chevron_left
chevron_right
Todo
Apuntes
Ejercicios
Exámenes
Prácticas
chevron_left
chevron_right

apuntes

-

Exámenes 2º Parcial Mates III Resueltos en limpio

He publicado nuevos apuntes de 2º Matemáticas III: Exámenes 2º Parcial Mates III Resueltos en limpio

MatesIIIExamen2023Resuelto.pdf

apuntes

-

Apuntes Matemáticas III

Apuntes completos de Matemáticas III en inglés

Unit-1-Complex-variable-funcions.pdf
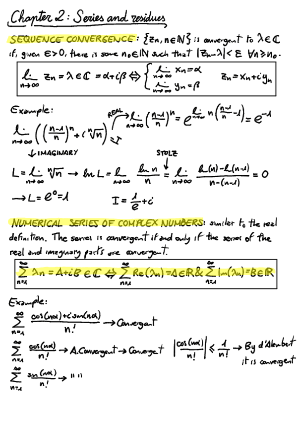
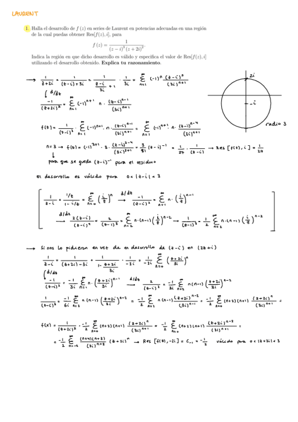
Unit-2-Complex-series-and-residues.pdf
Unit-3-Fourier-and-Laplace-transforms.pdf
Unit-4-Z-transform.pdf
Unit-5-Resolution-of-linear-systems.pdf
Unit-6-Interpolation-and-approximations.pdf

apuntes

-

Apuntes Parcial 2

Apuntes en español del Parcial 2.

Tema-1.pdf
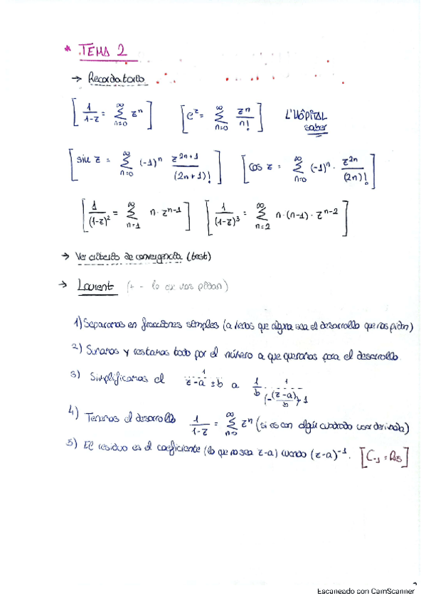
Tema-2.pdf

apuntes

-

Apuntes Parcial 1

He publicado nuevos apuntes de 2º Matemáticas III: Apuntes Parcial 1

Tema-1.pdf
Tema-2.pdf
Tema-3.pdf
Tema-4.pdf

examenes

-

Exámenes Parcial 1

He publicado nuevos examenes de 2º Matemáticas III: Exámenes Parcial 1

20242025.pdf
20232024.pdf
20222023.pdf
20202021.pdf
20192020.pdf
20182019.pdf

practicas

-

Prácticas - Matemáticas Avanzadas (MATLAB)

He publicado nuevos practicas de 2º Matemáticas III: Prácticas - Matemáticas Avanzadas (MATLAB)

PL05 - SEL - Ingeniesaurio.pdf
Miniatura no disponible
P05 - SEL - Ingeniesaurio.zip
PL06 - IDI - Ingeniesaurio.pdf
Miniatura no disponible
PL06 - IDI - Ingeniesaurio.zip
PL07 - PVI - Ingeniesaurio.pdf
Miniatura no disponible
PL07 - PVI - Ingeniesaurio.zip

examenes

-

Exámenes matemáticas III

Exámenes resueltos de años anteriores en inglés

Exam-Mathematics-III-Midterm-I-23-24.pdf
Exam-Mathematics-III-Midterm-I-22-23.pdf
Exam-Mathematics-III-Midterm-I-21-22.pdf
Exam-Mathematics-III-Midterm-I-20-21.pdf
Exam-Mathematics-III-Midterm-I-17-18.pdf

examenes

-

Parcial 1 - Matemáticas III

He publicado nuevos examenes de 2º Matemáticas III: Parcial 1 - Matemáticas III

Matemáticas III - Parcial 1 - Ingeniesaurio.pdf
Matematicas-III-Parcial-1-2024-25-Ingeniesaurio.pdf
Matematicas-III-Parcial-1-2023-24-Ingeniesaurio.pdf
Matematicas-III-Parcial-1-2022-23-Ingeniesaurio.pdf
Matematicas-III-Parcial-1-2021-22-Ingeniesaurio.pdf
Matematicas-III-Parcial-1-2020-21-Ingeniesaurio.pdf

ejercicios

-

Ejercicios

He publicado nuevos ejercicios de 2º Matemáticas III: Ejercicios

Tema-1-ejercicios.pdf
Tema-2-ejercicios.pdf
Tema-3-ejercicios.pdf
Tema-4-ejercicios.pdf

apuntes

-

Apuntes mates III

He publicado nuevos apuntes de 2º Matemáticas III: Apuntes mates III

Tema-1-Complex-Variable-Functions.pdf
Tema-2-Complex-Series-and-Residues.pdf
Tema-3-Fourier-and-Laplace-Transforms.pdf
Tema-4-Z-Transform.pdf

practicas

-

Prácticas - Matemáticas Avanzadas (Mathematica)

He publicado nuevos practicas de 2º Matemáticas III: Prácticas - Matemáticas Avanzadas (Mathematica)

Miniatura no disponible
PL01_VC_Ingeniesaurio.nb
PL01 -VC - Ingeniesaurio.pdf
Miniatura no disponible
PL02_VC_Ingeniesaurio.nb
PL02 -VC - Ingeniesaurio.pdf
Miniatura no disponible
PL03_VC_Ingeniesaurio.nb
PL03 - VC - Ingeniesaurio.pdf

He publicado nuevos apuntes de 2º Matemáticas III: Nota-mates-III.xlsx

excel

Apuntes y ejercicios tipo del segundo parcial de Matemáticas III. Parte 2/2.

17 páginas

Apuntes y ejercicios tipo del segundo parcial de Matemáticas III. Parte 1/2.

12 páginas

examenes

-

Exámenes - Matemáticas III

Recopilación de exámenes que, a partir de ahora, tendréis disponible para evitar tener que pagar demasiado a una academia, a cambio solo pido una descargas. ¡Ánimo con la carrera y no os dejéis estafar! Ingeniesaurio PD. Si queréis que quite la marca de a

Matemáticas III - Parcial 2 - Ingeniesaurio.pdf
Matemáticas III - Recuperación - Ingeniesaurio.pdf

examenes

-

EXÁMENES SOLUCIONADOS 1PARCIAL

He publicado nuevos examenes de 2º Matemáticas III: EXÁMENES SOLUCIONADOS 1PARCIAL

SOL-EXAMEN-2019-1PARCIAL.pdf
SOL-EXAMEN-2021-1PARCIAL.pdf
SOL-EXAMEN-2022-1PARCIAL.pdf
SOL-EXAMEN-2023-1PARCIAL.pdf
SOL-EXAMEN-2024-1PARCIAL.pdf

examenes

-

EXÁMENES SOLUCIONADOS 2PARCIAL

He publicado nuevos examenes de 2º Matemáticas III: EXÁMENES SOLUCIONADOS 2PARCIAL

SOL-EXAMEN-2018-2PARCIAL.pdf
SOL-EXAMEN-2021-2PARCIAL.pdf
SOL-EXAMEN-2023-2PARCIAL.pdf

ejercicios

-

Problems - Advanced Mathematics

He publicado nuevos ejercicios de 2º Matemáticas III: Problems - Advanced Mathematics

Problem-Type-01.1-Cauchy.1-Riemann.pdf
Problem-Type-01.2-LU-Factorization.pdf
Problem-Type-02.1-Singularities.pdf
Problem-Type-02.2-Gauss.2-Seidel.pdf
Problem-Type-03.1-Line-Integral.pdf
Problem-Type-03.2-Divided-Difference-Table.pdf

examenes

-

Exams - Advanced Mathematics

He publicado nuevos examenes de 2º Matemáticas III: Exams - Advanced Mathematics

Advanced-Mathematics-Exam-201.1-Proposed.pdf
Advanced-Mathematics-Exam-2017.1.pdf
Advanced-Mathematics-Exam-2018.1.pdf
Advanced-Mathematics-Exam-2019.1.pdf
Advanced-Mathematics-Exam-2021.1.pdf
Advanced-Mathematics-Exam-2021.1-Proposed.pdf

He publicado nuevos ejercicios de 2º Matemáticas III: Book-Exercises-for-practising-Compex-Variable-PART-2.pdf

18 páginas

He publicado nuevos ejercicios de 2º Matemáticas III: Book-Exercises-for-practising (Compex Variable PART-1).pdf

22 páginas

practicas

-

Mathematica Labs Solved

He publicado nuevos practicas de 2º Matemáticas III: Mathematica Labs Solved

Miniatura no disponible
S01xxxxG821-1.nb
Miniatura no disponible
S02xxxxxG821.nb
Miniatura no disponible
S03xxxxxxxG821-1.nb
Miniatura no disponible
S04EXAMxxxxG821.nb
PL01.pdf
PL03.pdf
Anónimo

@Anónimo

He publicado nuevos practicas de 2º Matemáticas III: PRACTICAS-MATLAB-JUNTAS.pdf

11 páginas

examenes

-

2nd Mid-term Exams Recompilation(Numerical Methods)

He publicado nuevos examenes de 2º Matemáticas III: 2nd Mid-term Exams Recompilation(Numerical Methods)

2023-EXAM-1.pdf
2021-EXAM-2.pdf
2018-EXAM-2.pdf
2016-EXAM.pdf
2015-EXAMEN-Recovery.pdf
2015-EXAM-2.pdf

examenes

-

All Solved and Explained 1st Mid term Exams (Complex Variable)

He publicado nuevos examenes de 2º Matemáticas III: All Solved and Explained 1st Mid term Exams (Complex Variable)

SolvedRecovery2014ExamExplained-1.pdf
Solved2021ProposedExamExplained-2.pdf
Solved2021ExamExplained-2.pdf
Solved2019ExamExplained-2.pdf
Solved2018ExamExplained-2.pdf
Solved2017ExamExplained-2.pdf

He publicado nuevos apuntes de 2º Matemáticas III: metodos-numericos.pdf

13 páginas

apuntes

-

2ºParcial

He publicado nuevos apuntes de 2º Matemáticas III: 2ºParcial

L2-Linear-system-of-equations.pdf
L3-Interpolating-and-approximation-of-functions.pdf
L4-Numerical-methods-for-initial-value-problems.pdf
L5-NM-for-boundary-value-problems.pdf

He publicado nuevos examenes de 2º Matemáticas III: Examen-Mathematica-2024.nb

Miniatura no disponible

He publicado nuevos apuntes de 2º Matemáticas III: SummaryFormulas1st-Midterm-ExamComplex-Variable.pdf

7 páginas

He publicado nuevos apuntes de 2º Matemáticas III: Resumen-Formulario-1oParcial.pdf

5 páginas

He publicado nuevos apuntes de 2º Matemáticas III: PL3-CaballeroMiguel-Angel.nb

Miniatura no disponible

He publicado nuevos apuntes de 2º Matemáticas III: Resumen-Parcial-1.pdf

6 páginas

He publicado nuevos apuntes de 2º Matemáticas III: PL2-CaballeroMiguel-Angel.nb

Miniatura no disponible

He publicado nuevos apuntes de 2º Matemáticas III: 2oParcial-Formulario-Completo.pdf

2 páginas

He publicado nuevos apuntes de 2º Matemáticas III: APUNTESPARCIAL2MATEIII.pdf

6 páginas

He publicado nuevos apuntes de 2º Matemáticas III: ApuntesPARCIAL1MateIII.pdf

7 páginas

He publicado nuevos apuntes de 2º Matemáticas III: Formulario-mates-3-1.0.pdf

3 páginas

He publicado nuevos apuntes de 2º Matemáticas III: Mates-3-metodos-numericos.pdf

4 páginas
Anónimo

@Anónimo

He publicado nuevos apuntes de 2º Matemáticas III: Apuntes-VCMIIIT3-Transformadas-de-Fourier-y-Laplace.pdf

5 páginas
Anónimo

@Anónimo

He publicado nuevos apuntes de 2º Matemáticas III: Apuntes-VCMIIIT2-Series-y-residuos.pdf

6 páginas

apuntes

-

Mates III

He publicado nuevos apuntes de 2º Matemáticas III: Mates III

MatesIIIParcial1.pdf
MatesIIIParcial2.pdf
Anónimo

@Anónimo

apuntes

-

2º parcial

He publicado nuevos apuntes de 2º Matemáticas III: 2º parcial

Examenes-2o-Parcial.pdf
Ejercicios-Metodos-Numericos.pdf
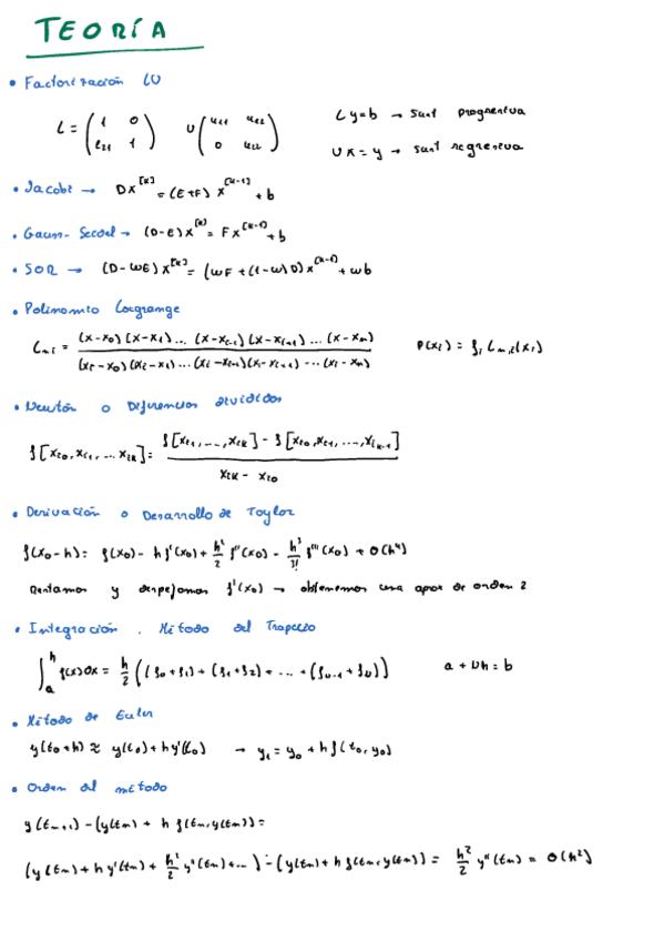
Teoria.pdf

apuntes

-

Variable compleja

He publicado nuevos apuntes de 2º Matemáticas III: Variable compleja

ejercicios-tipo-examen.pdf
resumen-final.pdf

apuntes

-

Métodos numéricos

He publicado nuevos apuntes de 2º Matemáticas III: Métodos numéricos

resumen-final.pdf
Ejercicios-t2-5.pdf

practicas

-

Prácticas Mathematica

He publicado nuevos practicas de 2º Matemáticas III: Prácticas Mathematica

PL01.pdf
PL02.pdf
PL03.pdf

He publicado nuevos apuntes de 2º Matemáticas III: FORMULARIO-COMPLEX-VARIABLE.pdf

10 páginas

He publicado nuevos apuntes de 2º Matemáticas III: Numerical-methods-and-Modelization.pdf

41 páginas

He publicado nuevos apuntes de 2º Matemáticas III: Complex-Variable.pdf

59 páginas

apuntes

-

Apuntes de Manu García (en Word)

He publicado nuevos apuntes de 2º Matemáticas III: Apuntes de Manu García (en Word)

Chapter-2-NM.pdf
Chapter-2-CV.pdf
Chapter-3.1-CV.pdf
Chapter-3.2-CV.pdf
Chapter-4-CV.pdf
Chapter-3-NM.pdf

He publicado nuevos apuntes de 2º Matemáticas III: Resumen-variable-compleja.pdf

16 páginas

apuntes

-

Class notes

He publicado nuevos apuntes de 2º Matemáticas III: Class notes

Chapter-2-Series-And-Residuesrotated.pdf
Chapter-1-Complex-Functionsrotated.pdf
Chapter3and4FourierLaplaceAndZetaTransforms.pdf

apuntes

-

Prácticas y examenes practicas Mates III

He publicado nuevos apuntes de 2º Matemáticas III: Prácticas y examenes practicas Mates III

Miniatura no disponible
P8PabloDelaTorre.zip
Miniatura no disponible
P7PabloDelaTorre.zip
Assignment1.pdf
TP1-2014.pdf
TP1-2015.pdf
TP1-2013.pdf