Matemáticas para la Arquitectura 2

chevron_left
chevron_right
Todo
Apuntes
Ejercicios
Exámenes
Otros
Prácticas
chevron_left
chevron_right

He publicado nuevos ejercicios de 1º Matemáticas para la Arquitectura 2: Tema-4-mates-ejercicios.pdf

11 páginas

He publicado nuevos ejercicios de 1º Matemáticas para la Arquitectura 2: Tema-5-mates-ejercicios.pdf

12 páginas

He publicado nuevos examenes de 1º Matemáticas para la Arquitectura 2: Examen-resuelto.pdf

5 páginas

He publicado nuevos apuntes de 1º Matemáticas para la Arquitectura 2: Examen-1P-MA2-1.pdf

5 páginas

He publicado nuevos apuntes de 1º Matemáticas para la Arquitectura 2: ExamenMA21OP1P2324resuelto-2.pdf

5 páginas

He publicado nuevos apuntes de 1º Matemáticas para la Arquitectura 2: TEMA-5.pdf

18 páginas

He publicado nuevos apuntes de 1º Matemáticas para la Arquitectura 2: T-4..pdf

16 páginas

apuntes

-

T4 mates, lo más importante

He publicado nuevos apuntes de 1º Matemáticas para la Arquitectura 2: T4 mates, lo más importante

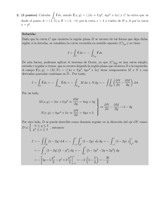
image.jpg
image.jpg

He publicado nuevos examenes de 1º Matemáticas para la Arquitectura 2: SEGUNDO-PARCIAL-EXAMEN-2024.pdf

1 página

He publicado nuevos examenes de 1º Matemáticas para la Arquitectura 2: PRIMER-EXAMEN-PARCIAL.pdf

1 página

He publicado nuevos practicas de 1º Matemáticas para la Arquitectura 2: PRACTICA-A-Y-B-TEMA-4.pdf

2 páginas

He publicado nuevos practicas de 1º Matemáticas para la Arquitectura 2: PRACTICA-A-Y-B-TEMA-5.pdf

2 páginas

otros

-

Apuntes y Exámenes resueltos Matemáticas 2

He publicado nuevos otros de 1º Matemáticas para la Arquitectura 2: Apuntes y Exámenes resueltos Matemáticas 2

Formulas-Matematicas-2.pdf
Matematicas-2-Apuntes-y-examenes-resueltos.pdf
Matematicas-2-examenes-resueltos-Parte-2.pdf
Matematicas-2-examenes-resueltos-Parte-1.pdf

examenes

-

Exámenes Matemáticas 2

He publicado nuevos examenes de 1º Matemáticas para la Arquitectura 2: Exámenes Matemáticas 2

Examen-Matematicas-2-1Op-Final-2023.pdf
Examen-Matematicas-2-Final-2023.pdf
Examen-Matematicas-2-Primer-Parcial-2023.pdf
Examen-Matematicas-2-Segundo-Parcial-2023.pdf
Examen-Matematicas-2-1Op-Primer-Parcial-2024.pdf
Examen-Matematicas-2-1Op-Segundo-Parcial-2024.pdf

He publicado nuevos examenes de 1º Matemáticas para la Arquitectura 2: ExamenMA21P2223.pdf

4 páginas

He publicado nuevos examenes de 1º Matemáticas para la Arquitectura 2: ExamenMA2Final1OP2P2023resuelto.pdf

3 páginas

He publicado nuevos examenes de 1º Matemáticas para la Arquitectura 2: ExamenMA2Final1OP1P2023resuelto.pdf

4 páginas

He publicado nuevos examenes de 1º Matemáticas para la Arquitectura 2: ExamenMA22P2023Resuelto.pdf

4 páginas

He publicado nuevos examenes de 1º Matemáticas para la Arquitectura 2: ExamenMA21P2022Resuelto.pdf

4 páginas

He publicado nuevos ejercicios de 1º Matemáticas para la Arquitectura 2: Apuntes-y-ejercicios-parcial-2-mate-2.pdf

28 páginas

He publicado nuevos ejercicios de 1º Matemáticas para la Arquitectura 2: Apuntes-primer-parcial-mate-2.pdf

32 páginas

He publicado nuevos apuntes de 1º Matemáticas para la Arquitectura 2: T4IntegracionMultipleApuntesMA2Curso1920.pdf

26 páginas

He publicado nuevos ejercicios de 1º Matemáticas para la Arquitectura 2: T4EjerciciosIntegracionMultipleEjerciciosMA2Curso1920.pdf

5 páginas

He publicado nuevos apuntes de 1º Matemáticas para la Arquitectura 2: T3ResumenGeometriaDiferencialDeSuperficiesApuntesMA2Curso1920.pdf

5 páginas

He publicado nuevos apuntes de 1º Matemáticas para la Arquitectura 2: T3GeometriaDiferencialDeSuperficiesApuntesMA2Curso1920.pdf

12 páginas

He publicado nuevos apuntes de 1º Matemáticas para la Arquitectura 2: T2ResumenGeometriaDiferencialDeCurvasMA2Curso1920.pdf

4 páginas

He publicado nuevos ejercicios de 1º Matemáticas para la Arquitectura 2: T3EjerciciosGeometriaDiferencialDeSuperficiesEjerciciosMA2Curso1920.pdf

16 páginas

He publicado nuevos ejercicios de 1º Matemáticas para la Arquitectura 2: T2EjerciciosGeometriaDiferencialDeCurvasEjerciciosMA2Curso1920.pdf

9 páginas

He publicado nuevos apuntes de 1º Matemáticas para la Arquitectura 2: T1ResumenCurvasYSuperficiesMA2Curso1920.pdf

4 páginas

He publicado nuevos apuntes de 1º Matemáticas para la Arquitectura 2: T1CurvasYSuperficiesApuntesMA2Curso1920.pdf

19 páginas

He publicado nuevos ejercicios de 1º Matemáticas para la Arquitectura 2: T1EjerciciosCurvasYSuperficiesEjerciciosMA2Curso1920.pdf

8 páginas

apuntes

-

2º parcial

He publicado nuevos apuntes de 1º Matemáticas para la Arquitectura 2: 2º parcial

Teoremas.pdf
Coordenadas.pdf
Integrales-e-Parametrizacion.pdf

apuntes

-

1ª parcial

He publicado nuevos apuntes de 1º Matemáticas para la Arquitectura 2: 1ª parcial

1.-Elementos-do-Triedro-de-Frenet.pdf
2.-Formas-Fundamentales.pdf
3.-Curvaturas-e-Direccions.pdf

examenes

-

Exámenes matemáticas 2

He publicado nuevos examenes de 1º Matemáticas para la Arquitectura 2: Exámenes matemáticas 2

Boletin-3.pdf
Boletin-1.pdf
Boletin-2.pdf

apuntes

-

Prácticas Matemáticas 2

He publicado nuevos apuntes de 1º Matemáticas para la Arquitectura 2: Prácticas Matemáticas 2

Practica-1.pdf
Practica-2.pdf
Practica-3.pdf
Practica-4.pdf
¡Estás al día!

¡Estás al día!

Has visto todos los archivos