Matemáticas

chevron_left
chevron_right
Todo
Apuntes
Ejercicios
Exámenes
Otros
publication
Trabajos
chevron_left
chevron_right

He publicado nuevos apuntes de 10º Matemáticas: Trigonometric-idetentity-exercises..pdf

6 páginas

He publicado nuevos apuntes de 10º Matemáticas: Trigonometric-idetentity-exercises.pdf

4 páginas

He publicado nuevos apuntes de 10º Matemáticas: Trigonometric-equations.pdf

4 páginas

He publicado nuevos apuntes de 10º Matemáticas: Por-que-la-independencia-del-banco-de-la-republica-es-fundamental-para-la-estabilidad-economica-del-pais.pdf

9 páginas

He publicado nuevos examenes de 10º Matemáticas: SOLUCIONARIO-DE-MATEMATICAS-ESPOL.pdf

10 páginas

He publicado nuevos otros de 10º Matemáticas

Miniatura no disponible
TikTok - Make Your Day

Practica con ejercicios reales resueltos paso a paso y prepárate para ingresar a la universidad número 1 del Ecuador. Ideal para reforzar conocimientos y aumentar tus posibilidades de ingreso.

8 páginas

Formulario Pro-ESPOL: Tu Entrada a la Ingeniería En el examen de admisión de la mejor universidad del Ecuador, cada segundo cuenta. No pierdas tiempo intentando recordar fórmulas complejas; domina el examen con este resumen estratégico.

16 páginas

Definición de matrices y sus tipos con ejemplos especificados.

2 páginas

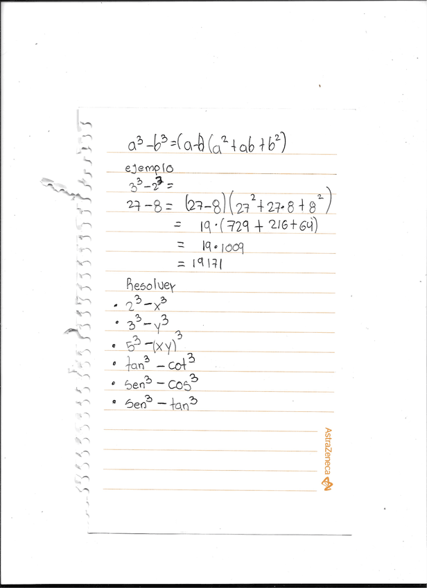
Factorizacion de trinomios

Imagen

He publicado nuevos ejercicios de 10º Matemáticas: IMG20251026193215368MFNR.jpg

Imagen

Factorizacion de trinomios

Imagen

He publicado nuevos ejercicios de 10º Matemáticas

Miniatura no disponible
https://www.canva.com/design/DAGrI5wtA5g/c1PQ_7w5kun-zLgGzULIxQ/edit?utm_content=DAGrI5wtA5g&utm_campaign=designshare&utm_medium=link2&utm_source=sharebutton

Sobre una mujer antioqueña maravillosa.

Miniatura no disponible
https://docs.google.com/document/d/1DWBLl80nKxNbqlBjhKpMaM-PqmOe-Gu5qCiFRr6ucVY/edit?usp=drive_link

He publicado nuevos apuntes de 10º Matemáticas: Teorema-de-Pitagoras.pdf

1 página

He publicado nuevos ejercicios de 10º Matemáticas: Ejercicios-resueltos-operaciones-con-numeros-racionales.pdf

2 páginas

He publicado nuevos apuntes de 10º Matemáticas: Matematicas.jpeg

Imagen

He publicado nuevos apuntes de 10º Matemáticas: Matematicas.jpeg

Imagen

He publicado nuevos apuntes de 10º Matemáticas: Matematicas.jpeg

Imagen

He publicado nuevos apuntes de 10º Matemáticas: Matematicas.jpeg

Imagen

He publicado nuevos apuntes de 10º Matemáticas: Matematicas.jpeg

Imagen

He publicado nuevos apuntes de 10º Matemáticas: Matematicas.jpeg

Imagen

He publicado nuevos apuntes de 10º Matemáticas: Matematicas.jpeg

Imagen

He publicado nuevos apuntes de 10º Matemáticas: Matematicas.jpeg

Imagen

He publicado nuevos apuntes de 10º Matemáticas: Matematicas.jpeg

Imagen

He publicado nuevos apuntes de 10º Matemáticas: Matematicas.jpeg

Imagen

He publicado nuevos apuntes de 10º Matemáticas: Tema-2-CONGRUENCIA-Y-SEMEJANZA-DE-TRIANGULOS.pdf

3 páginas

He publicado nuevos apuntes de 10º Matemáticas: identidades.ppt

Miniatura no disponible
powerpoint

He publicado nuevos apuntes de 10º Matemáticas: Razones-trigonometricas.jpg

Imagen

He publicado nuevos apuntes de 10º Matemáticas: Razones-trigonometricas-en-un-triangulo-rectangulo.jpg

Imagen

He publicado nuevos apuntes de 10º Matemáticas: Propiedades-numeros-reales.jpg

Imagen

He publicado nuevos apuntes de 10º Matemáticas: Numeros-reales.jpg

Imagen

He publicado nuevos apuntes de 10º Matemáticas: Biografia-de-Rene-Descartes.pdf

2 páginas

He publicado nuevos apuntes de 10º Matemáticas: Biografia-de-Arquimedes-de-Siracusa.pdf

2 páginas

He publicado nuevos apuntes de 10º Matemáticas: Biografia-de-Blaise-Pascal.pdf

3 páginas

He publicado nuevos apuntes de 10º Matemáticas: Biografia-de-James-Clerk-Maxwell.pdf

2 páginas

Biografía completa sobre Galileo Galilei, quién fue y que hizo?

2 páginas

He publicado nuevos apuntes de 10º Matemáticas: Biografia-de-Johannes-Kepler.pdf

2 páginas

He publicado nuevos apuntes de 10º Matemáticas: Biografia-Nicolas-Copernico.pdf

1 página

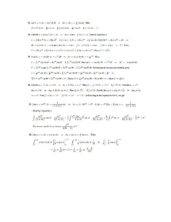
He publicado nuevos apuntes de 10º Matemáticas: Solucionario7.1.pdf

10 páginas

He publicado nuevos apuntes de 10º Matemáticas: math-Class-1.pdf

4 páginas

He publicado nuevos apuntes de 10º Matemáticas: Numeros-complejos-2.pdf

8 páginas

He publicado nuevos ejercicios de 10º Matemáticas: BASE-MATEMATICAS.pdf

49 páginas

He publicado nuevos ejercicios de 10º Matemáticas: FUNCIONES-RESUELTAS.pdf

16 páginas

He publicado nuevos ejercicios de 10º Matemáticas: Ecuaciones-e-inecuaciones-resueltas.pdf

47 páginas

He publicado nuevos apuntes de 10º Matemáticas: Medicion-de-Angulos.pdf

3 páginas

He publicado nuevos apuntes de 10º Matemáticas: Angulos-en-Posicion-Normal.pdf

1 página

He publicado nuevos apuntes de 10º Matemáticas: angulos-en-el-plano.pdf

1 página

He publicado nuevos apuntes de 10º Matemáticas: las-razones-trigonometricas.pdf

2 páginas

He publicado nuevos apuntes de 10º Matemáticas: Funciones-inversas.pdf

3 páginas

He publicado nuevos ejercicios de 10º Matemáticas: Soluciontriangulos-rectangulos.pdf

2 páginas

He publicado nuevos apuntes de 10º Matemáticas: FuncionesMatematicas10.pdf

3 páginas

He publicado nuevos apuntes de 10º Matemáticas: Vectores-fijos240428130737.pdf

2 páginas

Tablas de multiplicar

Como se le hace para llegar a décimo sin saber multiplicar?

esto me sirvió mucho

Imagen

He publicado nuevos apuntes de 10º Matemáticas: CUADERNO-DE-CONTABILIDAD.pdf

188 páginas

Los apuntes de contabilidad son esenciales para mantener un seguimiento preciso de las finanzas de una empresa, y son la base para la elaboracion de estados financieros y reportes de impuestos.

word

He publicado nuevos otros de 10º Matemáticas

https://www.youtube.com/watch?v=gPV5VqQ3Ajg

He publicado nuevos apuntes de 10º Matemáticas: Razones-Trigonometricas-y-Ang.-Complementarios.pdf

4 páginas

He publicado nuevos apuntes de 10º Matemáticas: Funciones-Trigonometricas.pdf

4 páginas