Todo
Apuntes
Ejercicios
Exámenes
chevron_left
chevron_right

Apuntes sobre todo el temario visto en clase

13 páginas

He publicado nuevos apuntes de 1º Matemáticas para la empresa: EXERCISES-AND-PROBLEMS-TOPIC-1-MATRICES.pdf

3 páginas

He publicado nuevos ejercicios de 1º Matemáticas para la empresa: EXERCISES-TOPIC1B-SISTEMS-OF-LINEAR-EQUATIONS.pdf

2 páginas

examenes

-

Examenes

He publicado nuevos examenes de 1º Matemáticas para la empresa: Examenes

maths-january14.pdf
maths-january11.pdf
maths-january15.pdf
maths-january12.pdf
maths-january10.pdf
maths-january16.pdf

examenes

-

Examenes

He publicado nuevos examenes de 1º Matemáticas para la empresa: Examenes

maths-january14.pdf
maths-january16.pdf
maths-january10.pdf
maths-january09.pdf
maths-january11.pdf
maths-january13.pdf

apuntes

-

Apuntes

He publicado nuevos apuntes de 1º Matemáticas para la empresa: Apuntes

Conceptos-basicosmatematicas.pdf
tema7.pdf
Las-graficas-de-las-siguientes-funciones-f.docx
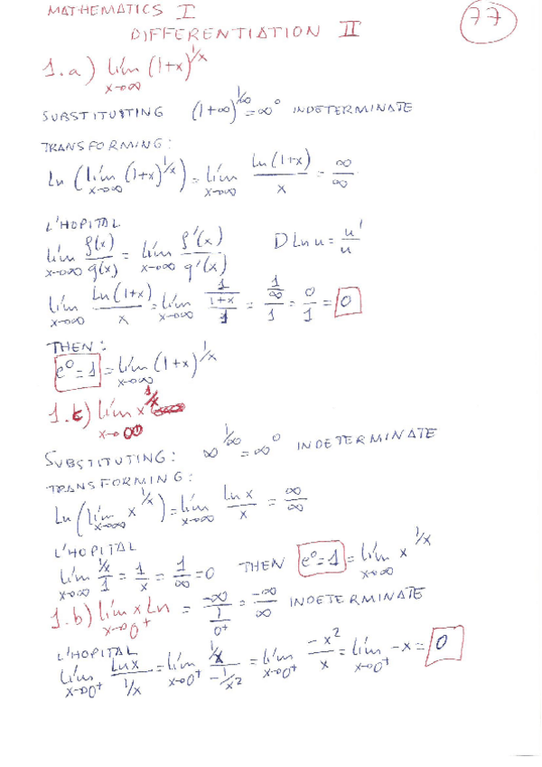
hoja4mate1engSOLDANIELHANDWRITING.pdf
Third-parcial-test-Important-Propositions.pdf
Tema-5-Integracion-Ejercicios.pdf
¡Estás al día!

¡Estás al día!

Has visto todos los archivos