Matemáticas
🎓Clases Particulares de Matemáticas
📚 En Conta Master Academy aprenderás con profesores expertos en docencia financiera, usando una pizarra realista que hace las clases claras y dinámicas. 🎥 Además, tendrás acceso a las grabaciones para repasar cuando quieras y un asistente virtual que te da ejercicios y soporte las 24 h del día. 💬 Escríbenos al WhatsApp 👉 639 879 228 y te contamos cómo unirte a tu grupo 🔥
apuntes
-
EJERCICIOS RESUELTOS EXAMEN
Ejercicios Resueltos Examen Academia Universitaria Formación Manuel Pozo
INICIO DE CURSO MATEMÁTICAS ACADEMIA UNIVERSITARIA FORMACIÓN MANUEL POZO Clases modalidad online y presencial. Todas tus CLASES GRABADAS PARA QUE PUEDAS VISUALIZARLAS HASTA EL DÍA DEL EXAMEN Resolución de todos tus ejercicios y exámenes de convocatorias anteriores. Profesores especialidados y temario propio. Acceso a PLATAFORMA VIRTUAL CON CONTENIDO EXCLUSIVO ¡Solicita tu clase de prueba en grupo sin compromiso!D

apuntes
-
TEMARIO
He publicado nuevos apuntes de 1º Matemáticas: TEMARIO
He publicado nuevos ejercicios de 1º Matemáticas: relacion-4-Solucion.pdf
He publicado nuevos ejercicios de 1º Matemáticas: Relacion-3-Solucion.pdf
He publicado nuevos ejercicios de 1º Matemáticas: relacion-2-Solucion.pdf
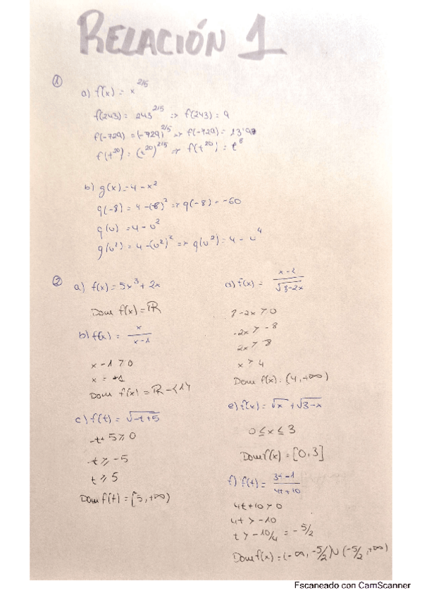
He publicado nuevos ejercicios de 1º Matemáticas: relacion-1-Solucion.pdf
He publicado nuevos apuntes de 1º Matemáticas: tabladerivadasintegrales.pdf
He publicado nuevos apuntes de 1º Matemáticas: relacion4SolucFICO2324.pdf
He publicado nuevos apuntes de 1º Matemáticas: relacion3SolucFICO2324.pdf
He publicado nuevos apuntes de 1º Matemáticas: relacion1PRADOSolucFICO2324.pdf
He publicado nuevos apuntes de 1º Matemáticas: relacion2SolucFICO2324.pdf
He publicado nuevos apuntes de 1º Matemáticas: relacion1FICO2324-1.pdf
He publicado nuevos apuntes de 1º Matemáticas: examen-final-eneroFICO2223.pdf
He publicado nuevos apuntes de 1º Matemáticas: EXPLICACIONES-MATEMATICAS.pdf
He publicado nuevos practicas de 1º Matemáticas: SEMINARIO-DE-TAYLOR.pdf
He publicado nuevos apuntes de 1º Matemáticas: ejercicos-del-libro-tema-5-matematicas.pdf
He publicado nuevos apuntes de 1º Matemáticas: ejercicios-del-libro-tema-3-matematicas.pdf
He publicado nuevos apuntes de 1º Matemáticas: ejercicos-del-libro-tema-4-matematicas.pdf
He publicado nuevos apuntes de 1º Matemáticas: ejercicios-del-libro-tema-2-matematicas.pdf
He publicado nuevos apuntes de 1º Matemáticas: tema-2-matematicas-libro.pdf
He publicado nuevos apuntes de 1º Matemáticas: teoria-tema-5-libro-matematicas.pdf
He publicado nuevos apuntes de 1º Matemáticas: tema-4-teoria-del-libro-matematicas.pdf
He publicado nuevos apuntes de 1º Matemáticas: tema-3-matematicas-teoria-libro.pdf
He publicado nuevos apuntes de 1º Matemáticas: ejercicios-del-libro-tema-1-matematicas.pdf
He publicado nuevos apuntes de 1º Matemáticas: tema-1-mates-teoria-libro.pdf
He publicado nuevos apuntes de 1º Matemáticas: Matematicas-Resumen-Teoria-Tema-4-y-Solucion-De-Ejercicios.pdf
He publicado nuevos ejercicios de 1º Matemáticas: Matematicas-Solucion-Prueba-Tema-1-20-21-20230813112519.pdf
He publicado nuevos apuntes de 1º Matemáticas: Matematicas-Resumen-Teoria-Tema-6-y-Solucion-de-Ejercicios.pdf
He publicado nuevos apuntes de 1º Matemáticas: Matematicas-Resumen-Teoria-Tema-7-y-Solucion-de-Ejercicios.pdf
He publicado nuevos ejercicios de 1º Matemáticas: Seminario-de-Taylor-y-Solucion-de-Ejercicios-Tema-2.pdf
He publicado nuevos apuntes de 1º Matemáticas: Matematicas-Resumen-Teoria-Tema-1.pdf
He publicado nuevos ejercicios de 1º Matemáticas: Mates-Solucion-Ejercicios-Tema-1.pdf
He publicado nuevos apuntes de 1º Matemáticas: Matematicas-Resumen-Teoria-Tema-2.pdf
He publicado nuevos apuntes de 1º Matemáticas: Matematicas-Repaso-Para-Examen-y-Solucion-de-Examenes-Anteriores.pdf
He publicado nuevos apuntes de 1º Matemáticas: Matematicas-Resumen-Teoria-Tema-3-y-Solucion-de-Ejercicios.pdf
He publicado nuevos apuntes de 1º Matemáticas: Matematicas-Resumen-Teoria-Tema-5-y-Solucion-de-Ejercicios.pdf
Profesores del primer año
¿Que profesores recomendáis para el primer año de la carrera?
