Todo
Apuntes
Ejercicios
Exámenes
Prácticas
publication
chevron_left
chevron_right

Colección de exámenes parciales y finales

37 páginas

Apuntes de clase del tema 4 del bloque 2

5 páginas

Este es un pequeño proyecto que ayuda a revisar si has realizado bien un ejercicio del bloque 1. Lo podeis descargar y usar a plazer. No me hago responsable si lo usais en algun examen de practica

1 página

Diapositivas del tema 3 del bloque 2, junto con apuntes y ejercicios de clase resueltos.

31 páginas

Diapositivas del tema 2 del bloque 2, junto con apuntes y ejercicios de clase resueltos.

58 páginas

Diapositivas del tema 1 del bloque 2, junto con apuntes y ejercicios de clase resueltos.

72 páginas

Chuletario con resumen por temas de las partes más importantes y que suelen caer en exámenes.

23 páginas

Por algun motivo los profesores se niegan a subir este tema

6 páginas

Queja formal de la asignatura

Buenas compañeros, no se si mucha gente va a ver este mensaje, pero quería saber cuantos de vosotros estaríais dispuestos a realizar una queja formal por la asignatura, llevandolo a donde lo tengan que llevar. Aquí más o menos tenemos el anonimato, así que al menos podemos ver lo que pensamos sin miedo a represalias, y la verdad, está siendo abusivo el comportamiento de juanvi. Un 100% de suspensos es algo ilógico mires como lo mires.

examenes

-

Exámenes RESUELTOS 2024 MC

He publicado nuevos examenes de 4º Matemáticas para la Computación: Exámenes RESUELTOS 2024 MC

Convocatoria-Enero-2024-RESUELTA-MC.pdf
Convocatoria-Julio-2024-RESUELTA-MC.pdf
Enunciado-Convocatoria-Julio-2024.pdf

examenes

-

Exámenes RESUELTOS 2023 MC

He publicado nuevos examenes de 4º Matemáticas para la Computación: Exámenes RESUELTOS 2023 MC

Parcial-Diciembre-2023-RESUELTO-MC.pdf

examenes

-

Exámenes RESUELTOS 2019 MC

He publicado nuevos examenes de 4º Matemáticas para la Computación: Exámenes RESUELTOS 2019 MC

Convocatoria-Septiembre-2019-RESUELTA-MC.pdf

examenes

-

Exámenes RESUELTOS 2018 MC

He publicado nuevos examenes de 4º Matemáticas para la Computación: Exámenes RESUELTOS 2018 MC

Convocatoria-Diciembre-2018-RESUELTA-MC.pdf

examenes

-

Exámenes RESUELTOS 2017 MC

He publicado nuevos examenes de 4º Matemáticas para la Computación: Exámenes RESUELTOS 2017 MC

Convocatoria-Septiembre-2017-RESUELTA-MC.pdf
Enunciado-Convocatoria-Septiembre-2017.pdf
Convocatoria-Diciembre-2017-Resuelta.pdf

examenes

-

Exámenes RESUELTOS 2016 MC

He publicado nuevos examenes de 4º Matemáticas para la Computación: Exámenes RESUELTOS 2016 MC

Enunciado-Convocatoria-Enero-2016.pdf
Enunciado-Convocatoria-Septiembre-2016.pdf
Enunciado-Convocatoria-Diciembre-2016.pdf
Enunciado-Primer-Parcial-2016.pdf
Enunciado-Segundo-Parcial-2016.pdf
Convocatoria-Diciembre-2016-RESUELTA-MC.pdf

examenes

-

Exámenes RESUELTOS 2015 MC

He publicado nuevos examenes de 4º Matemáticas para la Computación: Exámenes RESUELTOS 2015 MC

Enunciado Convocatoria-Enero-2015.pdf
Enunciado Convocatoria-Septiembre-2015.pdf
Parcial-2015-RESUELTO-MC.pdf
Enunciado Convocatoria-Diciembre-2015.pdf
Enunciado Parcial-2015.pdf

examenes

-

Exámenes RESUELTOS 2014 MC

He publicado nuevos examenes de 4º Matemáticas para la Computación: Exámenes RESUELTOS 2014 MC

Examen-Diciembre-2014-RESUELTO-MC.pdf
Enunciado Convocatoria-Enero-2014.pdf
Enunciado Convocatoria-Septiembre-2014.pdf
Convocatoria-Enero-2014-RESUELTA-MC.pdf
Enunciado Convocatoria-Diciembre-2014.pdf
Enunciado Parcial-2014.pdf

examenes

-

Exámenes RESUELTOS 2013 MC

He publicado nuevos examenes de 4º Matemáticas para la Computación: Exámenes RESUELTOS 2013 MC

Enunciado-Primer-Parcial-2013.pdf
Enunciado-Segundo-Parcial-2013.pdf
Primer-Parcial-2013-RESUELTO-MC.pdf

He publicado nuevos examenes de 4º Matemáticas para la Computación: examenes-resueltos-mc.pdf

73 páginas

He publicado nuevos examenes de 4º Matemáticas para la Computación: MC-examen-20-01-2016-resuelto.pdf

13 páginas

He publicado nuevos examenes de 4º Matemáticas para la Computación: MC-examen-19-12-2013-resuelto.pdf

14 páginas

He publicado nuevos examenes de 4º Matemáticas para la Computación: MC-examen-16-12-2021-resuelto.pdf

10 páginas

Ejercicio de mapas bidimensionales resuelto del examen del 21-12-2015

8 páginas

He publicado nuevos examenes de 4º Matemáticas para la Computación: MC-examen-07-09-2015-resuelto.pdf

22 páginas

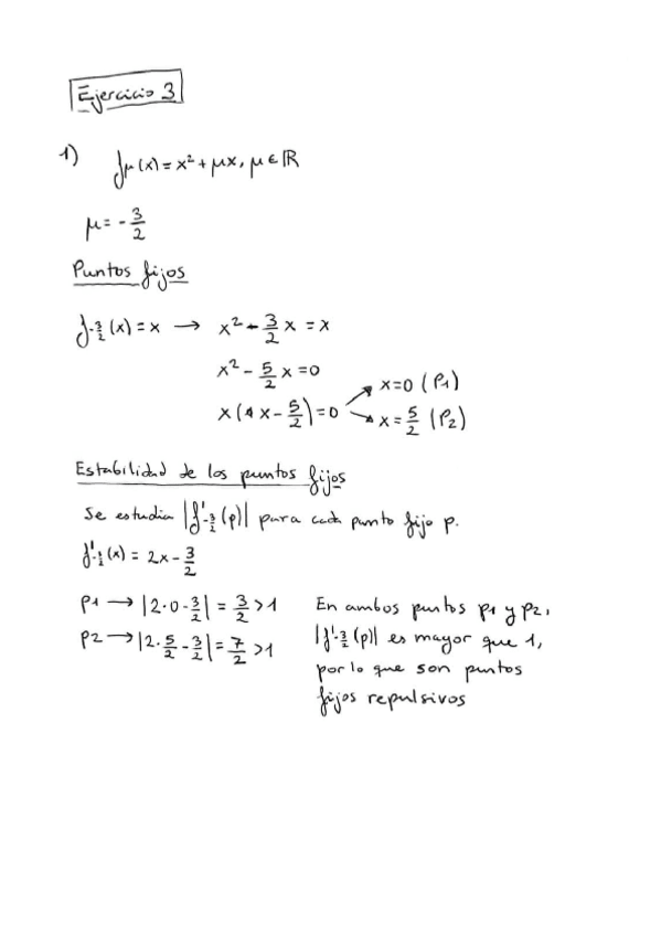
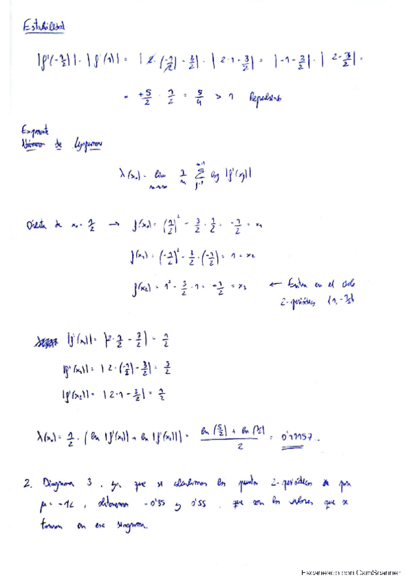
Ejercicios BLOQUE 2 (ej 3 y 4) + código SAGE para el ejercicio 4

10 páginas

He publicado nuevos apuntes de 4º Matemáticas para la Computación: Tema-4-Introduccion-a-la-geometria-fractal.pdf

20 páginas

He publicado nuevos examenes de 4º Matemáticas para la Computación: MC-examen-21-12-2023-Enunciado.pdf

4 páginas

He publicado nuevos examenes de 4º Matemáticas para la Computación: Examen-27-01-2014-Resuelto.pdf

17 páginas

apuntes

-

Apuntes MC

He publicado nuevos apuntes de 4º Matemáticas para la Computación: Apuntes MC

Apuntes-Bloque-II-Tema-4-MC.pdf
Apuntes-Bloque-II-Tema-1-MC.pdf
Apuntes-Bloque-II-Tema-2-MC.pdf
Apuntes-Bloque-I-Tema-1-MC.pdf
Apuntes-Bloque-I-Tema-2-MC.pdf
Apuntes-Bloque-I-Tema-3-MC.pdf
Anónimo

@Anónimo

He publicado nuevos practicas de 4º Matemáticas para la Computación: MCpractica5.pdf

40 páginas

He publicado nuevos practicas de 4º Matemáticas para la Computación: MC-practica-5-2022-23.pdf

1 página

He publicado nuevos practicas de 4º Matemáticas para la Computación: MC-practica-4-2022-23.pdf

1 página

He publicado nuevos practicas de 4º Matemáticas para la Computación: MC-practica-1-2022-23.pdf

1 página

He publicado nuevos practicas de 4º Matemáticas para la Computación: MC Practica 3 2022-23.pdf

1 página

He publicado nuevos apuntes de 4º Matemáticas para la Computación: MC-Tema-1.pdf

22 páginas

He publicado nuevos apuntes de 4º Matemáticas para la Computación: Primer-bloque-MC.pdf

33 páginas
¡Estás al día!

¡Estás al día!

Has visto todos los archivos