Matemáticas

chevron_left
chevron_right
Todo
Apuntes
Ejercicios
Exámenes
Trabajos
chevron_left
chevron_right

apuntes

-

Apuntes Matemáticas

He publicado nuevos apuntes de 1º Matemáticas: Apuntes Matemáticas

Tema-8-Diagonalizacion.pdf
Tema-1-Funciones-Elementales.pdf
Tema-2-Limites-y-continuidad.pdf
Tema-3-Derivadas.pdf
Tema-4-Numeros-Complejos.pdf
Tema-5-Integrales.pdf

He subido apuntes de ecuaciones diferenciales

9 páginas

He subido apuntes del tema 5 de integrales

4 páginas

He subido apuntes de los temas 2,3 y 4 de matemáticas

11 páginas

apuntes

-

MATERÍAL MATEMÁTICAS 1º CARRERA

He publicado nuevos apuntes de 1º Matemáticas: MATERÍAL MATEMÁTICAS 1º CARRERA

2015-16-areas-integ-improp-SOLUCIONES2.pdf
2015-16-areas-integ-improp.pdf
2015-16-calculo-primitivas2.pdf
2015-16-calculo-primitivas-SOLUCIONES2.pdf
control2.pdf
control21516.pdf1353111532076832000.pdf

He publicado nuevos examenes de 1º Matemáticas: control3-23-24-matematicas.pdf

2 páginas

He publicado nuevos examenes de 1º Matemáticas: control2-23-24-matematicas.pdf

2 páginas

He publicado nuevos examenes de 1º Matemáticas: control1-23-24-matematicas.pdf

2 páginas

He publicado nuevos ejercicios de 1º Matemáticas: ejercicios-matematicas.pdf

40 páginas

He publicado nuevos apuntes de 1º Matemáticas: apuntes-matematicas.pdf

42 páginas

examenes

-

Exámenes mates

He publicado nuevos examenes de 1º Matemáticas: Exámenes mates

Solucion-1er-control-17-18.pdf
soluciones-2do-control-17-18.pdf
1er-parcial-2015.pdf
1er-parcial-2016.pdf
1er-parcial-2017.pdf
1er-parcial-2018.pdf

He publicado nuevos apuntes de 1º Matemáticas: derivada-integral.pdf

5 páginas

He publicado nuevos apuntes de 1º Matemáticas: Integrales-inmediatas.pdf

1 página

He publicado nuevos apuntes de 1º Matemáticas: Ejemplos-integrales-inmediatas-1.pdf

1 página

He publicado nuevos apuntes de 1º Matemáticas: diferenciales-intinmediatas.pdf

1 página

He publicado nuevos apuntes de 1º Matemáticas: Ejemplos-integrales-inmediatas-2.pdf

1 página

He publicado nuevos apuntes de 1º Matemáticas: Tabla-derivadas.pdf

1 página

He publicado nuevos apuntes de 1º Matemáticas: Trigonometry.pdf

1 página

He publicado nuevos apuntes de 1º Matemáticas: Areas-volumenes.pdf

1 página

He publicado nuevos ejercicios de 1º Matemáticas: ejercicios-resueltos-mate.pdf

16 páginas

He publicado nuevos apuntes de 1º Matemáticas: Resumen-teoria-mate-I.pdf

8 páginas

He publicado nuevos apuntes de 1º Matemáticas: apuntes-mate-tema-1-8-con-ejercicios.pdf

18 páginas

He publicado nuevos ejercicios de 1º Matemáticas: MATEMATICAS-EJS.pdf

54 páginas

apuntes

-

Esquemas controles

He publicado nuevos apuntes de 1º Matemáticas: Esquemas controles

Esquema-Control-1-Matematicas.pdf
Esquema-Control-2-Matematicas.pdf
Esquema-Control-3-Matematicas.pdf

ejercicios

-

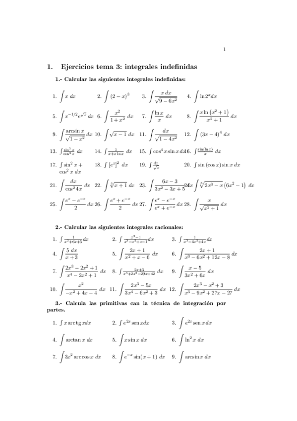
Ejercicios Temas 1-3

He publicado nuevos ejercicios de 1º Matemáticas: Ejercicios Temas 1-3

Ejercicios-Tema-1-Matematicas.pdf
Ejercicios-Tema-2-Matematicas.pdf
Ejercicios-Tema-3-Matematicas.pdf
Anónimo

@Anónimo

apuntes

-

Resúmenes temas 1-8

He publicado nuevos apuntes de 1º Matemáticas: Resúmenes temas 1-8

Tema-1-Matematicas.pdf
Tema-2-Matematicas.pdf
Tema-3-Matematicas.pdf
Tema-4-Matematicas--Ejercicios.pdf
Tema-5-Matematicas--Ejercicios.pdf
Tema-6-Matematicas--Ejercicios.pdf

trabajos

-

Entregables mate

He publicado nuevos trabajos de 1º Matemáticas: Entregables mate

Practica-Mate.pdf
Pratica-4-de-mate..pdf

apuntes

-

Ejercicios Tema 7-8, Apuntes y Soluciones

He publicado nuevos apuntes de 1º Matemáticas: Ejercicios Tema 7-8, Apuntes y Soluciones

Mate-Tema-7.pdf
Mate-Tema-8.pdf

He publicado nuevos apuntes de 1º Matemáticas: Examen-extraordinario-22-23.pdf

2 páginas

He publicado nuevos apuntes de 1º Matemáticas: MATEMATICAS-hoja-de-vueltas.pdf

1 página

apuntes

-

Matematicas entero y examen

He publicado nuevos apuntes de 1º Matemáticas: Matematicas entero y examen

Algebra-lineal.pdf
Derivadas-y-teoremas.pdf
Funciones-y-limites.pdf
Funiones-varias-variables.pdf
Numeros-complejos.pdf
SolucionesControl32122.pdf

apuntes

-

Tema 5 y 6 apuntes y soluciones

He publicado nuevos apuntes de 1º Matemáticas: Tema 5 y 6 apuntes y soluciones

Mate-Tema-5.pdf
mate-Tema-6.pdf

ejercicios

-

Tema 3 y 4 apuntes y soluciones

He publicado nuevos ejercicios de 1º Matemáticas: Tema 3 y 4 apuntes y soluciones

mate-Tema-3.pdf
Mate-Tema-4.pdf

ejercicios

-

Tema 1 y 2 apuntes y soluciones

He publicado nuevos ejercicios de 1º Matemáticas: Tema 1 y 2 apuntes y soluciones

Mate-Tema-1.pdf
Mate-Tema-2.pdf

He publicado nuevos apuntes de 1º Matemáticas: tema8algebralineal.pdf

9 páginas

He publicado nuevos apuntes de 1º Matemáticas: funcionesvariasvariables.pdf

10 páginas

He publicado nuevos apuntes de 1º Matemáticas: ecuacionesdiferenciales.pdf

15 páginas

He publicado nuevos apuntes de 1º Matemáticas: apuntestema5.pdf

15 páginas

He publicado nuevos ejercicios de 1º Matemáticas: ejerciciostema4.pdf

4 páginas

He publicado nuevos apuntes de 1º Matemáticas: apuntestema4.pdf

6 páginas

He publicado nuevos ejercicios de 1º Matemáticas: ejercicios_tema3.pdf

6 páginas

He publicado nuevos apuntes de 1º Matemáticas: tema3_derivadas.pdf

6 páginas

He publicado nuevos ejercicios de 1º Matemáticas: ejercicios tema 2.pdf

3 páginas

He publicado nuevos apuntes de 1º Matemáticas: Tema 2_límites y continuidad.pdf

4 páginas

He publicado nuevos ejercicios de 1º Matemáticas: Tema-1-ej.pdf

3 páginas

He publicado nuevos apuntes de 1º Matemáticas: Tema-1.pdf

3 páginas

apuntes

-

Resumenes y ejercicios T.1-9

He publicado nuevos apuntes de 1º Matemáticas: Resumenes y ejercicios T.1-9

TEMA-5-con-ejercicios.pdf
TEMA-9-con-ejercicios.pdf
TEMA-8-con-ejercicios.pdf
TEMA-2-con-ejercicios.pdf
REPASO-2-PARCIAL.pdf
TEMA-4-con-ejercicios.pdf

He publicado nuevos apuntes de 1º Matemáticas: Tema-6-Ecuaciones-diferenciales.pdf

pdf

He publicado nuevos apuntes de 1º Matemáticas: Tema-5-Integracion.pdf

pdf

He publicado nuevos apuntes de 1º Matemáticas: Tema-7-funciones-de-varias-variables.pdf

pdf

He publicado nuevos apuntes de 1º Matemáticas: Tema-8-diagonalizacion-de-matrices.pdf

pdf

apuntes

-

Temario Matemáticas

He publicado nuevos apuntes de 1º Matemáticas: Temario Matemáticas

tema-6-mates.pdf
tema-4-mates.pdf
tema-5-mates.pdf
tema-3-mates.pdf
tema-2-mates.pdf
tema-1-mates.pdf

He publicado nuevos apuntes de 1º Matemáticas: MATEMATICAS-TEORIA.pdf

9 páginas

examenes

-

Examen Matemáticas

He publicado nuevos examenes de 1º Matemáticas: Examen Matemáticas

Examen-2.pdf
Examen-3.pdf

examenes

-

Matemáticas exámenes

He publicado nuevos examenes de 1º Matemáticas: Matemáticas exámenes

control3-2018-solucion.pdf
control22015.pdf
control12015.pdf
control32016.pdf
control22017.pdf
control12017.pdf

He publicado nuevos apuntes de 1º Matemáticas: diagonalizacion-de-matrices.pdf

9 páginas

He publicado nuevos apuntes de 1º Matemáticas: tema-5-maths.pdf

2 páginas

He publicado nuevos apuntes de 1º Matemáticas: funciones-de-varias-variables.pdf

11 páginas

He publicado nuevos apuntes de 1º Matemáticas: integrales.pdf

15 páginas

He publicado nuevos apuntes de 1º Matemáticas: 1C-numeros-complejos.pdf

2 páginas