chevron_left
chevron_right
Todo
Apuntes
Ejercicios
Exámenes
chevron_left
chevron_right

He publicado nuevos apuntes de 1º Matemáticas Para la Empresa I: Mates-1-Repaso.pdf

27 páginas

He publicado nuevos apuntes de 1º Matemáticas Para la Empresa I: SEGUNDO-EXAMEN-PARCIAL-MAYO-2025.pdf

2 páginas

He publicado nuevos examenes de 1º Matemáticas Para la Empresa I: EXAMEN-MATEMATICAS-DE-LA-EMPRESA-1-ENERO-2025.pdf

2 páginas

He publicado nuevos apuntes de 1º Matemáticas Para la Empresa I: Ejercicios-de-examen-resueltos.pdf

12 páginas
Anónimo

@Anónimo

He publicado nuevos examenes de 1º Matemáticas Para la Empresa I: 2021.02.05-Examen-FinalSoluciones.pdf

11 páginas
Anónimo

@Anónimo

He publicado nuevos examenes de 1º Matemáticas Para la Empresa I: 2020-21-Examen-Parcial-2-Soluciones.pdf

8 páginas
Anónimo

@Anónimo

He publicado nuevos examenes de 1º Matemáticas Para la Empresa I: 2020.11-Parcial-1-Soluciones.pdf

8 páginas

He publicado nuevos apuntes de 1º Matemáticas Para la Empresa I: calculo-de-derivadas.pdf

19 páginas

apuntes

-

Todo

He publicado nuevos apuntes de 1º Matemáticas Para la Empresa I: Todo

2021.02.05-Examen-Final.pdf
2021.07-Examen-Mat-I.pdf
2021.11.04-Examen-Parcial-1.pdf
2021.12.16-Examen-Parcial-2.pdf
2021-22-Examen-Parcial-1Resuelto.pdf
202111MatematicasEmpresaIParcial1Soluciones.pdf
Anónimo

@Anónimo

examenes

-

mates

He publicado nuevos examenes de 1º Matemáticas Para la Empresa I: mates

202212MatematicasEmpresaIParcial2Tipo1Soluciones.pdf
202212MatematicasEmpresaIParcial2Tipo2Soluciones.pdf
Anónimo

@Anónimo

ejercicios

-

ejercicios mates

He publicado nuevos ejercicios de 1º Matemáticas Para la Empresa I: ejercicios mates

Ejercicios-tema-1-Espacios-Vectoriales.-Aplicaciones-linealesSoluciones.pdf
Ejercicios-tema-2-Formas-cuadraticas.-DiagonalizacionSoluciones.pdf
Ejercicios-tema-3-La-derivada-y-sus-aplicaciones-en-la-empresaSoluciones.pdf

He publicado nuevos ejercicios de 1º Matemáticas Para la Empresa I: Solucion-Actividad-2-2.pdf

3 páginas

He publicado nuevos ejercicios de 1º Matemáticas Para la Empresa I: Solucion-Actividad-1.pdf

2 páginas

He publicado nuevos examenes de 1º Matemáticas Para la Empresa I: 202212MatematicasEmpresaIParcial2Tipo1Soluciones-2.pdf

3 páginas

He publicado nuevos examenes de 1º Matemáticas Para la Empresa I: 202212MatematicasEmpresaIParcial2Tipo2Soluciones.pdf

3 páginas

He publicado nuevos examenes de 1º Matemáticas Para la Empresa I: 2022.10.26-Examen-Parcial-1Mat-1Soluciones-1.pdf

3 páginas

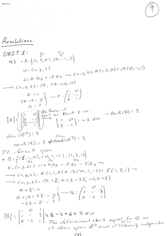
He publicado nuevos examenes de 1º Matemáticas Para la Empresa I: image.jpg

Imagen

apuntes

-

Ejercicios con soluciones tema 3 y 4

He publicado nuevos apuntes de 1º Matemáticas Para la Empresa I: Ejercicios con soluciones tema 3 y 4

Tema-3-ejer-y-solu.pdf
Tema-4-ejer-y-solu.pdf

He publicado nuevos apuntes de 1º Matemáticas Para la Empresa I: Cuaderno-2.pdf

10 páginas
Anónimo

@Anónimo

He publicado nuevos apuntes de 1º Matemáticas Para la Empresa I: DERIVADAS1o.pdf

16 páginas
Anónimo

@Anónimo

examenes

-

examenes 21-22

He publicado nuevos examenes de 1º Matemáticas Para la Empresa I: examenes 21-22

EXAMEN-1PARCIAL.pdf
EXAMEN-2PARCIAL.pdf

apuntes

-

examenes

He publicado nuevos apuntes de 1º Matemáticas Para la Empresa I: examenes

Maths-I-Partial-2Option-A.pdf
Maths-I-Partial-1Option-A.pdf
Examen-Parcial-1-2019-20-Soluciones0001.pdf
Anónimo

@Anónimo

apuntes

-

Exams

He publicado nuevos apuntes de 1º Matemáticas Para la Empresa I: Exams

First-Parcial.pdf
Final-Exam.pdf
Anónimo

@Anónimo

apuntes

-

Math Exam Block 1: Linear Algebra

He publicado nuevos apuntes de 1º Matemáticas Para la Empresa I: Math Exam Block 1: Linear Algebra

page-2.jpg
page-5.jpg
page-4.jpg
page-3.jpg
page-0.jpg
page-1.jpg

apuntes

-

Apuntes Clase Maths I

He publicado nuevos apuntes de 1º Matemáticas Para la Empresa I: Apuntes Clase Maths I

Unit-1-Vector-spaces.pdf
Unit-3-Derivative.pdf
Repaso-Mates.pdf
Unit-2-Diagonal-matrixes.pdf

He publicado nuevos examenes de 1º Matemáticas Para la Empresa I: parcial 2 mates 1 belen cobacho.pdf

4 páginas

He publicado nuevos examenes de 1º Matemáticas Para la Empresa I: parcial 2 2016 solucion.pdf

6 páginas
¡Estás al día!

¡Estás al día!

Has visto todos los archivos