Todo
Apuntes
Ejercicios
Exámenes
Otros
Prácticas
chevron_left
chevron_right

apuntes

-

EXAMENES 2o PARCIAL

He publicado nuevos apuntes de 2º Matemáticas III: EXAMENES 2o PARCIAL

20-21-Final.pdf
21-22-Final.pdf
21-22-Parcial.pdf
22-23-Final.pdf
22-23-Parcial.pdf
23-24-Parcial.pdf

apuntes

-

Examenes segundo parcial años anteriores

He publicado nuevos apuntes de 2º Matemáticas III: Examenes segundo parcial años anteriores

MIII-GITI-Parcial2-07-01-2020-Soluciones.pdf
MIII-GITI-Parcial2-20-12-2016-Soluciones.pdf
MIII-GITI-Parcial2-20-12-2018-Soluciones.pdf
MIII-GITI-Parcial-2-2023-2024-Soluciones.pdf

He publicado nuevos examenes de 2º Matemáticas III: MIII-GITI-Parcial-1-2024-Soluciones.pdf

10 páginas

He publicado nuevos examenes de 2º Matemáticas III: MIII-GITIFinal-Parcial1-24.01.2025SolucioProb.5-combinado.pdf

8 páginas

Todos los temas que entran al primer parcial explicados y con ejemplos

17 páginas

examenes

-

Examenes Primer Parcial Años Anteriores

He publicado nuevos examenes de 2º Matemáticas III: Examenes Primer Parcial Años Anteriores

MIII-GITI-Final-Parcial1-18-01-2017-Soluciones.pdf
MIII-GITI-Parcial1-20-10-2016-Soluciones.pdf
MIII-GITI-Parcial1-23-10-2017-Soluciones.pdf
MIII-GITI-Parcial1-25-10-2019-Soluciones.pdf

He publicado nuevos apuntes de 2º Matemáticas III: resumen-formulas-p2-academia.pdf

4 páginas

He publicado nuevos apuntes de 2º Matemáticas III: resumen-formulas-p1-academia.pdf

4 páginas

He publicado nuevos apuntes de 2º Matemáticas III: Matematicas-III-Segundo-parcial.pdf

129 páginas

He publicado nuevos apuntes de 2º Matemáticas III: Apuntes-mates-3.pdf

65 páginas

ejercicios

-

EJERCICIOS EXPLICADOS 2P

He publicado nuevos ejercicios de 2º Matemáticas III: EJERCICIOS EXPLICADOS 2P

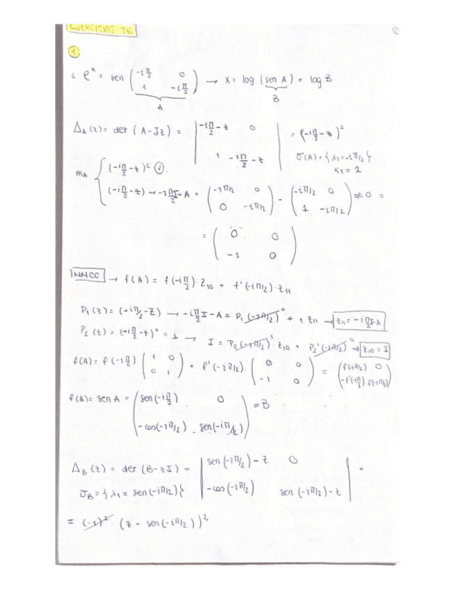
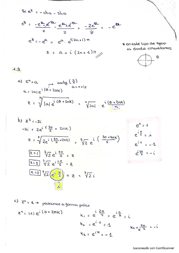
EJERCICIOS-T6.pdf
EJERCICIOS-T5.pdf
PROBLEMAS-PASO-A-PASO.pdf
EJERCICIOS-T10-parte2.pdf
EJERCICIOS-T10-parte1-poliformat.pdf
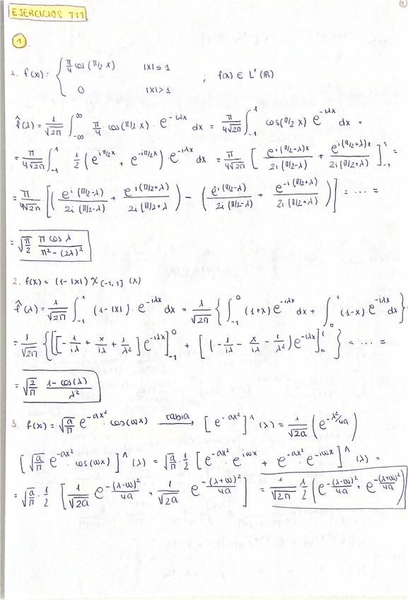
EJERCICIOS-T11.pdf

He publicado nuevos apuntes de 2º Matemáticas III: Tema-9-Clases-grupo-V.pdf

13 páginas

He publicado nuevos apuntes de 2º Matemáticas III: Tema-10-Clases-grupo-V.pdf

7 páginas

He publicado nuevos apuntes de 2º Matemáticas III: Tema-5-Clases-grupo-V.pdf

7 páginas

He publicado nuevos apuntes de 2º Matemáticas III: Tema-6-Clases-grupo-V.pdf

8 páginas

Primer parcial

1 página

Primer parcial

2 páginas

Primer parcial

3 páginas

Primer parcial

3 páginas

He publicado nuevos apuntes de 2º Matemáticas III: Primer-parcial-segunda-parte.pdf

46 páginas

He publicado nuevos apuntes de 2º Matemáticas III: Primer-parcial-primera-parte.pdf

45 páginas

He publicado nuevos apuntes de 2º Matemáticas III: APUNTES-Y-PROBLEMAS-CLASE-UNIDAD-10.pdf

1 página

He publicado nuevos apuntes de 2º Matemáticas III: APUNTES-Y-PROBLEMAS-CLASE-UNIDAD-9.pdf

8 páginas

apuntes

-

Ejercicios clase paso a paso

He publicado nuevos apuntes de 2º Matemáticas III: Ejercicios clase paso a paso

Tema-10-series-de-Fourier.pdf
Tema-10-metodo-separacion-de-variables.pdf
Tema-6-sol-coeficientes-constantes.pdf
Tema-4-series-de-ecuaciones-diferenciales.pdf
Tema-2-ecuaciones-diferenciales-lineales.pdf
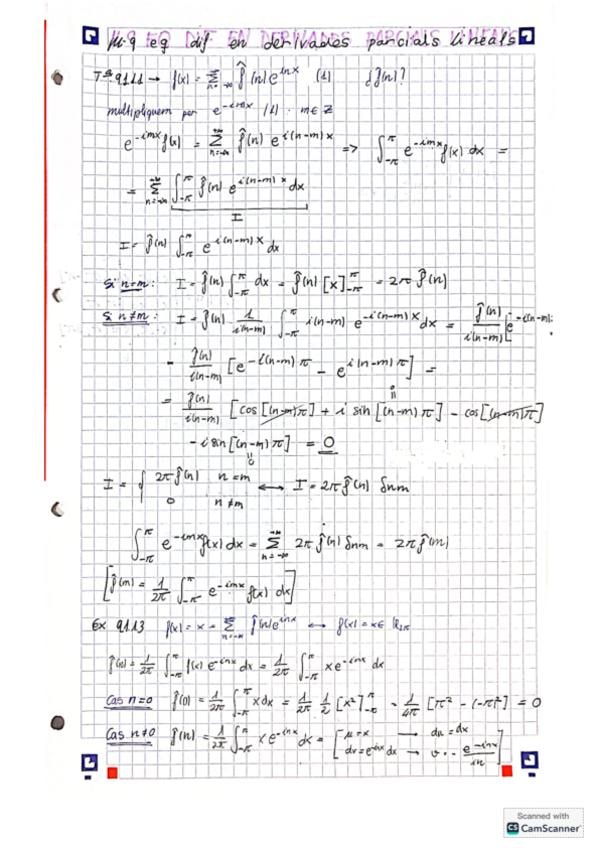
Tema-11-transformada-de-Fourier.pdf

He publicado nuevos apuntes de 2º Matemáticas III: Series-de-Fourier.pdf

9 páginas

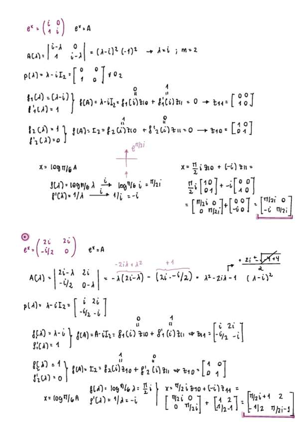
He publicado nuevos apuntes de 2º Matemáticas III: Funciones-de-Matrices.pdf

11 páginas

He publicado nuevos apuntes de 2º Matemáticas III: academia-mates-primer-parcial.pdf

25 páginas

He publicado nuevos apuntes de 2º Matemáticas III: academia-mates-2o-parcial.pdf

19 páginas

He publicado nuevos apuntes de 2º Matemáticas III: Ejercicios-por-temas-resueltos-facil.pdf

16 páginas

He publicado nuevos apuntes de 2º Matemáticas III: Academia-segundo-paracial-ejercicios-y-explicaciones.pdf

16 páginas

apuntes

-

Apuntes Parcial 2 COMPLETOS para contenidos modificados

Academia

Funciones-De-Matrices-Series-De-Fourier-EDPs-Separables.pdf
Transformada-De-Fourier.pdf

Apuntes Tema 11: Transformada de Fourier. Matemáticas III. SEGUNDO PARCIAL - Examen 2

10 páginas

Apuntes Tema 9: ecuaciones diferenciales en derivadas parciales. Matemáticas III. SEGUNDO PARCIAL - Examen 2

3 páginas

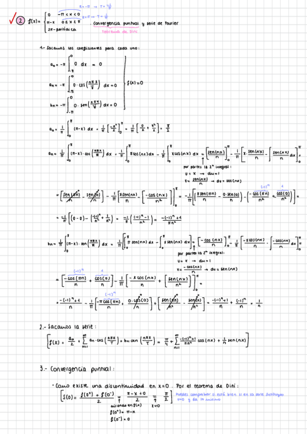
Apuntes Tema 10: Series de Fourier. Matemáticas III

8 páginas
Anónimo

@Anónimo

examenes

-

examenes 1P y 2P 2020-2023

He publicado nuevos examenes de 2º Matemáticas III: examenes 1P y 2P 2020-2023

2020-21Parcial-1.pdf
2020-21Parcial-1FINAL.pdf
2020-21Parcial-2.pdf
2020-21Parcial-2FINAL.pdf
2021-22Parcial-1.pdf
2021-22Parcial-1FINAL.pdf

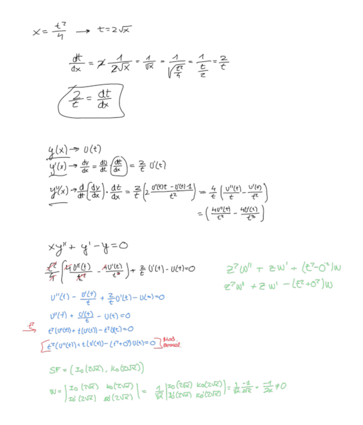
He publicado nuevos apuntes de 2º Matemáticas III: MAT-III-APUNTES-Y-PROBLEMAS-CLASE-UNIDAD-6.pdf

6 páginas

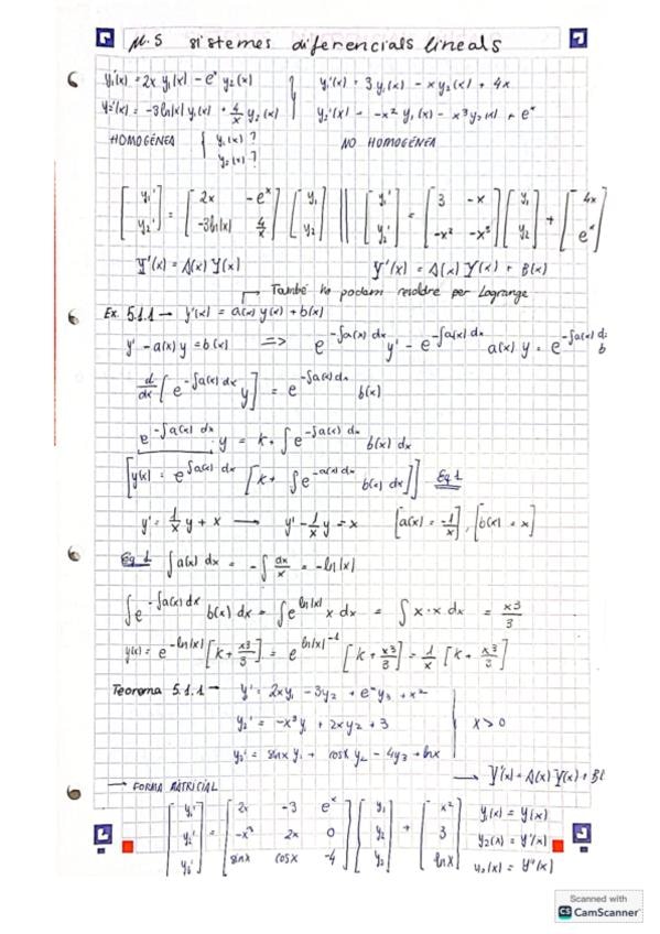
He publicado nuevos apuntes de 2º Matemáticas III: MAT-III-APUNTES-Y-PROBLEMAS-CLASE-UNIDAD-5.pdf

4 páginas

Apuntes clase de teoría Tema 5: Sistemas Diferenciales Lineales. Matemáticas III

7 páginas

ejercicios

-

EJERCICIOS EXPLICADOS 1P

He publicado nuevos ejercicios de 2º Matemáticas III: EJERCICIOS EXPLICADOS 1P

EJERCICIOS-T1.pdf
EJERCICIOS-T2-parte1.pdf
EJERCICIOS-T2-parte2.pdf
EJERCICIOS-T3.pdf
EJERCICIOS-T4.pdf
PROBLEMAS-PASO-A-PASO.pdf

He publicado nuevos apuntes de 2º Matemáticas III: TEORIA-T12-y-3.pdf

9 páginas

He publicado nuevos apuntes de 2º Matemáticas III: MAT-III-APUNTES-DE-CLASE-UNIDAD-3.pdf

4 páginas

He publicado nuevos apuntes de 2º Matemáticas III: MAT-III-APUNTES-DE-CLASE-UNIDAD-2.pdf

16 páginas

apuntes

-

Apuntes Academia Parte 1 del Primer Parcial

Incluye: Homogenea y particular, Wronskiano y Lagrange, Laplace, Fórmula de Residuos, Convolución de 2 Funciones, SFS, Plano Rasgado, Fórmulas Trigonométricas, Ecuaciones Diferenciales Separables

Apuntes-Academia-Parte-1 de 2-del-Primer-Parcial.pdf
Apuntes-Academia-Parte-2-de-2-del-Primer-Parcial.pdf

Apuntes de clase Tema 2: Ecuaciones Diferenciales Lineales. Matemáticas III. PRIMER PARCIAL - Examen 1

15 páginas

Apuntes de clase Tema 4: Soluciones en forma de serie. Matemáticas III

4 páginas

Apuntes de clase Tema 3: Transformada de Laplace. Matemáticas III. PRIMER PARCIAL - Examen 1

7 páginas
Anónimo

@Anónimo

He publicado nuevos examenes de 2º Matemáticas III: recopilacion-control-1-mates-3.pdf

23 páginas

He publicado nuevos apuntes de 2º Matemáticas III: APUNTES-Y-PROBLEMAS-CLASE-UNIDAD-1.pdf

10 páginas

Apuntes de clase Tema 1: Funciones de Variable Compleja. Matemáticas III. PRIMER PARCIAL - Examen 1

20 páginas

He publicado nuevos apuntes de 2º Matemáticas III: Apuntes-2-Parcial.pdf

40 páginas

He publicado nuevos apuntes de 2º Matemáticas III: Apuntes-1-Parcial.pdf

53 páginas

He publicado nuevos apuntes de 2º Matemáticas III: Ejercicios-explicados-primer-parcial.pdf

58 páginas

He publicado nuevos apuntes de 2º Matemáticas III: Ejercicios-explicados-y-resumen-T.6.pdf

32 páginas

He publicado nuevos apuntes de 2º Matemáticas III: Ejercicios-explicados-y-resumen-T.5.pdf

17 páginas

He publicado nuevos apuntes de 2º Matemáticas III: Ejercicios-explicados-y-resumen-T.10.pdf

41 páginas

He publicado nuevos apuntes de 2º Matemáticas III: Ejercicios-explicados-y-resumen-T.11.pdf

31 páginas

ejercicios

-

Mat III: Ejercicios 2do Parcial

He publicado nuevos ejercicios de 2º Matemáticas III: Mat III: Ejercicios 2do Parcial

Ejercicios-Funcion-de-Matrices-1.pdf
Ejercicios-Funcion-de-Matrices-2.pdf
Series-de-Fourier-boletin-1-20.pdf
EDOs-boletin-1.pdf
EDP-separables-boletin.pdf
Ejercicios-para-control-2-resueltos.pdf

examenes

-

Mat III: Examenes 2do parcial

resueltos

Examen-2-parcial-2022-23-Matematicas-3.pdf
2DO-PARCIAL-16-17-ejercicios-1-y-3.pdf
RECUPERACION-2-PARCIAL-2021-22.pdf
2-parcial-2021-22.pdf
examen-2-parcial-2020-21.pdf
final-2parcial-2020-21.pdf

Apuntes de clase

11 páginas

ejercicios

-

Mates III Academia (Boletines, Apuntes y Problemas)

He publicado nuevos ejercicios de 2º Matemáticas III: Mates III Academia (Boletines, Apuntes y Problemas)

1er-Control-Boletin-Academia.pdf
Ejercicios-Resueltos-Boletin-Academia.pdf
Ejs.-Resueltos-1er-Parcial-Boletin-Academia.pdf
1er-Parcial-Boletin-Academia.pdf
2do-Parcial-Boletin-Academia.pdf
2do-Parcial-Boletin-2-Academia.pdf