chevron_left
chevron_right
Todo
Apuntes
Ejercicios
Exámenes
Prácticas
Trabajos
chevron_left
chevron_right

apuntes

-

Temario Examen Final Matemáticas para Economía y Empresa UCV

Apuntes de Matemáticas para Economía y Empresa con teoría y ejercicios hechos en clase. Incluye los temas que entran en el examen final: diagonalización de matrices, procesos de Markov, óptimos e integrales. Calificación final obtenida: Matrícula de Honor

Tema-1.-Algebra-matricial..pdf
Tema-2.-Sistemas-de-ecuaciones-lineales..pdf
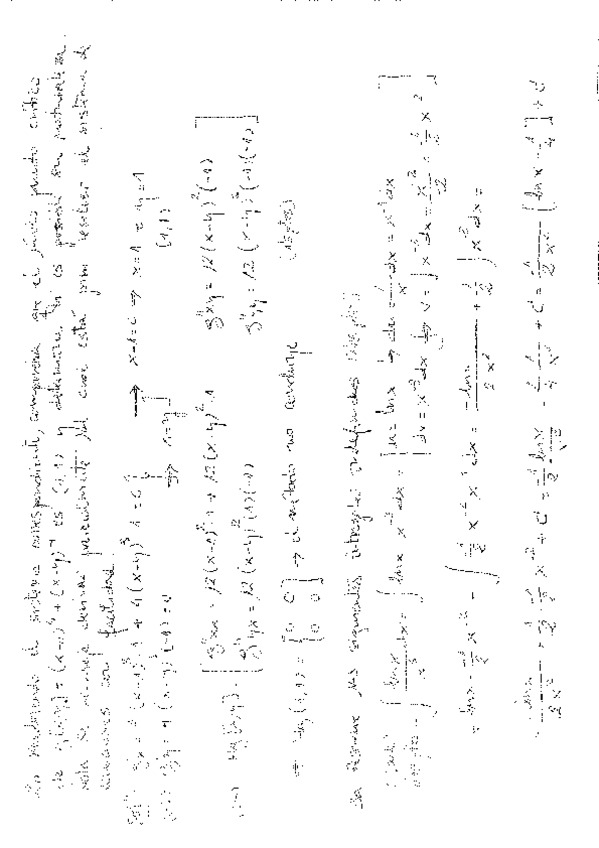
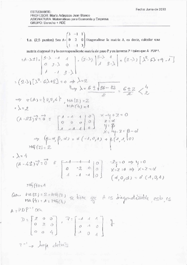
Tema-3.-Diagonalizacion-de-matrices..pdf
Tema-6.-Funcion-real-de-varias-variables.-Diferenciacion.-Optimizacion..pdf
Tema-7.-Funcion-real-de-variable-real.-Calculo-integral..pdf
Anónimo

@Anónimo

Apuntes diagonalización

9 páginas
Anónimo

@Anónimo

Ejercicios resueltos tipo examen para practicar

7 páginas
Anónimo

@Anónimo

Esquema examen final

9 páginas
Anónimo

@Anónimo

apuntes

-

Matemáticas para Economía y Empresa

He publicado nuevos apuntes de 1º Matemáticas para Economía y Empresa: Matemáticas para Economía y Empresa

1C1CMatematicas-para-Economia-y-Empresa.pdf
tabla-derivadas.docx
tabla-integrales.jpg.docx

apuntes

-

ACTIVIDADES EVALUABLES

He publicado nuevos apuntes de 1º Matemáticas para Economía y Empresa: ACTIVIDADES EVALUABLES

AE1.-Correccion.pdf
AE3.-Correccion.pdf
AE2.-Correccion.pdf
Anónimo

@Anónimo

He publicado nuevos apuntes de 1º Matemáticas para Economía y Empresa: APUNTES-MATE.pdf

16 páginas

He publicado nuevos trabajos de 1º Matemáticas para Economía y Empresa: AE1.pdf

6 páginas
Anónimo

@Anónimo

He publicado nuevos apuntes de 1º Matemáticas para Economía y Empresa: APUNTES-MATE-T3.pdf

2 páginas
Anónimo

@Anónimo

He publicado nuevos apuntes de 1º Matemáticas para Economía y Empresa: APUNTES-MATE-T2.pdf

3 páginas
Anónimo

@Anónimo

He publicado nuevos apuntes de 1º Matemáticas para Economía y Empresa: APUNTES-MATE-T1.pdf

2 páginas

examenes

-

Exámenes años anteriores

He publicado nuevos examenes de 1º Matemáticas para Economía y Empresa: Exámenes años anteriores

EXAMEN-PRIMERA-CONVOCATORIA-2019-2020.pdf
EXAMEN-PRIMERA-CONVOCATORIA-2016-2017.pdf
EXAMEN-PRIMERA-CONVOCATORIA-2015-2016.pdf
EXAMEN-PRIMERA-CONVOCATORIA-2017-2018.pdf

He publicado nuevos practicas de 1º Matemáticas para Economía y Empresa: Practica-1.pdf

9 páginas
¡Estás al día!

¡Estás al día!

Has visto todos los archivos