Todo
Apuntes
Ejercicios
Exámenes
chevron_left
chevron_right

apuntes

-

PREPARACIÓN A EXAMEN

En este cuaderno encontrarás Todos los tipos de problemas que pueden caer en los exámenes, además de la teoría en la cual se basan los problemas. En cada tema hay un problema resuelto paso a paso con su correspondiente parte teórica. TODOS los problemas q

PREPARACION-A-EXAMEN-MATEMATICAS-III-parte-2.pdf
PREPARARACION-A-EXAMEN-MATEMATICAS-III-parte-1.pdf

Recopilación de Sistemas de ecuaciones de EXAMEN

18 páginas

En este documento encontrarás problemas de Laplace sacados de examen. Todos resueltos y corregidos

45 páginas

En este archivo encontrarás EDOS de 2 orden resueltas, todas ellas son sacadas de exámenes (EN/FEB/SEPT)

33 páginas

En este archivo encontraras una recopilación de EDOS resueltos de primer orden TODOS ellos sacados de exámenes. si los haces todos dominarás las EDOS!

59 páginas

Recopilación de problemas de trayectorias ortogonales y problemas de existencia y unicidad sacados de examen (ENERO/FEBRERO/SEPT) incluye examenes parciales resueltos de otros años

45 páginas

apuntes

-

RELACIÓN DE PROBLEMAS

Todos los problemas de clase resueltos mas algunas explicaciones de dados en prácticas.

TEMA-1-RELACION-DE-PROBLEMAS.pdf
TEMA-2-RELACION-DE-PROBLEMAS.pdf
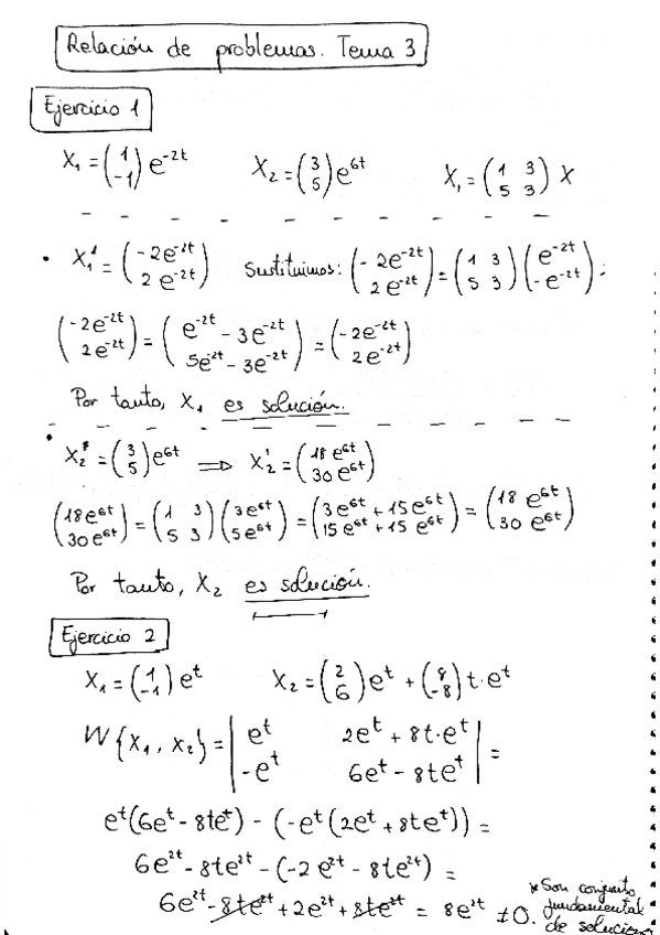
TEMA-3-RELACION-DE-PROBLEMAS.pdf
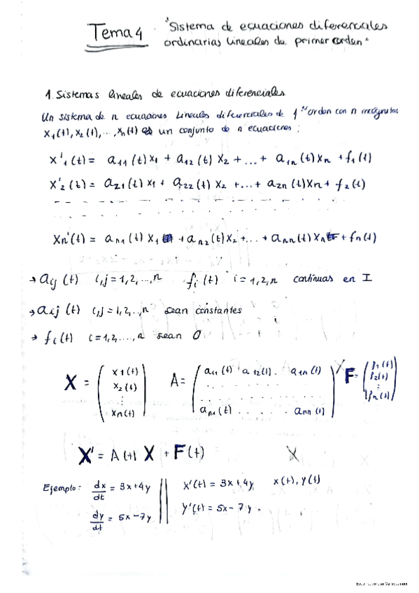
TEMA-4-RELACION-DE-PROBLEMAS.pdf

apuntes

-

TODA LA TEORIA MUY COMPLETA

He publicado nuevos apuntes de 2º Matemáticas III: TODA LA TEORIA MUY COMPLETA

TEMA-1-TEORIA-MATEMATICAS-III.pdf
TEMA-2-TEORIA-MATEMATICAS-III.pdf
TEMA-3-TEORIA-MATEMATICAS-III.pdf
TEMA-4-TEORIA-MATEMATICAS-III.pdf
TEMA-5-TEORIA-MATEMATICAS-III.pdf
TEMA-6-TEORIA-MATEMATICAS-III.pdf

He publicado nuevos examenes de 2º Matemáticas III: EXAMEN_RESUELTO_FEBRERO_2025.pdf.pdf

4 páginas

He publicado nuevos examenes de 2º Matemáticas III: MODELO_EXAMEN2.pdf.pdf

7 páginas

He publicado nuevos ejercicios de 2º Matemáticas III: SEMINARIO_TEMA6.pdf.pdf

3 páginas

He publicado nuevos examenes de 2º Matemáticas III: MODELO_EXAMEN1.pdf.pdf

4 páginas

He publicado nuevos examenes de 2º Matemáticas III: EXAMEN_RESUELTO_ENERO_2025.pdf.pdf

7 páginas

He publicado nuevos ejercicios de 2º Matemáticas III: SEMINARIO_TEMA1.pdf.pdf

16 páginas

He publicado nuevos ejercicios de 2º Matemáticas III: SEMINARIO_TEMA2.pdf.pdf

11 páginas

He publicado nuevos ejercicios de 2º Matemáticas III: SEMINARIO_TEMA3.pdf.pdf

14 páginas

He publicado nuevos ejercicios de 2º Matemáticas III: SEMINARIO_TEMA4.pdf.pdf

17 páginas

He publicado nuevos apuntes de 2º Matemáticas III: T1_E.D.O_PRIMER_ORDEN.pdf.pdf

4 páginas

He publicado nuevos apuntes de 2º Matemáticas III: T2_E.D.O_LINEALES_ORDEN_SUPERIOR.pdf.pdf

5 páginas

He publicado nuevos apuntes de 2º Matemáticas III: T3_TRANSFORMADA_DE_LAPLACE.pdf.pdf

2 páginas

He publicado nuevos apuntes de 2º Matemáticas III: T4_S.E.D.O_LINEALES_PRIMER_ORDEN.pdf.pdf

4 páginas

He publicado nuevos apuntes de 2º Matemáticas III: T5_ECUACIONES_CON_DERIVADAS_PARCIALES.pdf.pdf

3 páginas

He publicado nuevos apuntes de 2º Matemáticas III: T6_METODO_RESOLUCION_NUMERICA_ECUACIONES_DIFERENCIALES.pdf.pdf

2 páginas

Curso 2025/2026

2 páginas

He publicado nuevos apuntes de 2º Matemáticas III: Tema-5mates-iii.pdf

4 páginas

He publicado nuevos apuntes de 2º Matemáticas III: Tema-4-mates-iii.pdf

9 páginas
Anónimo

@Anónimo

He publicado nuevos ejercicios de 2º Matemáticas III: Tema3TodosLosEjercicios.pdf

17 páginas

He publicado nuevos apuntes de 2º Matemáticas III: Mates-3-tema-2.pdf

8 páginas

He publicado nuevos apuntes de 2º Matemáticas III: Tema-3-mates-iii.pdf

5 páginas

He publicado nuevos apuntes de 2º Matemáticas III: Apuntes-Tema-1.pdf

42 páginas

He publicado nuevos apuntes de 2º Matemáticas III: tema-1-mates-iii.pdf

5 páginas

apuntes

-

Teoría

He publicado nuevos apuntes de 2º Matemáticas III: Teoría

Archivo 1.pdf
Archivo 2.pdf
Archivo 3.pdf
Archivo 4.pdf

He publicado nuevos examenes de 2º Matemáticas III: EXAMEN-FEBRERO-2025-MATES-III.pdf

1 página

He publicado nuevos examenes de 2º Matemáticas III: EXAMEN-ENERO-2025-MATES-III.pdf

1 página

He publicado nuevos apuntes de 2º Matemáticas III: T5-MATIII.pdf

9 páginas

He publicado nuevos apuntes de 2º Matemáticas III: T4-PROBLEMAS.pdf

29 páginas

He publicado nuevos apuntes de 2º Matemáticas III: T4-APLICACION-MEZCLAS.pdf

5 páginas

He publicado nuevos apuntes de 2º Matemáticas III: T3-MATIII-2.pdf

17 páginas

He publicado nuevos apuntes de 2º Matemáticas III: T3-MATIII-1.pdf

19 páginas

He publicado nuevos apuntes de 2º Matemáticas III: T2-MATIII-2.pdf

12 páginas

He publicado nuevos apuntes de 2º Matemáticas III: T1-MATIII.pdf

19 páginas

He publicado nuevos apuntes de 2º Matemáticas III: T.1-APUNTES-INTRODUCCION.pdf

4 páginas

He publicado nuevos apuntes de 2º Matemáticas III: PRUEBA-A-22-11-24.pdf

7 páginas

He publicado nuevos apuntes de 2º Matemáticas III: PRUEBA-17-12-24.pdf

1 página

He publicado nuevos apuntes de 2º Matemáticas III: PRUEBA-20-12-24.pdf

5 páginas

He publicado nuevos apuntes de 2º Matemáticas III: FEBRERO-2022-MAT-III.pdf

6 páginas

He publicado nuevos apuntes de 2º Matemáticas III: ENERO-2023-MAT-III.pdf

4 páginas

He publicado nuevos apuntes de 2º Matemáticas III: T6-MATIII.pdf

10 páginas

He publicado nuevos apuntes de 2º Matemáticas III: T4-MATIII.pdf

21 páginas

He publicado nuevos apuntes de 2º Matemáticas III: T3-PROBLEMAS.pdf

34 páginas

He publicado nuevos apuntes de 2º Matemáticas III: T2-MATIII-1.pdf

21 páginas

He publicado nuevos apuntes de 2º Matemáticas III: SEPTIEMBRE-2023-MAT-III.pdf

10 páginas

He publicado nuevos apuntes de 2º Matemáticas III: PRUEBA-B-22-11-24.pdf

3 páginas

He publicado nuevos apuntes de 2º Matemáticas III: ENERO-2020-MAT-III.pdf

4 páginas

He publicado nuevos apuntes de 2º Matemáticas III: Todas-las-clases-de-problemas.pdf

44 páginas

He publicado nuevos ejercicios de 2º Matemáticas III: Ejercicios-resueltos-Temas-3-y-4.pdf

24 páginas

He publicado nuevos ejercicios de 2º Matemáticas III: Ejercicios-resueltos-Temas-1-y-2.pdf

48 páginas

resumen de formulas, etc que hay que aprenderse

4 páginas

He publicado nuevos apuntes de 2º Matemáticas III: tema-5-onda-y-calor-lo-que-hay-que-saber-para-el-examen.pdf

3 páginas

He publicado nuevos apuntes de 2º Matemáticas III: resumen-en-una-carilla-TEMA-6-y-un-ejercicio-de-cada.pdf

3 páginas