chevron_left
chevron_right
Todo
Apuntes
Exámenes
chevron_left
chevron_right

examenes

-

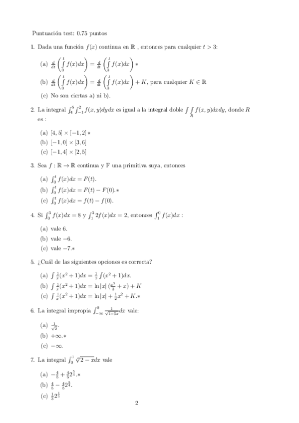
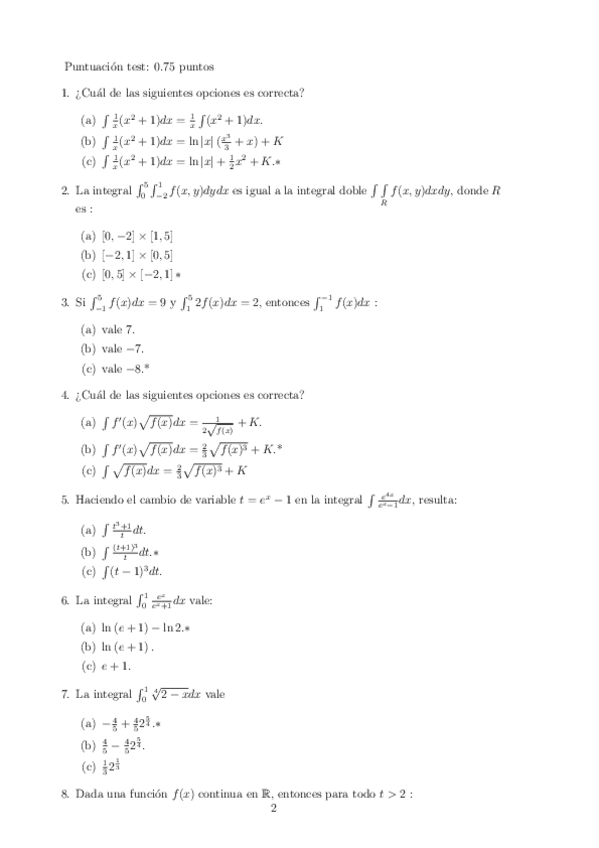
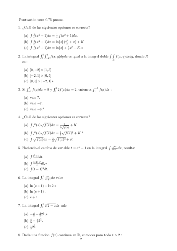
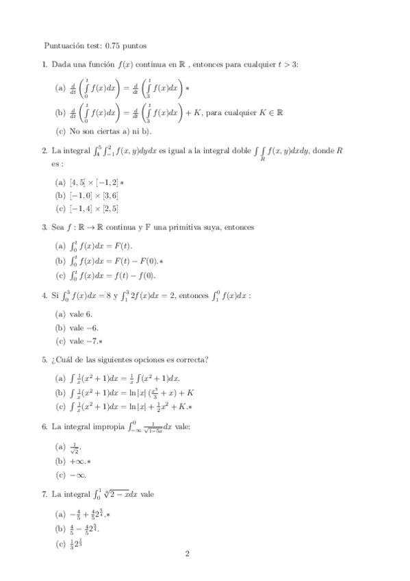
Ejercicios de examen MATEMÁTICAS II

He publicado nuevos examenes de 1º Matemáticas para la Empresa II: Ejercicios de examen MATEMÁTICAS II

Examenes-Integrales.pdf
Examenes-finales.pdf
Anónimo

@Anónimo

He publicado nuevos apuntes de 1º Matemáticas para la Empresa II: Tema-1-Integrales.pdf

2 páginas

He publicado nuevos apuntes de 1º Matemáticas para la Empresa II: EJERCICIOS-TEMA-2.pdf

12 páginas

He publicado nuevos apuntes de 1º Matemáticas para la Empresa II: EJERCICIOS-TEMA-1.pdf

11 páginas
Anónimo

@Anónimo

Examen Matemáticas para la Empresa II. Convocatoria mayo 2023 tipo 02 con soluciones

7 páginas
Anónimo

@Anónimo

He publicado nuevos examenes de 1º Matemáticas para la Empresa II: 2350JUNIO2023-Tipo01-SOLUC-1.pdf

4 páginas
Anónimo

@Anónimo

He publicado nuevos examenes de 1º Matemáticas para la Empresa II: 2350JUNIO2023-Tipo02-SOLUC-1.pdf

4 páginas
Anónimo

@Anónimo

He publicado nuevos examenes de 1º Matemáticas para la Empresa II: Examen2353JunioTIPO022023SOL.pdf

9 páginas
Anónimo

@Anónimo

He publicado nuevos examenes de 1º Matemáticas para la Empresa II: Examen2353JunioTIPO012023SOL.pdf

9 páginas
Anónimo

@Anónimo

He publicado nuevos apuntes de 1º Matemáticas para la Empresa II: LAGRANGE.pdf

1 página
Anónimo

@Anónimo

He publicado nuevos examenes de 1º Matemáticas para la Empresa II: INTEGRALES-2.pdf

8 páginas
Anónimo

@Anónimo

Examen de diciembre 2022

5 páginas
Anónimo

@Anónimo

Prueba de integrales, turno 2, tipo 2

3 páginas
Anónimo

@Anónimo

Prueba de integrales, turno 2, tipo 1

3 páginas
Anónimo

@Anónimo

Prueba de integrales, turno 1, tipo 2

3 páginas
Anónimo

@Anónimo

Prueba de integrales, turno 1, tipo 1

3 páginas
Anónimo

@Anónimo

Apuntes a mano de las notas de clase y teoría.

pdf
¡Estás al día!

¡Estás al día!

Has visto todos los archivos