chevron_left
chevron_right
Todo
Apuntes
Exámenes
chevron_left
chevron_right

Habrá una parte tipo test en el examen final y en el parcial que contará entre 3-4 puntos de la nota del examen completo

58 páginas

He publicado nuevos examenes de 1º Matemáticas: Examen-sorpresa-29-de-abril.jpeg

Imagen
Anónimo

@Anónimo

apuntes

-

Primer cuatrimestre matemáticas

He publicado nuevos apuntes de 1º Matemáticas: Primer cuatrimestre matemáticas

Miniatura no disponible
Primer-cuatrimestre-matematicas.zip

He publicado nuevos apuntes de 1º Matemáticas: EJERCICOS-A-ENTREGAR-JUNIO.pdf

10 páginas

He publicado nuevos apuntes de 1º Matemáticas: GradoCA21-22SegundaPruebaEvContCalculo-1.pdf

1 página
Anónimo

@Anónimo

He publicado nuevos apuntes de 1º Matemáticas: FinalCalculoPrimeraConvsoluciones.pdf

2 páginas
Anónimo

@Anónimo

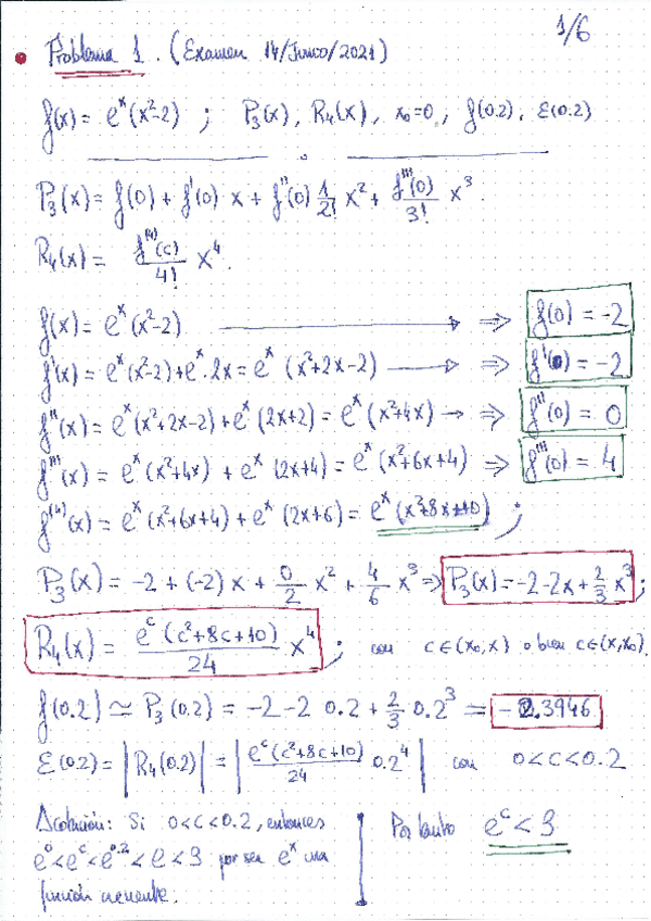
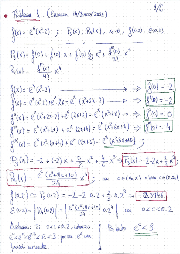
He publicado nuevos apuntes de 1º Matemáticas: Examen-Calculo-14-junio-2021-CA.pdf

7 páginas
Anónimo

@Anónimo

He publicado nuevos apuntes de 1º Matemáticas: GradoCA19-20Examen2JunioCalculoExamen1-1.pdf

1 página
Anónimo

@Anónimo

He publicado nuevos apuntes de 1º Matemáticas: GradoCA19-20TerceraPruebaEvContCalculo.pdf

2 páginas
Anónimo

@Anónimo

He publicado nuevos apuntes de 1º Matemáticas: EXAMEN-CALCULO-SEGUNDO-CUATRIMESTRE.pdf

4 páginas
¡Estás al día!

¡Estás al día!

Has visto todos los archivos