Matemáticas para la Economía y la Empresa

chevron_left
chevron_right
Todo
Apuntes
Ejercicios
Exámenes
publication
chevron_left
chevron_right

Apuntes completos y actualizados del primer semestre del Grado en Economía en la UMA. El archivo incluye la teoría pasada a limpio de forma muy clara y, lo más importante, los ejercicios prácticos resueltos paso a paso para que no queden dudas de cara al

16 páginas
Anónimo

@Anónimo

todas las relaciones, ejercicos extra y de examnes

17 páginas
Anónimo

@Anónimo

formas cuadraticas y funciones convexas

11 páginas

He publicado nuevos apuntes de 1º Matemáticas para la Economía y la Empresa: Leccion-1-Resumen-Derivadas.pdf

7 páginas
Anónimo

@Anónimo

He publicado nuevos apuntes de 1º Matemáticas para la Economía y la Empresa: Relacion-complementaria-Leccion-2-EJERCICIOS-RESUELTOS.pdf

5 páginas
Anónimo

@Anónimo

He publicado nuevos apuntes de 1º Matemáticas para la Economía y la Empresa: Leccion-3-(4-6)-EJERCICIOS-RESUELTOS.pdf

6 páginas
Anónimo

@Anónimo

He publicado nuevos apuntes de 1º Matemáticas para la Economía y la Empresa: Leccion-3-1-3-EJERCICIOS-RESUELTOS.pdf

8 páginas
Anónimo

@Anónimo

He publicado nuevos apuntes de 1º Matemáticas para la Economía y la Empresa: Relacion-Basica-Leccion-2-EJERCICIOS-RESUELTOS.pdf

3 páginas
Anónimo

@Anónimo

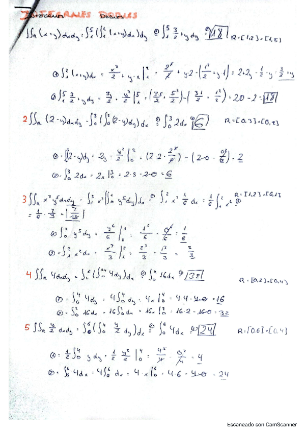
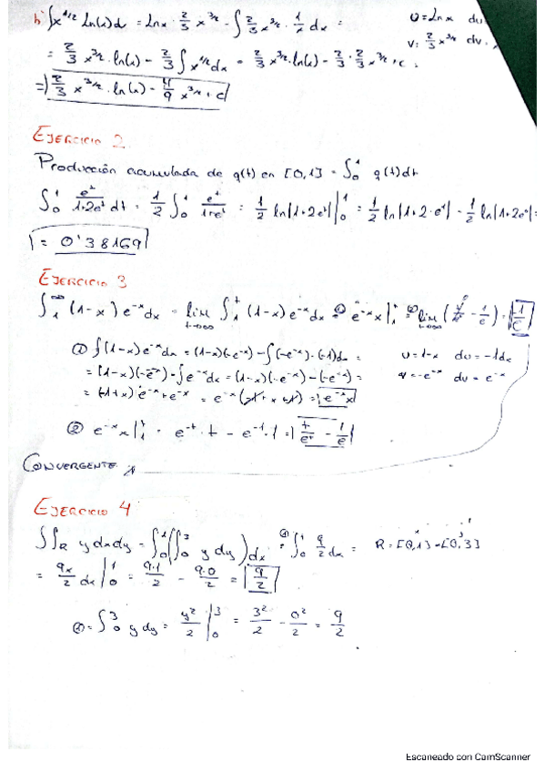
He publicado nuevos apuntes de 1º Matemáticas para la Economía y la Empresa: Integradas-dobles-EJERCICIOS-RESUELTOS.pdf

4 páginas
Anónimo

@Anónimo

He publicado nuevos apuntes de 1º Matemáticas para la Economía y la Empresa: Relacion-complementaria-(5-6)-Leccion-1-EJERCICIOS-RESUELTOS.pdf

19 páginas
Anónimo

@Anónimo

He publicado nuevos apuntes de 1º Matemáticas para la Economía y la Empresa: Relacion-complementaria-(1-4)-Leccion-1-EJERCICIOS-RESUELTOS.pdf

9 páginas
Anónimo

@Anónimo

He publicado nuevos apuntes de 1º Matemáticas para la Economía y la Empresa: Relacion-Basica-(1-4)-Leccion-1-EJERCICIOS-RESUELTOS.pdf

5 páginas
Anónimo

@Anónimo

He publicado nuevos apuntes de 1º Matemáticas para la Economía y la Empresa: Relacion-Basica-(5-6)-Leccion-1-EJERCICIOS-RESUELTOS.pdf

4 páginas

He publicado nuevos apuntes de 1º Matemáticas para la Economía y la Empresa: Primera-parte-de-leccion-1.pdf

10 páginas

He publicado nuevos apuntes de 1º Matemáticas para la Economía y la Empresa: Tema-2-Esquema-y-formulas.pdf

7 páginas

He publicado nuevos apuntes de 1º Matemáticas para la Economía y la Empresa: Relacion-Integrales-solucion.pdf

8 páginas

He publicado nuevos apuntes de 1º Matemáticas para la Economía y la Empresa: Ejercicios-derivadas-tema-1.pdf

10 páginas

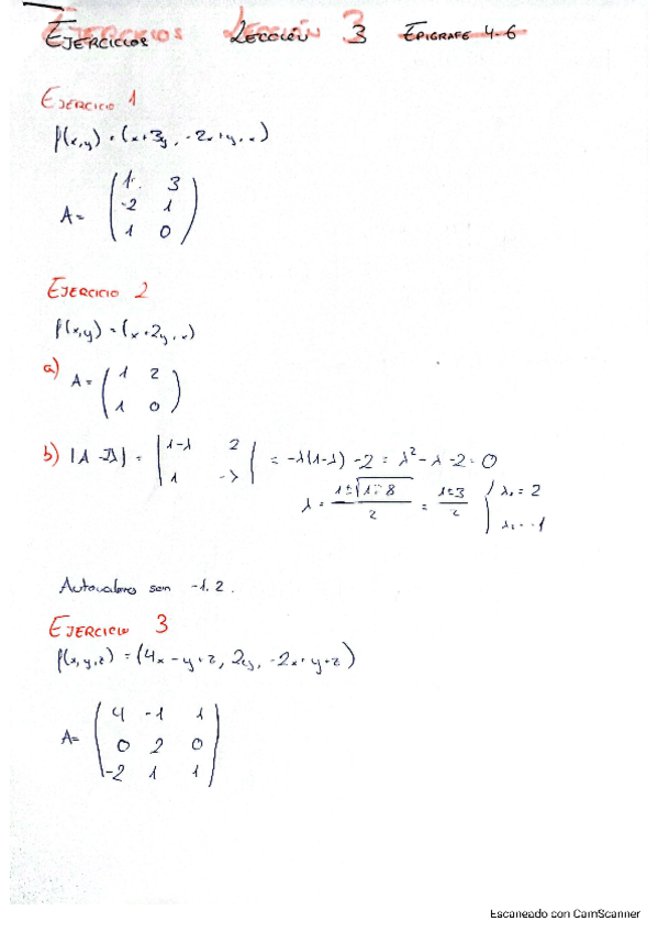
He publicado nuevos apuntes de 1º Matemáticas para la Economía y la Empresa: Leccion-4.-Aplicaciones-lineales.pdf

13 páginas

He publicado nuevos apuntes de 1º Matemáticas para la Economía y la Empresa: Leccion-3.-Integrales.pdf

10 páginas

He publicado nuevos apuntes de 1º Matemáticas para la Economía y la Empresa: Leccion-2.-Funciones.pdf

17 páginas

He publicado nuevos apuntes de 1º Matemáticas para la Economía y la Empresa: Leccion-1.-Algebra.pdf

11 páginas

He publicado nuevos ejercicios de 1º Matemáticas para la Economía y la Empresa: PROBLEMAS-LECCION-3.pdf

9 páginas

He publicado nuevos examenes de 1º Matemáticas para la Economía y la Empresa: Examen-Integrales-parcial-grupo-B-ECO.pdf

1 página

He publicado nuevos examenes de 1º Matemáticas para la Economía y la Empresa: Examen-Integrales-parcial-grupo-A-ECO.pdf

1 página

He publicado nuevos examenes de 1º Matemáticas para la Economía y la Empresa: Examen-Integrales-ECO.pdf

1 página

He publicado nuevos examenes de 1º Matemáticas para la Economía y la Empresa: Examen-Integrales-ADE.pdf

1 página

He publicado nuevos examenes de 1º Matemáticas para la Economía y la Empresa: Prueba-2.pdf

1 página

He publicado nuevos examenes de 1º Matemáticas para la Economía y la Empresa: PARCIAL.pdf

4 páginas
Anónimo

@Anónimo

He publicado nuevos examenes de 1º Matemáticas para la Economía y la Empresa: PRIMER-PARCIAL-MATEMATICAS-PARA-LA-ECONOMIA-Y-LA-EMPRESA.pdf

1 página

He publicado nuevos ejercicios de 1º Matemáticas para la Economía y la Empresa: formas-cuadraticas-ejercicios-resueltos.pdf

9 páginas

He publicado nuevos apuntes de 1º Matemáticas para la Economía y la Empresa: Tabla-de-derivadas.pdf

1 página

He publicado nuevos examenes de 1º Matemáticas para la Economía y la Empresa: Prueba2.pdf

1 página

He publicado nuevos apuntes de 1º Matemáticas para la Economía y la Empresa: Lección 1-Conceptos algebra matricial

4 páginas

He publicado nuevos examenes de 1º Matemáticas para la Economía y la Empresa: EXAMEN-INTEGRALES.pdf

2 páginas

He publicado nuevos examenes de 1º Matemáticas para la Economía y la Empresa: EXAMEN-MATRICES.pdf

2 páginas

He publicado nuevos examenes de 1º Matemáticas para la Economía y la Empresa: Parcial-2020-Enunciados-y-Solucion.pdf

4 páginas
Anónimo

@Anónimo

Primera prueba parcial de matemáticas

1 página

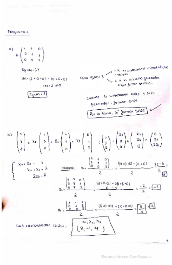
He publicado nuevos apuntes de 1º Matemáticas para la Economía y la Empresa: Apuntes-y-ejercicios-resueltos-y-explicados-Tema-3-Matrices-y-sistemas-de-ecuaciones.pdf

18 páginas

apuntes

-

APUNTES T.1,2,3

He publicado nuevos apuntes de 1º Matemáticas para la Economía y la Empresa: APUNTES T.1,2,3

TEMA-2.pdf
TEMA-1.pdf
TEMA-3.pdf

He publicado nuevos ejercicios de 1º Matemáticas para la Economía y la Empresa: Relacion-de-Problemas-Leccion-4.pdf

2 páginas

He publicado nuevos ejercicios de 1º Matemáticas para la Economía y la Empresa: IntegralesFacilesSolucion.pdf

1 página

He publicado nuevos ejercicios de 1º Matemáticas para la Economía y la Empresa: RelacionProblemasLeccion-3Resuelta.pdf

11 páginas

He publicado nuevos ejercicios de 1º Matemáticas para la Economía y la Empresa: Relacion-de-Problemas-Leccion-2-Parte1-SOLUCION.pdf

27 páginas

He publicado nuevos ejercicios de 1º Matemáticas para la Economía y la Empresa: RelacionProblemasLeccion1Solucion.pdf

9 páginas

He publicado nuevos apuntes de 1º Matemáticas para la Economía y la Empresa: Leccion-1-Resumen-y-Ejs-resueltos.pdf

7 páginas

He publicado nuevos ejercicios de 1º Matemáticas para la Economía y la Empresa: Ejercicios-MATES-para-el-Examen-Final.pdf

8 páginas
Anónimo

@Anónimo

examenes

-

Exámenes resueltos todas las lecciones

He publicado nuevos examenes de 1º Matemáticas para la Economía y la Empresa: Exámenes resueltos todas las lecciones

Prueba1.pdf
Prueba2.jpg
Anónimo

@Anónimo

apuntes

-

Ejercicios resueltos todos los temas

He publicado nuevos apuntes de 1º Matemáticas para la Economía y la Empresa: Ejercicios resueltos todos los temas

Ejerciciosdederivadas.pdf
Relacion-Problemas-Matrices.pdf
2018-2019-PROBLEMAS-RESUELTOS-LECCION2.pdf
RelacionProblemasLeccion1Algebra.pdf
Relacionderivadasparcialesresuelta.pdf
INTEGRALESPOR-PARTES.pdf

He publicado nuevos apuntes de 1º Matemáticas para la Economía y la Empresa: EDP-Cabada-web.pdf

91 páginas

He publicado nuevos ejercicios de 1º Matemáticas para la Economía y la Empresa: problemas-resueltos-mates-hessianagradiente.pdf

10 páginas

ejercicios

-

Ejercicios resueltos derivadas

He publicado nuevos ejercicios de 1º Matemáticas para la Economía y la Empresa: Ejercicios resueltos derivadas

Relacion-de-Problemas-Leccion-2-Parte1-Enunciados.pdf
RelacionProblemasLeccion-2parte2ImplicitasSinSistemas.pdf
Relacionderivadasparcialesresuelta.pdf
TabladederivadasGE.pdf
Relacionderivadasparciales.pdf
Relacion-de-Problemas-Leccion-2-Parte1-Enunciados-1.pdf

ejercicios

-

Lección 3-Integrales

He publicado nuevos ejercicios de 1º Matemáticas para la Economía y la Empresa: Lección 3-Integrales

IntegralesFacilesSolucion.pdf
cuadrodeintegralesteorico.pdf
RelacionProblemasLeccion-3ResueltaNueva2019-20.pdf
RelacionProblemasLeccion-3EnunciadosNueva2019-20.pdf
IntegralesFaciles.pdf

apuntes

-

Matemáticas economía empresa

He publicado nuevos apuntes de 1º Matemáticas para la Economía y la Empresa: Matemáticas economía empresa

Tema-1-Matematicas-de-la-empresa.pdf
Tema-3-matematicas-matrices.pdf
Tema-2-Matematicas-de-la-empresa.pdf

apuntes

-

Integrales Resueltas

He publicado nuevos apuntes de 1º Matemáticas para la Economía y la Empresa: Integrales Resueltas

Integrales-7-001.jpg
Integrales-9-001.jpg
Integrales-3-001.jpg
Integrales-5-001.jpg
Integrales-6-001.jpg
Integrales-8-001.jpg

apuntes

-

Ejercicios Derivadas Resueltos

He publicado nuevos apuntes de 1º Matemáticas para la Economía y la Empresa: Ejercicios Derivadas Resueltos

Ej-Derivadas-1-001.jpg
Ej-Derivadas-2-001.jpg
Ej-Derivadas-8-001.jpg
Ejercicios-Derivadas.pdf
Ej-Derivadas-9-001.jpg
Ej-Derivadas-6-001.jpg

apuntes

-

Derivadas Resueltas

He publicado nuevos apuntes de 1º Matemáticas para la Economía y la Empresa: Derivadas Resueltas

Derivadas-Parciales-2-001.jpg
Derivadas-1-001.jpg
Derivadas-2-001.jpg
25-Derivadas-Parciales.pdf
Derivadas-Parciales-1-001.jpg
40-Derivadas.pdf

He publicado nuevos apuntes de 1º Matemáticas para la Economía y la Empresa: clasforcuad.pdf

1 página

He publicado nuevos apuntes de 1º Matemáticas para la Economía y la Empresa: clasforcuad.pdf

1 página
¡Estás al día!

¡Estás al día!

Has visto todos los archivos