chevron_left
chevron_right
Todo
Apuntes
Ejercicios
Exámenes
chevron_left
chevron_right

Reto 1 resuelto

1 página

He publicado nuevos apuntes de 1º Matemáticas para la Computación: Practicas-de-MC-SEGUNDO-PARCIAL.pdf

10 páginas

He publicado nuevos apuntes de 1º Matemáticas para la Computación: Guia-segundo-parcial.pdf

6 páginas

He publicado nuevos apuntes de 1º Matemáticas para la Computación: Formulario-primer-parcial.pdf

8 páginas

He publicado nuevos apuntes de 1º Matemáticas para la Computación: Apuntes-y-ejercicios-para-primer-parcial.pdf

33 páginas

ejercicios

-

Ejercicios tema 2

He publicado nuevos ejercicios de 1º Matemáticas para la Computación: Ejercicios tema 2

2.9-Multiplicadores-de-Lagrange.pdf

apuntes

-

Tema 5

He publicado nuevos apuntes de 1º Matemáticas para la Computación: Tema 5

T5-1-Polinomio-de-Taylor.pdf

apuntes

-

Tema 4

He publicado nuevos apuntes de 1º Matemáticas para la Computación: Tema 4

T4-1-Intro-ecuaciones-diferenciales.pdf

apuntes

-

Tema 3

He publicado nuevos apuntes de 1º Matemáticas para la Computación: Tema 3

T3-2-Tecnicas-de-integracion.pdf
T3-3-Integral-definida.pdf
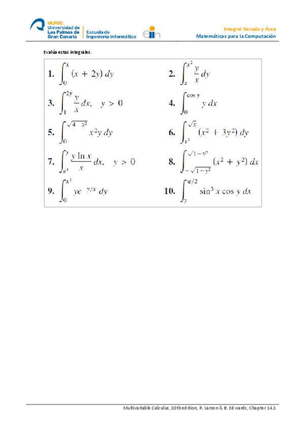
T3-5-Integral-iterada.pdf
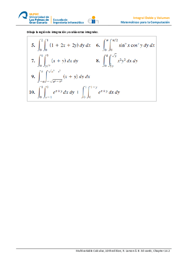
T3-6-Integral-doble-y-volumen.pdf
T3-8-Integral-polar.pdf

apuntes

-

Tema 2

He publicado nuevos apuntes de 1º Matemáticas para la Computación: Tema 2

T2-2-Continuidad-y-derivadas-parciales.pdf
T2-8-Multiplicadores-de-Lagrange.pdf

He publicado nuevos examenes de 1º Matemáticas para la Computación: Especial-2025.pdf

1 página

examenes

-

Examen Parte 2 Ordinaria MC 2025 (Corregido)

Adjunto dos PDFs con los ejercicios resueltos del examen de ordinaria de 2025. Disculpen la letra JSJSJ. Los hice un poco largos, para que quedase lo mejor explicado posible. PDF Vol.1 --> Ejercicios de Integrales (1-4) PDF Vol.2 ---> Ejercicios de dif

Examen-Parte-2-Ordinaria-2025-Corregido-Vol.1.pdf
Examen-Parte-2-Ordinaria-2025-Corregido-Vol.2.pdf

Examen Parcial Parte 2 Convocatoria Ordinaria 2025. Más tarde adjuntaré la corrección.

3 páginas

He publicado nuevos ejercicios de 1º Matemáticas para la Computación: Reto-Muelle.pdf

1 página

He publicado nuevos ejercicios de 1º Matemáticas para la Computación: Reto-Cohete.pdf

1 página
Anónimo

@Anónimo

EJERCICIOS VARIOS DIVIDOS POR PARCIAL 1 Y 2

48 páginas

apuntes

-

Teoría tema 5

He publicado nuevos apuntes de 1º Matemáticas para la Computación: Teoría tema 5

T5-2-Series-de-potencias.pdf
T5-1-Polinomio-de-Taylor.pdf

apuntes

-

Problemas tema 5

He publicado nuevos apuntes de 1º Matemáticas para la Computación: Problemas tema 5

5.1-Polinomios-de-Taylor.pdf
5.2-Series-de-Potencias.pdf

apuntes

-

Teoría tema 4

He publicado nuevos apuntes de 1º Matemáticas para la Computación: Teoría tema 4

T4-1-Intro-ecuaciones-diferenciales.pdf
T4-2-Ecuaciones-separables-y-homogeneas.pdf
T4-3-Exactas-de-primer-orden.pdf
T4-4-Lineales-de-primer-orden.pdf
T4-5-Homogeneas-segundo-orden.pdf

apuntes

-

Problemas tema 4

He publicado nuevos apuntes de 1º Matemáticas para la Computación: Problemas tema 4

4.1-Introduccion-a-las-Ecuaciones-Diferenciales.pdf
4.2-Ecuaciones-Diferenciales-Exactas-de-Primer-Orden.pdf
4.3-Ecuaciones-Diferenciales-Lineales-de-Primer-Orden.pdf

apuntes

-

Teoría tema 3

He publicado nuevos apuntes de 1º Matemáticas para la Computación: Teoría tema 3

T3-7-Curvas-polares-y-derivada.pdf
T3-8-Integral-polar-y-area-superficie.pdf
T3-1-Integral-indefinida.pdf
T3-2-Tecnicas-de-integracion.pdf
T3-3-Integral-definida.pdf
T3-4-Area-entre-curvas-y-volumen-revolucion.pdf

apuntes

-

Problemas tema 3

He publicado nuevos apuntes de 1º Matemáticas para la Computación: Problemas tema 3

3.3-Integral-Definida.pdf
3.4-Area-entre-Curvas-y-Volumenes-de-Revolucion.pdf
3.5-Integral-Iterada-y-Area.pdf
3.6-Integral-Doble-y-Volumen.pdf
3.7-Curvas-Polares-Derivada-Polar.pdf
3.8-Integral-Polar.pdf

apuntes

-

Teoría tema 2

He publicado nuevos apuntes de 1º Matemáticas para la Computación: Teoría tema 2

T2-2-Continuidad-y-derivadas-parciales.pdf
T2-3-Funciones-parametricas-y-derivada.pdf
T2-4-Regla-de-la-cadena-y-derivada-implicita.pdf
T2-5-Derivada-direccional-y-gradiente.pdf
T2-6-Extremos-y-optimizacion-1-variable.pdf
T2-7-Extremos-y-optimizacion-varias-variables.pdf

apuntes

-

Problemas Tema 2

He publicado nuevos apuntes de 1º Matemáticas para la Computación: Problemas Tema 2

2.1-Derivadas-de-Una-Variable-Tangentes-Velocidad-Aceleracion.pdf
2.2-Limites-y-Continuidad-de-Funciones-de-Varias-Variables-Derivadas-Parciales.pdf
2.3-Curvas-Parametricas-Derivada-Parametrica.pdf
2.4-Regla-de-la-Cadena-Derivada-Implicita.pdf
2.5-Derivada-Direccional-y-Gradiente.pdf
2.6-Plano-Tangente-y-Recta-Normal.pdf

apuntes

-

Teoría tema 1

He publicado nuevos apuntes de 1º Matemáticas para la Computación: Teoría tema 1

T1-1-Conicas.pdf
T1-2-Espacio-3D-y-superficies.pdf
T1-3-Funciones-de-varias-variables.pdf
T1-4-Limites-y-continuidad-1-variable.pdf

apuntes

-

Problemas Tema 1

He publicado nuevos apuntes de 1º Matemáticas para la Computación: Problemas Tema 1

1.5-Limites-y-Continuidad-de-Funciones-de-Una-Variable.pdf
1.2-Conicas.pdf
1.3-Espacio-3D-y-Superficies-Cuadricas.pdf
1.4-Funciones-de-Varias-Variables.pdf

He publicado nuevos apuntes de 1º Matemáticas para la Computación: T1-4-Limites-y-continuidad-1-variable-1.pdf

31 páginas

He publicado nuevos ejercicios de 1º Matemáticas para la Computación: Ejercicios-de-Conicas-Resueltos.pdf

2 páginas

He publicado nuevos apuntes de 1º Matemáticas para la Computación: TABLA-DE-DERIVADAS.pdf

2 páginas

He publicado nuevos apuntes de 1º Matemáticas para la Computación: Resumen-Conicas-Espacios-y-Superficies-3D-Funciones-con-varias-variabels-Limites-y-Continuidad-Derivadas-de-Varias-Variables-Derivadas-direccionales-Extremos-Relativos-Optimizacion-y-Plano-tangente.pdf

9 páginas

He publicado nuevos apuntes de 1º Matemáticas para la Computación: CamScanner-02-12-2023-13.11-1.pdf

12 páginas

He publicado nuevos apuntes de 1º Matemáticas para la Computación: 1.pdf

5 páginas
Anónimo

@Anónimo

apuntes

-

Ejercicios

He publicado nuevos apuntes de 1º Matemáticas para la Computación: Ejercicios

Ejercicios-Complementarios-Analisis-Funcion-Real.pdf
Ejercicios-complementarios-continuidad-curvas-nivel.pdf
Ejercicios-Complementarios-Diferenciacion.pdf
Ejercicios-complementarios-derivacion.pdf
Ejemplos-de-clase-y-Problemas.pdf
Ejemplos-Problemas.pdf

apuntes

-

Cuadros resumen

He publicado nuevos apuntes de 1º Matemáticas para la Computación: Cuadros resumen

CUADROS-RESUMEN-T1-.pdf
CUADROS-RESUMEN-T2.pdf
Anónimo

@Anónimo

apuntes

-

Apuntes

He publicado nuevos apuntes de 1º Matemáticas para la Computación: Apuntes

Notes200830231643.pdf
Notes2008301943501.pdf

He publicado nuevos apuntes de 1º Matemáticas para la Computación: IMG-20190130-WA0035.jpg

Imagen

ejercicios

-

Ejercicios

SOLUCION ejercicios con jflap

AFD 1H.jpg
AFD 1D.jpg
AFD 1J.jpg
anbncn.jpg
AFD 1E.jpg
Unario.jpg

He publicado nuevos apuntes de 1º Matemáticas para la Computación: Forma Normal de Chomsky.pdf

4 páginas

He publicado nuevos apuntes de 1º Matemáticas para la Computación: Lenguajes Regulares.pdf

49 páginas

apuntes

-

Tema 6

He publicado nuevos apuntes de 1º Matemáticas para la Computación: Tema 6

escanear0002_001.png
escanear0001_001.png

He publicado nuevos apuntes de 1º Matemáticas para la Computación: Tema 1.jpg

Imagen

He publicado nuevos apuntes de 1º Matemáticas para la Computación: escanear0004_001.png

Imagen

He publicado nuevos apuntes de 1º Matemáticas para la Computación: escanear0003_001.png

Imagen

examenes

-

Examenes Mc

He publicado nuevos examenes de 1º Matemáticas para la Computación: Examenes Mc

exam0203.pdf
exam0304.pdf
exam0405.pdf
exam0506.pdf
exam0607.pdf
exam0708.pdf

examenes

-

Examenes Mc

He publicado nuevos examenes de 1º Matemáticas para la Computación: Examenes Mc

40805_ Final 1ª Parte.pdf
febrero A 11-12.pdf
febrero B 11-12.pdf
febrero C 11-12.pdf
junio A 10-11.pdf
junio A 11-12.pdf

examenes

-

Examenes Mc

He publicado nuevos examenes de 1º Matemáticas para la Computación: Examenes Mc

sep A 11-12.pdf
sep B 10-11.pdf
sep B 11-12.pdf
sep C 11-12.pdf
sep E 10-11.pdf

examenes

-

Examenes Mc

He publicado nuevos examenes de 1º Matemáticas para la Computación: Examenes Mc

junio C seg Semana 10-11.pdf
Junio C seg semana 11-12.pdf
junio seg Semana A 11-12.pdf
junioC 10-11.pdf
reserva 10-11.pdf
reserva 11-12.pdf

apuntes

-

Apuntes

He publicado nuevos apuntes de 1º Matemáticas para la Computación: Apuntes

Maquinas_de_Turing_2_Modo_de_compatibilidad_.pdf
Transparencia_AutomatasLanda.pdf
Transparencia_Equivalencia_AF_G_.pdf
Transparencia_Lenguajes_y_Gramaticas.pdf
¡Estás al día!

¡Estás al día!

Has visto todos los archivos