Matemáticas Orientadas a las Enseñanzas Académicas

Todo
Apuntes
Preguntas
Ejercicios
Exámenes
Trabajos
chevron_left
chevron_right

Ejercicios de logaritmos, radicales, potencias resueltos con mucho detalle para entenderlos bien.

4 páginas

Ejercicios de potencias y radicales resueltos paso a paso.

2 páginas

He publicado nuevos apuntes de 4º Matemáticas Orientadas a las Enseñanzas Académicas: EJERCICIOS-DE-REPASO-primera-evaluacion-4-ESO-1.pdf

4 páginas

He publicado nuevos apuntes de 4º Matemáticas Orientadas a las Enseñanzas Académicas: ejercicios-para-practicar-trigonomnetria.pdf

2 páginas

He publicado nuevos apuntes de 4º Matemáticas Orientadas a las Enseñanzas Académicas: EJERCICIOS-DE-REPASO-POLINOMIOS-Y-FRACCIONES-ALGEBRAICAS.pdf

3 páginas

EN VALENCIANO Explicaciones breves y concisas sobre como calcular: - Dominios - Puntos de corte - Discontinuidades - Crecimientos y decrecimientos - funciones cuadráticas - definidas a trozos - radicales - valor absoluto - racionales

2 páginas

EN VALENCIANO - Módulos - punto medio - ecuaciones vectoriales: paramétricas, contínuas, punto-pendiente, general y explícita, PASOS PARA PASAR DE UNA A OTRA - paralelismo y perpendicularidad - posiciones relativas,

2 páginas

Con dibujos, explicación de las razones, teorema del seno y el coseno. EN VALENCIANO

2 páginas

He publicado nuevos apuntes de 4º Matemáticas Orientadas a las Enseñanzas Académicas: funciones.pdf

2 páginas

He publicado nuevos apuntes de 4º Matemáticas Orientadas a las Enseñanzas Académicas: numeros-reales.pdf

2 páginas

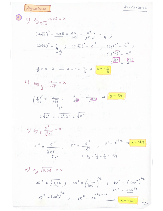
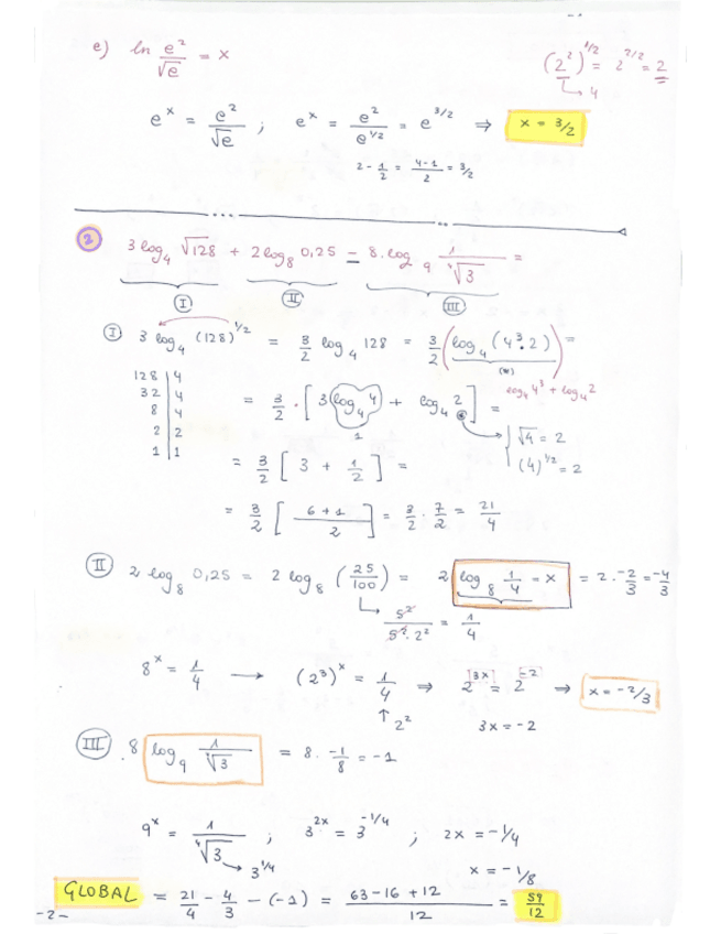
He publicado nuevos apuntes de 4º Matemáticas Orientadas a las Enseñanzas Académicas: logaritmos.pdf

1 página

He publicado nuevos apuntes de 4º Matemáticas Orientadas a las Enseñanzas Académicas: Desigualdades-e-inexuaciones.pdf

3 páginas

He publicado nuevos apuntes de 4º Matemáticas Orientadas a las Enseñanzas Académicas: sistemas-de-ecuaciones.pdf

1 página

He publicado nuevos apuntes de 4º Matemáticas Orientadas a las Enseñanzas Académicas: semejanza-y-trigonometria.pdf

4 páginas

He publicado nuevos apuntes de 4º Matemáticas Orientadas a las Enseñanzas Académicas: polinomios.pdf

2 páginas

He publicado nuevos apuntes de 4º Matemáticas Orientadas a las Enseñanzas Académicas: funciones.pdf

4 páginas

He publicado nuevos apuntes de 4º Matemáticas Orientadas a las Enseñanzas Académicas: Combinaroria.pdf

4 páginas

He publicado nuevos apuntes de 4º Matemáticas Orientadas a las Enseñanzas Académicas: estadistica.pdf

6 páginas

He publicado nuevos apuntes de 4º Matemáticas Orientadas a las Enseñanzas Académicas: Apuntes-de-trigonometria.pdf

5 páginas

apuntes

-

3 Temas de Matemáticas Académicas

En esta carpeta os dejo subidos 3 temas de matemáticas, es probable que os sirvan de gran ayuda, los tres temas son "PROBABILIDAD", "ESTADÍSTICA BIDIMENSIONAL" y "ESTADÍSTICA UNIDIMENSIONAL". Sobre estos temas hay tanto apuntes como ejercicios que os ayud

Matematicas-Estadistica-Bidimensional.pdf
Matematicas-Estadistica-Unidimensional.pdf
Matematicas-Probabilidad.pdf

apuntes

-

Matemáticas Académicas

Apuntes teóricos y formulas de: Números reales, Paso de decimal a fracción, Calculo con números reales, Intervalos y semirectas, Potencias, Radicales (operaciones), y Logaritmos.

Formulas T1.pdf
Formulas T1.pdf
Teoría T1.pdf
Teoría T1.pdf
Teoría T1.pdf
Teoría T1.pdf

Apuntes de polinomios (en catalán)

4 páginas

He publicado nuevos apuntes de 4º Matemáticas Orientadas a las Enseñanzas Académicas: SolucionesRepasoGlobal2Ev.pdf

9 páginas

He publicado nuevos apuntes de 4º Matemáticas Orientadas a las Enseñanzas Académicas: SolucionesEjcsUD1y2repaso.pdf

6 páginas

He publicado nuevos apuntes de 4º Matemáticas Orientadas a las Enseñanzas Académicas: SolucionesEjcsRepasoUD3.pdf

5 páginas

He publicado nuevos apuntes de 4º Matemáticas Orientadas a las Enseñanzas Académicas: POTENCIAS-Y-RAICES4ESO.pdf

4 páginas

He publicado nuevos apuntes de 4º Matemáticas Orientadas a las Enseñanzas Académicas: PORCENTAJES-E-INTERES-SIMPLE-Y-COMPUESTO4ESO.pdf

2 páginas

He publicado nuevos apuntes de 4º Matemáticas Orientadas a las Enseñanzas Académicas: OPERACIONES-CON-RADICALES4ESO.pdf

3 páginas

He publicado nuevos apuntes de 4º Matemáticas Orientadas a las Enseñanzas Académicas: LOGARITMOS-Y-EXPONENCIALES4ESO.pdf

3 páginas

He publicado nuevos apuntes de 4º Matemáticas Orientadas a las Enseñanzas Académicas: UD10-11-FUNCIONES-POLINOMICAS-Y-RACIONALES-4o-ESO.pdf

12 páginas

He publicado nuevos apuntes de 4º Matemáticas Orientadas a las Enseñanzas Académicas: UD9-FUNCIONES-4o-ESO.pdf

6 páginas

He publicado nuevos apuntes de 4º Matemáticas Orientadas a las Enseñanzas Académicas: UD8-GEOMETRIA-ANALITICA-4o-ESO.pdf

6 páginas

He publicado nuevos apuntes de 4º Matemáticas Orientadas a las Enseñanzas Académicas: UD7-TRIGONOMETRIA-4o-ESO.pdf

10 páginas

He publicado nuevos apuntes de 4º Matemáticas Orientadas a las Enseñanzas Académicas: UD6-GEOMETRIA-DEL-PLANO-Y-EL-ESPACIO-4oESO.pdf

7 páginas

He publicado nuevos apuntes de 4º Matemáticas Orientadas a las Enseñanzas Académicas: UD5-SISTEMAS-DE-ECUACIONES-E-INECUACIONES-4o-ESO.pdf

11 páginas

He publicado nuevos apuntes de 4º Matemáticas Orientadas a las Enseñanzas Académicas: UD4-ECUACIONES-E-INECUACIONES-4oESO.pdf

12 páginas

He publicado nuevos apuntes de 4º Matemáticas Orientadas a las Enseñanzas Académicas: UD3-EXPRESIONES-ALGEBRAICAS-4o-ESO.pdf

14 páginas

He publicado nuevos apuntes de 4º Matemáticas Orientadas a las Enseñanzas Académicas: UD1-UD2-4o-ESO.pdf

29 páginas

He publicado nuevos apuntes de 4º Matemáticas Orientadas a las Enseñanzas Académicas: mates-t12-probabilidad.pdf

4 páginas

He publicado nuevos apuntes de 4º Matemáticas Orientadas a las Enseñanzas Académicas: mates-tema-6-geometria-analitica.pdf

6 páginas

He publicado nuevos apuntes de 4º Matemáticas Orientadas a las Enseñanzas Académicas: mates-tema-5-trigonometria.pdf

4 páginas

He publicado nuevos apuntes de 4º Matemáticas Orientadas a las Enseñanzas Académicas: mates-t4-funciones.pdf

5 páginas

He publicado nuevos apuntes de 4º Matemáticas Orientadas a las Enseñanzas Académicas: mates-t3.pdf

5 páginas

He publicado nuevos apuntes de 4º Matemáticas Orientadas a las Enseñanzas Académicas: mates-tema-2.pdf

5 páginas

He publicado nuevos apuntes de 4º Matemáticas Orientadas a las Enseñanzas Académicas: mates-tema-1.pdf

3 páginas

He publicado nuevos ejercicios de 4º Matemáticas Orientadas a las Enseñanzas Académicas: Ejercicios-Tema-1 - Numeros Reales.pdf

4 páginas

He publicado nuevos apuntes de 4º Matemáticas Orientadas a las Enseñanzas Académicas: Tema-1-Numeros-reales.pdf

3 páginas

Teoría para entender los polinomios

9 páginas

apuntes

-

Mates 4º ESO

He publicado nuevos apuntes de 4º Matemáticas Orientadas a las Enseñanzas Académicas: Mates 4º ESO

Tema-1-NUMERACION.pdf
Tema-2-EXPRESIONES-ALGEBRAICAS.pdf
Tema-3-TRIGONOMETRIA.pdf
Tema-4-ECUACIONES-Y-SISTEMAS.pdf
Tema-5-INECUACIONES-Y-SISTEMAS.pdf
Tema-6-FUNCIONES-mates-4oESO.pdf

He publicado nuevos apuntes de 4º Matemáticas Orientadas a las Enseñanzas Académicas: tabla-areas.pdf

1 página

He publicado nuevos apuntes de 4º Matemáticas Orientadas a las Enseñanzas Académicas: numeros-primos-tabla-1-200.pdf

1 página

He publicado nuevos apuntes de 4º Matemáticas Orientadas a las Enseñanzas Académicas: Matematicas-4-eso1.pdf

1 página

He publicado nuevos apuntes de 4º Matemáticas Orientadas a las Enseñanzas Académicas: Geometriatrigonometriavectores1.pdf

1 página

He publicado nuevos apuntes de 4º Matemáticas Orientadas a las Enseñanzas Académicas: Tema-10.-Introduccion-al-concepto-de-limite.pdf

1 página

He publicado nuevos apuntes de 4º Matemáticas Orientadas a las Enseñanzas Académicas: Tema-9.-Funciones-elementales.pdf

2 páginas

He publicado nuevos apuntes de 4º Matemáticas Orientadas a las Enseñanzas Académicas: Tema-8.-Funciones.pdf

2 páginas

He publicado nuevos apuntes de 4º Matemáticas Orientadas a las Enseñanzas Académicas: Tema-7.-Geometria-analitica.pdf

2 páginas

He publicado nuevos apuntes de 4º Matemáticas Orientadas a las Enseñanzas Académicas: Tema-6.-Aplicaciones-de-la-trigonometria.pdf

1 página

He publicado nuevos apuntes de 4º Matemáticas Orientadas a las Enseñanzas Académicas: Tema-5.-Semejanza-y-trigonometria.pdf

2 páginas

He publicado nuevos apuntes de 4º Matemáticas Orientadas a las Enseñanzas Académicas: Tema-3.-Ecuaciones-y-sistemas.pdf

2 páginas