chevron_left
chevron_right
Todo
Apuntes
Ejercicios
Exámenes
chevron_left
chevron_right

apuntes

-

RESUMEN DE TEMAS 2024

He publicado nuevos apuntes de 1º Matemáticas III: RESUMEN DE TEMAS 2024

T1-DERIVADAS-PARCIALES.pdf
T2-APLICACIONES-GEOMETRICAS-DE-DERIVADAS-PARCIALES.pdf
T3-CAMPOS-ESCALARES.pdf
T4-CAMPOS-VECTORIALES.pdf
T5-INTEGRALES-MULTIPLES.pdf
T6-INTEGRALES-DE-LINEA.pdf

examenes

-

EXAMENES RESUELTOS

He publicado nuevos examenes de 1º Matemáticas III: EXAMENES RESUELTOS

1o-CONVO-2016-2017-RESUELTO.pdf
1o-CONVO-2017-2018-RESUELTO.pdf
1o-CONVO-2018-2019-RESUELTO.pdf
1o-CONVO-2020-2021-RESUELTO.pdf
1o-P-2016-2017-RESUELTO.pdf
1o-P-2017-2018-RESUELTO.pdf

He publicado nuevos apuntes de 1º Matemáticas III: TEMAS-0-Y-1.-Conicas-y-cuadricas.-Espacio-tridimensional.pdf

2 páginas

He publicado nuevos apuntes de 1º Matemáticas III: TEMA-3.-Optimizacion.pdf

1 página

He publicado nuevos apuntes de 1º Matemáticas III: TEMA-2.-Calculo-diferencial.pdf

3 páginas

He publicado nuevos apuntes de 1º Matemáticas III: TEMA-4.-Integral-doble.pdf

2 páginas

He publicado nuevos apuntes de 1º Matemáticas III: TEMA-5.-Integral-triple.pdf

2 páginas

He publicado nuevos apuntes de 1º Matemáticas III: TEMA-6.-Integral-de-superficie.pdf

1 página

He publicado nuevos apuntes de 1º Matemáticas III: TEMA-7.-Integral-de-linea.pdf

2 páginas
Anónimo

@Anónimo

apuntes

-

MATES III (TODO)

He publicado nuevos apuntes de 1º Matemáticas III: MATES III (TODO)

RESUMEN.pdf
REPASO.pdf
MATES-III-OPTIMIZACION.pdf
MATES-III-INTEGRAL-TRIPLE.pdf
MATES-III-INTEGRAL-DE-SUPERFICIE.pdf
MATES-III-INTEGRAL-DE-LINEA.pdf

He publicado nuevos apuntes de 1º Matemáticas III: LECCION-1-DERIVADAS-PARCIALES-Manoli.pdf

43 páginas

He publicado nuevos apuntes de 1º Matemáticas III: ACT-RESUELTAS-LECCION-1-DERIVADAS-PARCIALESManoli.pdf

16 páginas
Anónimo

@Anónimo

He publicado nuevos apuntes de 1º Matemáticas III: Integral de línea - RESUMEN.pdf

2 páginas

Esta es una recopilación de todas las posibles combinaciones de preguntas que han caido en los examenes

8 páginas
Anónimo

@Anónimo

He publicado nuevos apuntes de 1º Matemáticas III: conicas-y-cuadricas.pdf

2 páginas
Anónimo

@Anónimo

examenes

-

ex-nov-2020

He publicado nuevos examenes de 1º Matemáticas III: ex-nov-2020

ex-nov-2020.pdf
ex-sept-2020.pdf
junio2020-doble.pdf
junio2020-flujo.pdf
junio2020-linea.pdf
junio2020-sonda.pdf
Anónimo

@Anónimo

examenes

-

examenes 2019 resueltos

He publicado nuevos examenes de 1º Matemáticas III: examenes 2019 resueltos

ex-dic-2019.pdf
ex-sept-2019.pdf
Soluciones-mayo-2019.pdf
solu-junio-2019.pdf
Anónimo

@Anónimo

examenes

-

examenes 2018 resueltos

He publicado nuevos examenes de 1º Matemáticas III: examenes 2018 resueltos

ej1-nov2018.pdf
EXAM-SEPT-18.pdf
ex-DIC-2018.pdf
SOL-MAY-18.pdf
Anónimo

@Anónimo

apuntes

-

examenes 2017 resueltos

He publicado nuevos apuntes de 1º Matemáticas III: examenes 2017 resueltos

SOL-examen-sept-07.pdf
SOL-NOV-2017.pdf
SOLUCION-EX-MAYO17.pdf
solucion-junio-2017.pdf

apuntes

-

RESUMEN ASIGNATURA COMPLETA

He publicado nuevos apuntes de 1º Matemáticas III: RESUMEN ASIGNATURA COMPLETA

PARTE-REPASO.pdf
PARTE-1.pdf
PARTE-2.pdf
PARTE-3.pdf
PARTE-4.pdf
PARTE-5.pdf

He publicado nuevos apuntes de 1º Matemáticas III: GIOI - MAT-III-APUNTES-Y-EJ.pdf

119 páginas

He publicado nuevos apuntes de 1º Matemáticas III: Tema-4-Optimizacion.pdf

9 páginas

He publicado nuevos apuntes de 1º Matemáticas III: Tema-1-Cuadricas.pdf

3 páginas

He publicado nuevos apuntes de 1º Matemáticas III: Mates-III.pdf

94 páginas

He publicado nuevos apuntes de 1º Matemáticas III: Libro-Derivadas-Parciales-y-Series.pdf

2 páginas

He publicado nuevos apuntes de 1º Matemáticas III: Apuntes.pdf

27 páginas
Anónimo

@Anónimo

He publicado nuevos apuntes de 1º Matemáticas III: Formulas-Mates-III.pdf

5 páginas

He publicado nuevos apuntes de 1º Matemáticas III: MATEMATICAS-III.pdf

15 páginas

He publicado nuevos apuntes de 1º Matemáticas III: Libro-Derivadas-Parciales-y-Series.pdf

2 páginas

He publicado nuevos apuntes de 1º Matemáticas III: Tareas Mates 3.pdf

21 páginas

apuntes

-

Asignatura Completa

He publicado nuevos apuntes de 1º Matemáticas III: Asignatura Completa

ExamenesyProblemas.pdf
Tema1DerivadasParcialesApuntes.pdf
Tema2AplicacionesDerivadasParcialesApuntesClase.pdf
Tema4IntegralesDoblesTriplesApuntesClase.pdf
Tema4IntegralesDoblesTriplesProblemasyTeoria.pdf
Tema3OptimizacionCamposEscalaresApuntesClase.pdf
Anónimo

@Anónimo

He publicado nuevos apuntes de 1º Matemáticas III: Tabla-resumen-1.pdf

1 página
Anónimo

@Anónimo

He publicado nuevos apuntes de 1º Matemáticas III: Leccion-3-Diapositivas-Carmen.pdf

33 páginas

He publicado nuevos apuntes de 1º Matemáticas III: conicas-derivadas-e-integrales.pdf

8 páginas

apuntes

-

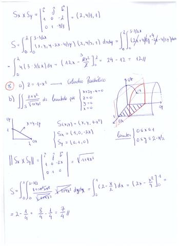
Ejercicios ÁREAS

He publicado nuevos apuntes de 1º Matemáticas III: Ejercicios ÁREAS

21.jpg
20.jpg
19.jpg

apuntes

-

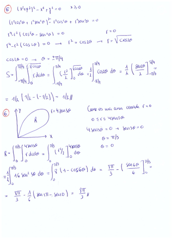
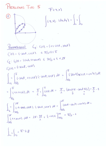
Ejercicios INTEGRAL DE LÍNEA

He publicado nuevos apuntes de 1º Matemáticas III: Ejercicios INTEGRAL DE LÍNEA

16.jpg
15.jpg
11.jpg
13.jpg
18.jpg
12.jpg

apuntes

-

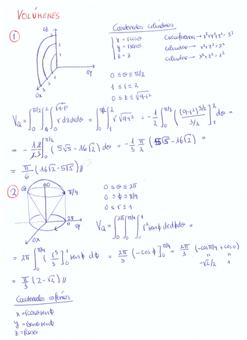
Ejercicios VOLÚMENES

He publicado nuevos apuntes de 1º Matemáticas III: Ejercicios VOLÚMENES

8.jpg
7.jpg
10.jpg
9.jpg

apuntes

-

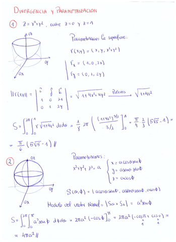
Ejercicios DIVERGENCIA Y PARAMETRIZACIÓN

He publicado nuevos apuntes de 1º Matemáticas III: Ejercicios DIVERGENCIA Y PARAMETRIZACIÓN

4.jpg
6.jpg
2.jpg
3.jpg
5.jpg
1.jpg
Anónimo

@Anónimo

He publicado nuevos apuntes de 1º Matemáticas III: RESUMENMATEMATICAS-III.pdf

10 páginas
Anónimo

@Anónimo

He publicado nuevos examenes de 1º Matemáticas III: TAREAS-ENUNCIADOSOLUCION.pdf

8 páginas

apuntes

-

EXAMENES CORREGIDOS POR EL DEPARTAMENTO

He publicado nuevos apuntes de 1º Matemáticas III: EXAMENES CORREGIDOS POR EL DEPARTAMENTO

SOLUCIONES-1516.pdf
1314MatIIIGITI.pdf
SOLUCIONES-1415.pdf
1011-y1112MatIIIGITI.pdf
1213MatIIIGITI.pdf
TERCERA-CONVOCATORIA-1718.pdf

examenes

-

FORMULARIOS POR TEMAS

He publicado nuevos examenes de 1º Matemáticas III: FORMULARIOS POR TEMAS

mt3.pdf
mt1.pdf
mt5.pdf
mt4.pdf
mt6.pdf
mt7.pdf
Anónimo

@Anónimo

apuntes

-

Teoría explicada

He publicado nuevos apuntes de 1º Matemáticas III: Teoría explicada

Tema-2-teoria.pdf
Tema-1-teoria.pdf
Tema-4-teoria.pdf
Anónimo

@Anónimo

apuntes

-

Boletines resueltos

He publicado nuevos apuntes de 1º Matemáticas III: Boletines resueltos

Problemas-resueltos-tema-1.pdf
Problemas-resueltos.pdf
Problemas-resueltos-tema-4.pdf
Anónimo

@Anónimo

He publicado nuevos examenes de 1º Matemáticas III: Parametrizaciones-importantes.pdf

2 páginas
Anónimo

@Anónimo

examenes

-

Exámenes resueltos

He publicado nuevos examenes de 1º Matemáticas III: Exámenes resueltos

Examen-1.pdf
Examen-2.pdf

apuntes

-

EXAMENES RESUELTOS Y RESUMENES COMPLETOS

He publicado nuevos apuntes de 1º Matemáticas III: EXAMENES RESUELTOS Y RESUMENES COMPLETOS

EXAMENES-RESUELTOS-ANOS-ANTERIORES.pdf
RESUMEN-TODOS-LOS-TEMAS.pdf

apuntes

-

Exámenes con soluciones años anteriores

He publicado nuevos apuntes de 1º Matemáticas III: Exámenes con soluciones años anteriores

SOLUCIÓN-EX-MAYO.pdf
SOL-NOV-2017.pdf
SOL-examen-sept-07.pdf
SOL-MAY-18.pdf
solucion-junio-2017.pdf

apuntes

-

Temas

He publicado nuevos apuntes de 1º Matemáticas III: Temas

Lección 1. Derivadas Parciales.pdf
Lección 2. Aplicaciones Geométricas de las Derivadas Parciales.pdf
Lección 3. Optimización de Campos Escalares.pdf
Leccion 4. Campos Vectoriales Diferenciables.pdf
Lección 5. Integrales Múltiples.pdf
Lección 6. Integrales de Línea.pdf

apuntes

-

Apuntes 2017/18

He publicado nuevos apuntes de 1º Matemáticas III: Apuntes 2017/18

temas1y2.pdf
temas3y4.pdf
temas5y6.pdf
temas7y8.pdf

examenes

-

Examenes resueltos

He publicado nuevos examenes de 1º Matemáticas III: Examenes resueltos

SOLUCIÓN-EX-MAYO.pdf
solucion-junio-2017.pdf
SOL-examen-sept-07.pdf
SOL-NOV-2017.pdf

He publicado nuevos ejercicios de 1º Matemáticas III: ejerciciosrepaso.pdf

2 páginas

apuntes

-

INTEGRACION

Va a contener todas las clases de integración añadidas progresivamente conforme se vaya avanzando el temario.

CLASE 1.pdf
CLASE 2.pdf
CLASE 3.pdf
CLASE 4.pdf
CLASE 5.pdf
CLASE 6.pdf