-Resuelta-Tema-6.pdf
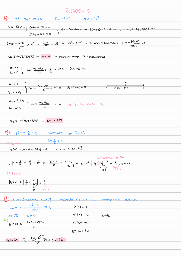
He publicado nuevos apuntes de 1º Matemáticas III: Relacion-Resuelta-Tema-3.pdf
apuntes
-
TEORÍA
He publicado nuevos apuntes de 1º Matemáticas III: TEORÍA
He publicado nuevos examenes de 1º Matemáticas III: Segundo-parcial-2024.pdf
ejercicios
-
Ejercicios-Mates III (Curso 23/24) (Hasta Tema 6)
He publicado nuevos ejercicios de 1º Matemáticas III: Ejercicios-Mates III (Curso 23/24) (Hasta Tema 6)
apuntes
-
Tema 3
He publicado nuevos apuntes de 1º Matemáticas III: Tema 3
apuntes
-
Apuntes y Formulario-Mates III (Curso 23/24) (Hasta tema 3)
He publicado nuevos apuntes de 1º Matemáticas III: Apuntes y Formulario-Mates III (Curso 23/24) (Hasta tema 3)
He publicado nuevos ejercicios de 1º Matemáticas III: Relacion-De-Ejercicios-Tema-2.pdf
He publicado nuevos apuntes de 1º Matemáticas III: RELACION-DE-EJERCICIOS-TEMA-1.pdf
examenes
-
Pruebas resueltas 2023
He publicado nuevos examenes de 1º Matemáticas III: Pruebas resueltas 2023
INTENSIVO CURSO DE MATEMÁTICAS III
ACADEMIA UNIVERSITARIA INTENSIVO MATEMÁTICAS III GRADO EN INGENIERÍA ELECTRÓNICA Resolución paso a paso de todos tus ejercicios y exámenes de años anteriores. TODAS TUS CLASES GRABADAS Y EN PDF PARA VISUALIZARLAS HASTA EL DÍA DEL EXAMEN. Clases online y presenciales. Horario de mañana y tarde.

apuntes
-
Apuntes
He publicado nuevos apuntes de 1º Matemáticas III: Apuntes
ejercicios
-
Relaciones de ejercicios
He publicado nuevos ejercicios de 1º Matemáticas III: Relaciones de ejercicios
apuntes
-
Apuntes y ejercicios-Mates III (actualizado hasta Tema III) (Curso 22/23)
He publicado nuevos apuntes de 1º Matemáticas III: Apuntes y ejercicios-Mates III (actualizado hasta Tema III) (Curso 22/23)
examenes
-
Exámenes 2020
He publicado nuevos examenes de 1º Matemáticas III: Exámenes 2020
apuntes
-
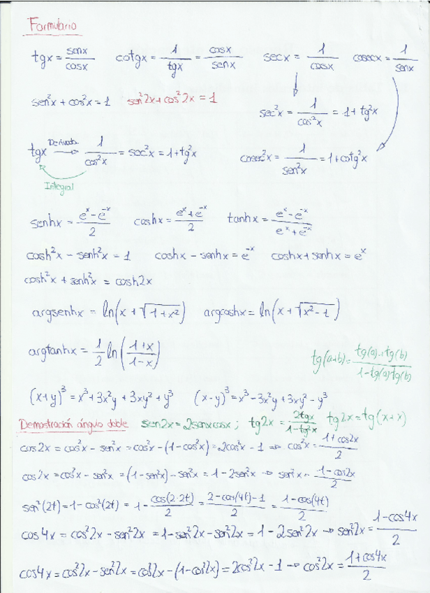
FORMULARIOS TODOS LOS TEMAS
He publicado nuevos apuntes de 1º Matemáticas III: FORMULARIOS TODOS LOS TEMAS
apuntes
-
Relaciones resueltas por el profesor
He publicado nuevos apuntes de 1º Matemáticas III: Relaciones resueltas por el profesor
examenes
-
Pruebas y parcial
He publicado nuevos examenes de 1º Matemáticas III: Pruebas y parcial
ejercicios
-
Relación de ejercios
He publicado nuevos ejercicios de 1º Matemáticas III: Relación de ejercios
apuntes
-
Teoría
He publicado nuevos apuntes de 1º Matemáticas III: Teoría
examenes
-
Exámenes
He publicado nuevos examenes de 1º Matemáticas III: Exámenes
He publicado nuevos apuntes de 1º Matemáticas III: Resumen-Teoria-Segunda-Parte.pdf
apuntes
-
APUNTES Y EJERCICIOS
He publicado nuevos apuntes de 1º Matemáticas III: APUNTES Y EJERCICIOS
apuntes
-
Tema 4,5,6 y transformadas
Llevan ejercicios resueltos, así como el tema de la academia
¡Estás al día!
Has visto todos los archivos