Matemáticas para la Economía y la Empresa
He publicado nuevos examenes de 1º Matemáticas para la Economía y la Empresa: Examen-leccion-2-y-3.pdf
Es todo lo visto en clase con la profesora durante toda la asignatura: apuntes, ejercicios resueltos, etc.
Apuntes y resúmenes, con actividades y ejercicios de lección 1 y lección 2
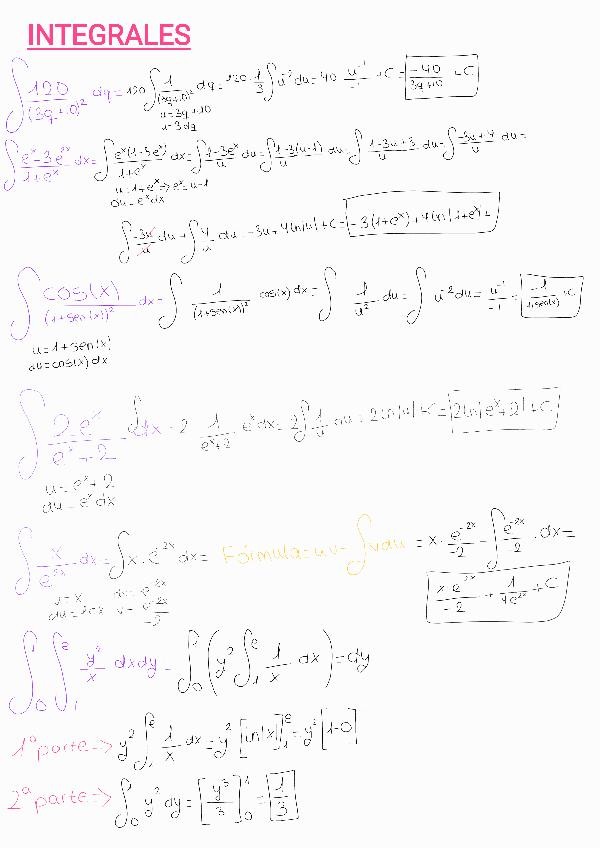
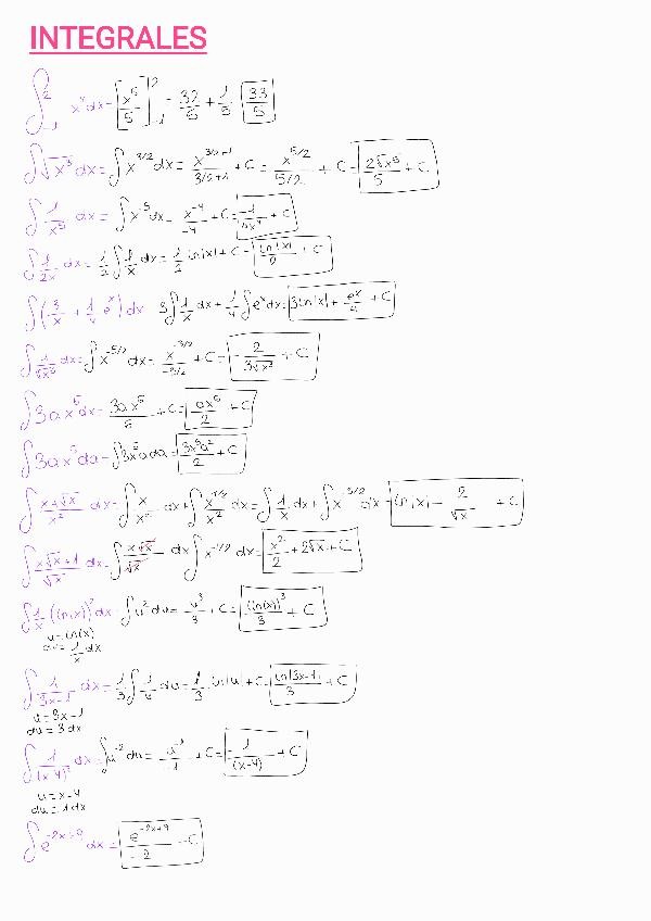
He publicado nuevos apuntes de 1º Matemáticas para la Economía y la Empresa: INTEGRALES.pdf
He publicado nuevos examenes de 1º Matemáticas para la Economía y la Empresa: examen.png
He publicado nuevos apuntes de 1º Matemáticas para la Economía y la Empresa: Mates-examen-resuelto.pdf
He publicado nuevos apuntes de 1º Matemáticas para la Economía y la Empresa: Repaso-final-temas-2-y-3.pdf
He publicado nuevos apuntes de 1º Matemáticas para la Economía y la Empresa: Tema-2-Mates.pdf
He publicado nuevos apuntes de 1º Matemáticas para la Economía y la Empresa: Tema-3-Mates.pdf
He publicado nuevos apuntes de 1º Matemáticas para la Economía y la Empresa: Repaso-para-parcial-1-tema-1.pdf
He publicado nuevos apuntes de 1º Matemáticas para la Economía y la Empresa: Tema-1-Mates.pdf
He publicado nuevos apuntes de 1º Matemáticas para la Economía y la Empresa: Tema-3-Esquemasteoria.pdf
He publicado nuevos apuntes de 1º Matemáticas para la Economía y la Empresa: Tema-2-Esquemasteoria.pdf
He publicado nuevos apuntes de 1º Matemáticas para la Economía y la Empresa: Tema-1-Esquemasteoria.pdf
apuntes
-
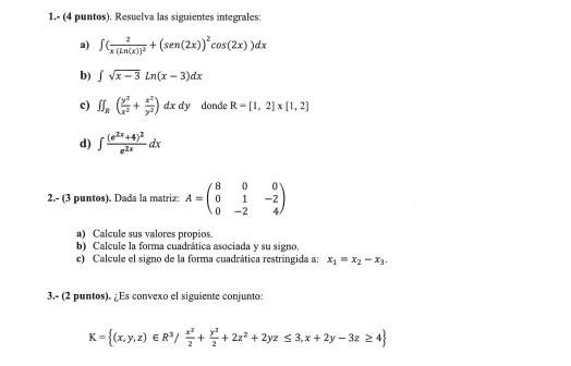
MATRICES (Teoría + Ejercicios + Problemas)
Tema 1-Matrices Incluye APUNTES + EJERCICIOS + PROBLEMAS
He publicado nuevos apuntes de 1º Matemáticas para la Economía y la Empresa: Ejercicios-T2-Mates-soluciones.pdf
He publicado nuevos apuntes de 1º Matemáticas para la Economía y la Empresa: Ejercicios-T1-Mates-solucionados.pdf
Tema 1 completo de matemáticas para el examen, teoría + práctica. En mi perfil tienes un examen corregido y explicado para complementarlo con esto y asegurar tu 10.
apuntes
-
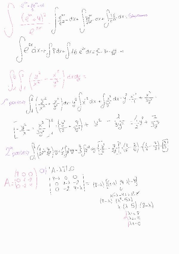
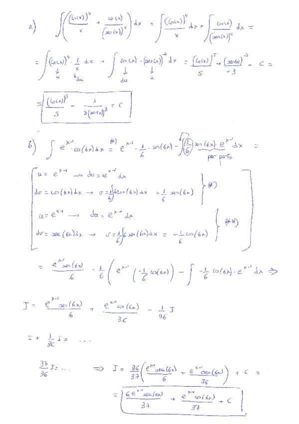
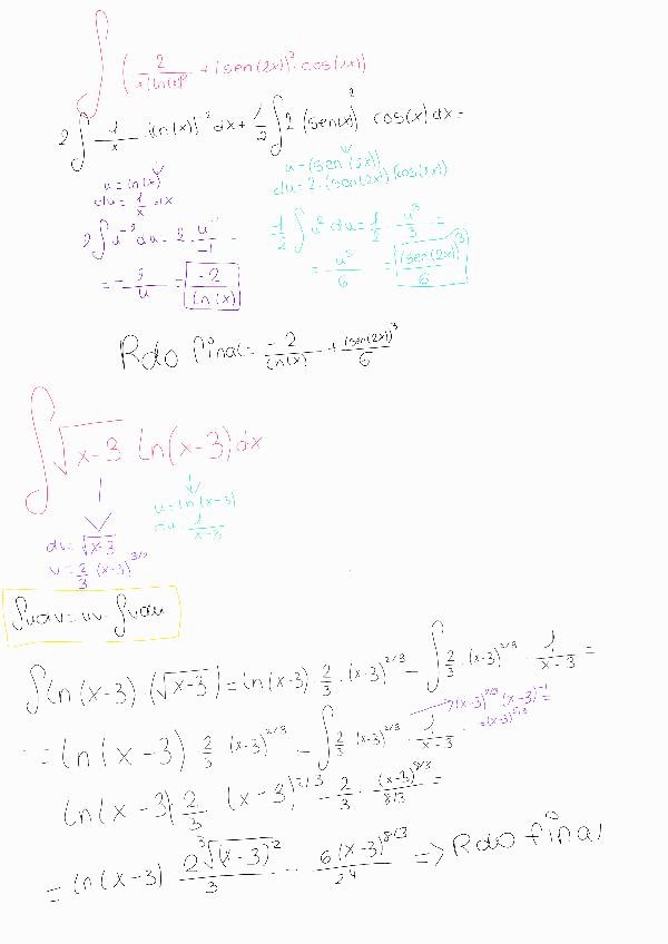
Teoría Completa Integrales- Definidas+Dobles+Por partes
He publicado nuevos apuntes de 1º Matemáticas para la Economía y la Empresa: Teoría Completa Integrales- Definidas+Dobles+Por partes
ejercicios
-
INTEGRALES- Ejercicios Completos: (Definidas+Dobles+Por partes)
INTEGRALES+INTEGRALES DEFINIDAS+DOBLES
Examen parcial, solamente resuelta la parte del tema 1.
He publicado nuevos examenes de 1º Matemáticas para la Economía y la Empresa: Examen-leccion-2-y-3.pdf
He publicado nuevos apuntes de 1º Matemáticas para la Economía y la Empresa: cuadro-resumen-conceptos-Tema-2.pdf
He publicado nuevos ejercicios de 1º Matemáticas para la Economía y la Empresa: relacion-de-ejercicios-complementaria-tema-2.pdf
He publicado nuevos apuntes de 1º Matemáticas para la Economía y la Empresa: Integrales-definida--Problemas.pdf
apuntes
-
IMG_3613
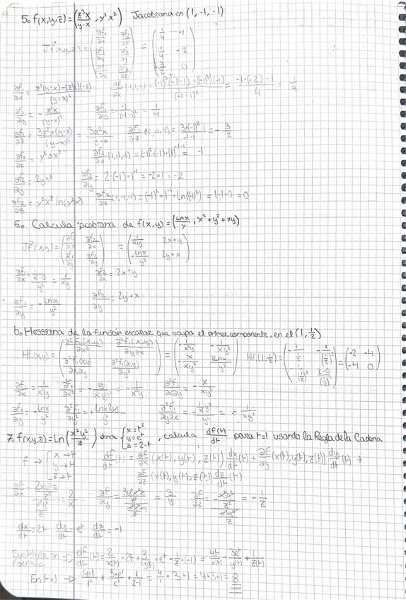
Derivadas parciales y hessiana
ejercicios
-
LECCIÓN 2-Funciones Derivables Parciales
RELACIÓN COMPLETA DE PROBLEMAS RESUELTOS
Ejercicios+Solución DERIVADAS PARCIALES- Tema 1
He publicado nuevos ejercicios de 1º Matemáticas para la Economía y la Empresa: PROBLEMAS-LECCION-1-PARTE-1.pdf
He publicado nuevos ejercicios de 1º Matemáticas para la Economía y la Empresa: PROBLEMAS-LECCION-1-IMPLICITAS.pdf
He publicado nuevos ejercicios de 1º Matemáticas para la Economía y la Empresa: RelacionProblemasLeccion2Solucion.pdf
Más ejercicios del curso completo aquí: (más para abajo en el doble grado de Economía + ADE hay más ejercicios resueltos)
He publicado nuevos apuntes de 1º Matemáticas para la Economía y la Empresa: EJERCICIOS-CORREGIDOS-Ingles.pdf
Concavidad y Convexidad e Integrales


He publicado nuevos apuntes de 1º Matemáticas para la Economía y la Empresa: mates-t4.pdf
He publicado nuevos ejercicios de 1º Matemáticas para la Economía y la Empresa: Integrales.pdf
He publicado nuevos apuntes de 1º Matemáticas para la Economía y la Empresa: Bloque-2-Matematicas.pdf
He publicado nuevos apuntes de 1º Matemáticas para la Economía y la Empresa: EJERCICIOS-DE-INTEGRALES.pdf
He publicado nuevos apuntes de 1º Matemáticas para la Economía y la Empresa: Resumen-tipos-de-derivadas.pdf
He publicado nuevos apuntes de 1º Matemáticas para la Economía y la Empresa: Resumen-formas-cuadraticas-formas-cuadraticas-restrictivas-y-concavidadconvexidad.pdf
He publicado nuevos apuntes de 1º Matemáticas para la Economía y la Empresa: Examen-final-matematicas-resuelto.pdf
He publicado nuevos examenes de 1º Matemáticas para la Economía y la Empresa: Examen-final-mates-economicas-25.pdf
He publicado nuevos examenes de 1º Matemáticas para la Economía y la Empresa: Examen-segunda-conv-ordinaria.pdf
ejercicios
-
Ejercicios tema 5
He publicado nuevos ejercicios de 1º Matemáticas para la Economía y la Empresa: Ejercicios tema 5
He publicado nuevos apuntes de 1º Matemáticas para la Economía y la Empresa: Segundo-Parcial.pdf
He publicado nuevos apuntes de 1º Matemáticas para la Economía y la Empresa: Tema-3-mates.pdf