chevron_left
chevron_right
Todo
Apuntes
Ejercicios
Exámenes
chevron_left
chevron_right

Resumen esquema del tema 10 de calculo(mates 3)

4 páginas

apuntes

-

LECCIONES 7, 8, 9, 10, 11 y 12

Apuntes tomados en clase (curso 2025-26)

LECCION-7-DERIVADAS-PARCIALES.pdf
LECCION-8-SUPERFICIES.pdf
LECCION-9-OPTIMIZACION.pdf
LECCION-10-INTEGRALES-MULTIPLES.pdf

Apuntes copiados directamente de las presentaciones de Manoli (asignatura de cálculo para el plan 2024, matemáticas II para el plan 2010) En cada apartado hay una subcarpeta con todos los ejercicios de los apuntes del correspondiente apartado.

Miniatura no disponible

apuntes

-

TEMAS RESUMIDOS (ESENCIAL)

He publicado nuevos apuntes de 1º Matemáticas III: TEMAS RESUMIDOS (ESENCIAL)

T1-DERIVADAS-PARCIALES.pdf
T2-APLICACIONES-GEOMTRICAS-DERIVADAS-PARCIALES.pdf
T3-CAMPOS-ESCALARES.pdf
T4-CAMPOS-VECTORIALES.pdf
T5-INTEGRALES-MULTIPLES.pdf
T6-INTEGRALES-DE-LINEA.pdf

examenes

-

EXAMENES RESUELTOS (APRUEBA)

He publicado nuevos examenes de 1º Matemáticas III: EXAMENES RESUELTOS (APRUEBA)

1o-CONVO-2016-2017-RESUELTO.pdf
1o-CONVO-2017-2018-RESUELTO.pdf
1o-CONVO-2018-2019-RESUELTO.pdf
1o-CONVO-2020-2021-RESUELTO.pdf
1o-P-2016-2017-RESUELTO.pdf
1o-P-2017-2018-RESUELTO.pdf

He publicado nuevos apuntes de 1º Matemáticas III: FORMULARIO-TEMAS-7-8-y-9.pdf

2 páginas

Resumen de los tipos de ejercicios del primer parcial y como resolverlos.

1 página

Resumen, esquema con ejercicios para el parcial de Calculo/Mates 3

17 páginas

Resumen, esquema con ejercicios para el parcial de Calculo/Mates 3

15 páginas

Resumen, esquema con ejercicios para el parcial de Calculo/Mates 3

12 páginas

Apuntes copiados directamente de las presentaciones de Manoli (asignatura de cálculo para el plan 2024, matemáticas II para el plan 2010) En cada apartado hay una subcarpeta con todos los ejercicios de los apuntes del correspondiente apartado.

Miniatura no disponible

He publicado nuevos apuntes de 1º Matemáticas III: LECCION-9.-OPTIMIZACION-CAMPOS-ESCALARES.pdf

3 páginas

He publicado nuevos apuntes de 1º Matemáticas III: LECCION-8.-SUPERFICIES.pdf

6 páginas

He publicado nuevos apuntes de 1º Matemáticas III: LECCION-7.-DERIVADAS-PARCIALES.pdf

6 páginas

Resumenes del primer parcial de mates III, correspondiente al primer examen del segundo cuatrimestre

18 páginas

He publicado nuevos apuntes de 1º Matemáticas III: TEMA-4.-Estabilidad-y-planos-de-fases.pdf

8 páginas

apuntes

-

MATES 3 apuntes

He publicado nuevos apuntes de 1º Matemáticas III: MATES 3 apuntes

Apuntes-T1.pdf
Apuntes-T2.pdf
Apuntes-T4.pdf
Apuntes-T5.pdf
Apuntes-T6.pdf
Apuntes-T3.pdf

Apuntes con ejercicios.

16 páginas

Apuntes con ejercicios

19 páginas

Apuntes con ejercicios

20 páginas

Apuntes con ejercicios

24 páginas

Fórmulas principales.

3 páginas

Apuntes con ejercicios.

24 páginas

Apuntes con ejercicios.

24 páginas

Apuntes con ejercicios.

21 páginas

Apuntes con ejercicios.

21 páginas

Teoría y fórmulas clave para hacer TODOS los ejercicios.

4 páginas

Teoría y fórmulas clave para hacer TODOS los ejercicios.

2 páginas

Teoría y fórmulas clave para hacer TODOS los ejercicios.

2 páginas

Teoría y fórmulas clave para hacer TODOS los ejercicios.

2 páginas

Teoría y fórmulas clave para hacer TODOS los ejercicios.

4 páginas

Teoría y fórmulas clave para hacer TODOS los ejercicios.

3 páginas

apuntes

-

FORMULARIOS- 2 PARCIAL CALCULO-CORTOS Y COMPLETOS DE TODOS LOS TEMAS

CORTOS Y COMPLETOS, LECCIONES DE CALCULO, SEGUNDA MITAD

L7-DERIVADAS-PARCIALES.pdf
L8-SUPERFICIES.pdf
L9-OPTIMIZACION.pdf
L10-INTEGRALES-MULTIPLES.pdf
L11-INTEGRALES-DE-LINEA.pdf
L12-INTEGRALES-DE-SUPERFICIES.pdf

He publicado nuevos apuntes de 1º Matemáticas III: ApuntesTema9.pdf

15 páginas

He publicado nuevos apuntes de 1º Matemáticas III: ApuntesTema8.pdf

24 páginas

He publicado nuevos apuntes de 1º Matemáticas III: ApuntesTema7.pdf

29 páginas

apuntes

-

Cálculo

He publicado nuevos apuntes de 1º Matemáticas III: Cálculo

ApuntesTema10.pdf
EsquemaTema10.pdf
ApuntesTema11.pdf
ApuntesTema12.pdf
EsquemaTema11.pdf
EsquemaTema12.pdf

ejercicio clave de examen

21 páginas

He publicado nuevos apuntes de 1º Matemáticas III: Apuntes-2o-Parcial.pdf

6 páginas

He publicado nuevos apuntes de 1º Matemáticas III: Resumen-ultimo-parcialito-de-Calculo.pdf

4 páginas

He publicado nuevos apuntes de 1º Matemáticas III: CAMPO-CONSERVATIVO-Y-POTENCIAL.pdf

1 página

Formulario completo 1 parcial

2 páginas

He publicado nuevos apuntes de 1º Matemáticas III: RESUMEN-1ER-PARCIAL-2024.pdf

5 páginas

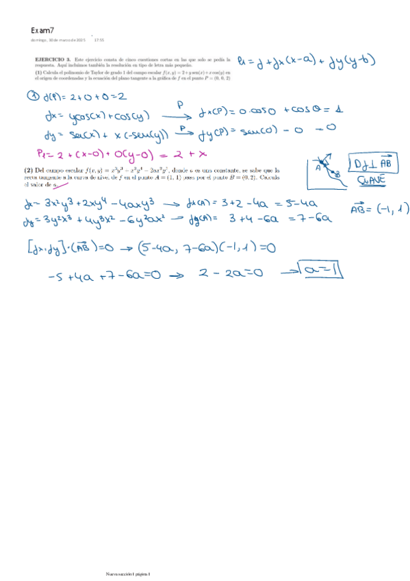
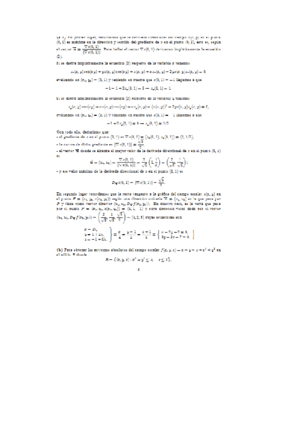
ejercicio clave de examen

1 página

ejercicio clave de examen

1 página

ejercicio clave de examen

1 página

ejercicio clave de examen

1 página

ejercicio clave de examen

1 página

ejercicio clave de examen

1 página

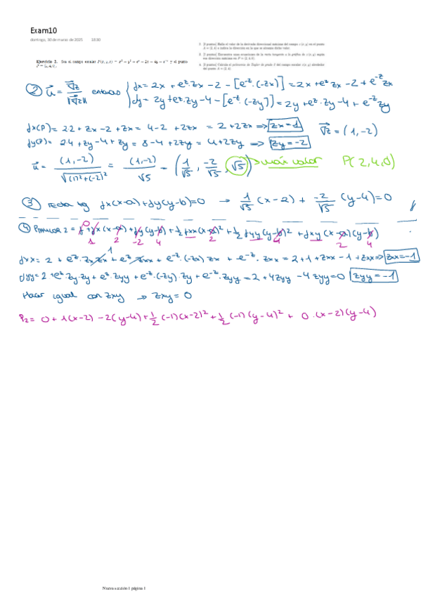
He publicado nuevos apuntes de 1º Matemáticas III: Exam-6.pdf

1 página

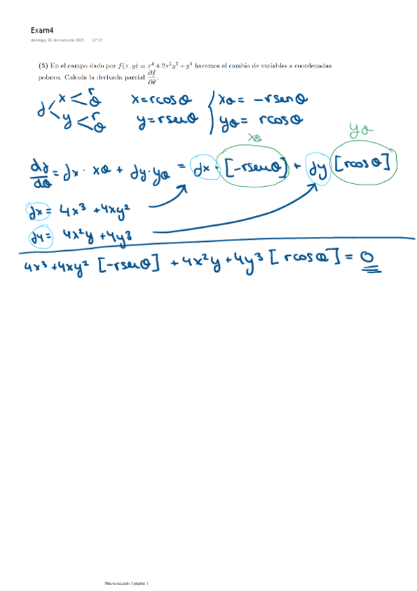
He publicado nuevos apuntes de 1º Matemáticas III: Exam4.pdf

1 página

He publicado nuevos apuntes de 1º Matemáticas III: Exam5.pdf

1 página

He publicado nuevos apuntes de 1º Matemáticas III: Exam3.pdf

1 página

He publicado nuevos apuntes de 1º Matemáticas III: Exam2.pdf

1 página

Ejercicios clave para examenes

1 página

He publicado nuevos apuntes de 1º Matemáticas III: EXAMEN-DE-2020-ADAPATADO-A-2024.pdf

6 páginas

He publicado nuevos apuntes de 1º Matemáticas III: OPTIMIZACION.pdf

2 páginas

Tipicos de examen resuelto paso a paso + fórmulas

6 páginas

apuntes

-

APUNTES DE CLASE MANOLI TEMAS 7,8 Y 9

He publicado nuevos apuntes de 1º Matemáticas III: APUNTES DE CLASE MANOLI TEMAS 7,8 Y 9

tema-7-derivadas-parciales.pdf
tema-8-superficies.pdf
tema-9.pdf

Apuntes lección 7, resto de temas en mi perfil

2 páginas