chevron_left
chevron_right
Todo
Apuntes
Ejercicios
Exámenes
Prácticas
publication
Test
chevron_left
chevron_right
Anónimo

@Anónimo

He publicado nuevos apuntes de 1º Matemáticas: Maxima-examen.pdf

3 páginas

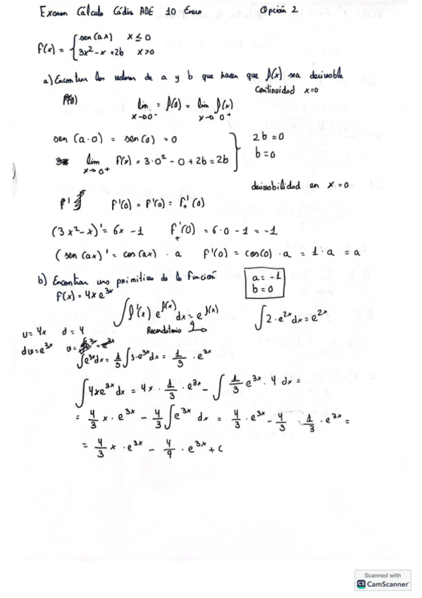
He publicado nuevos examenes de 1º Matemáticas: Examen-Calculo-Enero-2025-Jerez.pdf

3 páginas

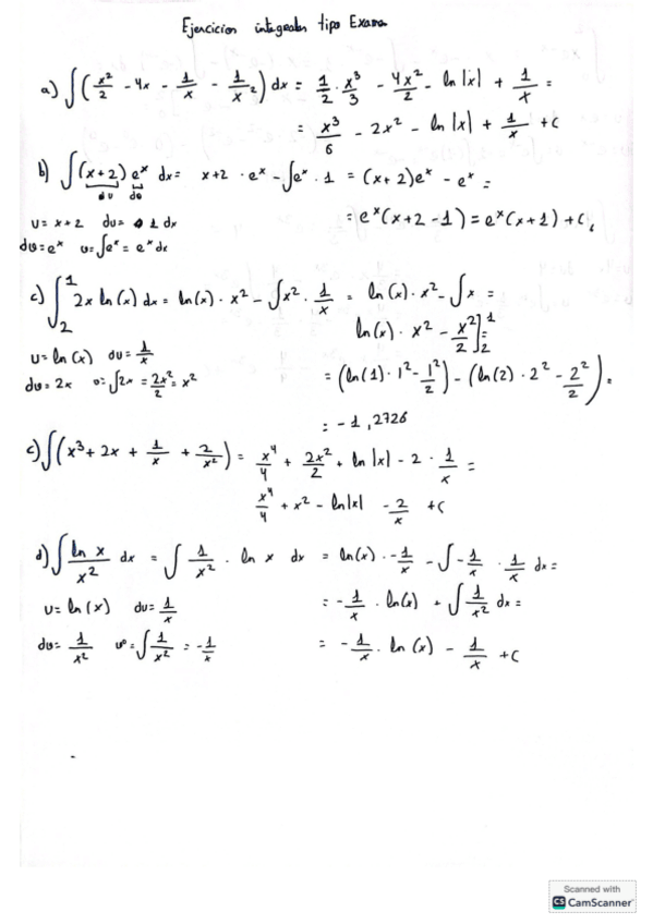
He publicado nuevos ejercicios de 1º Matemáticas: Integrales-que-pueden-caer-en-el-examen.pdf

2 páginas

He publicado nuevos ejercicios de 1º Matemáticas: Integrales-Campus-Virtual.pdf

2 páginas

He publicado nuevos ejercicios de 1º Matemáticas: Integrales-por-partes.pdf

4 páginas

He publicado nuevos ejercicios de 1º Matemáticas: Integrales-Racionales.pdf

5 páginas

He publicado nuevos ejercicios de 1º Matemáticas: Integrales-Faciles-desde-0--Tabla-de-Integrales.pdf

9 páginas

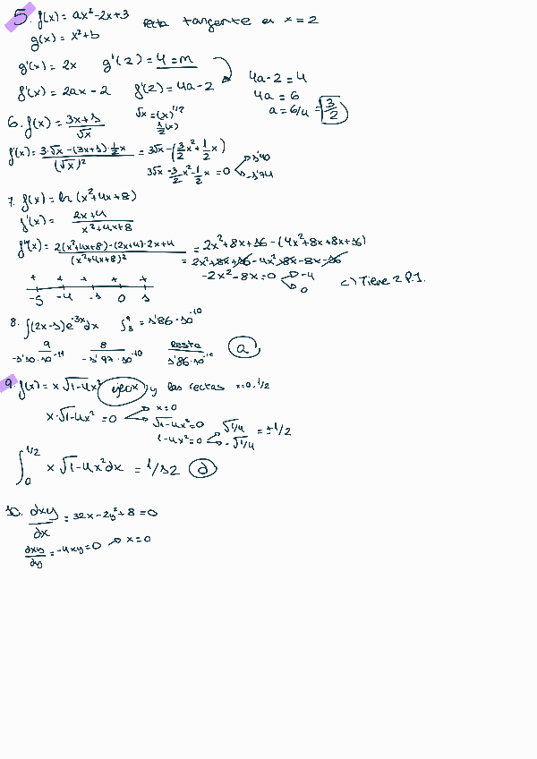
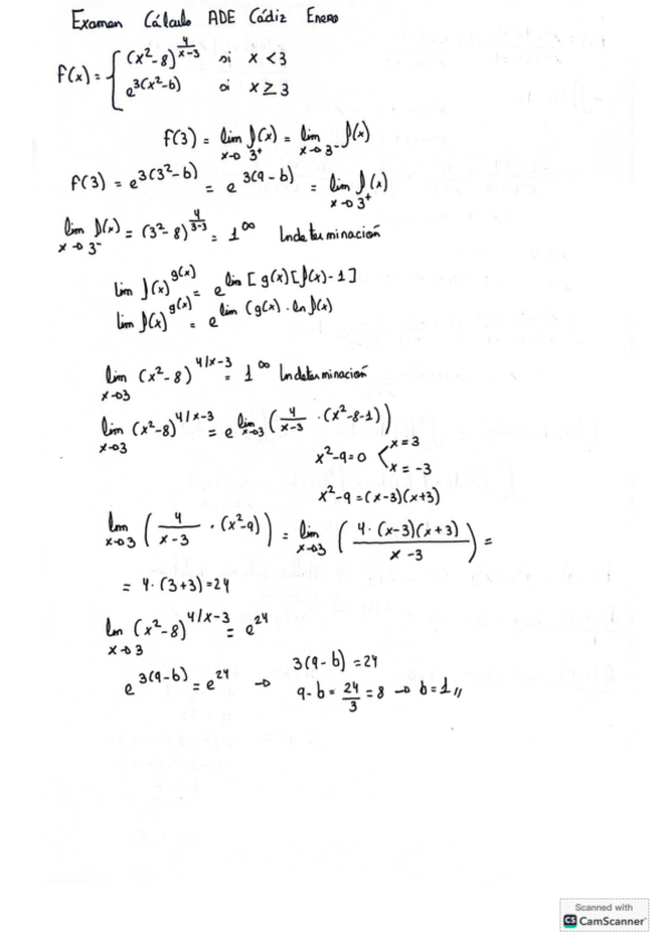
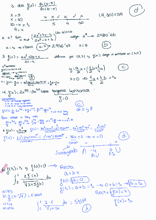
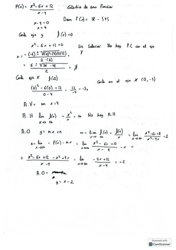
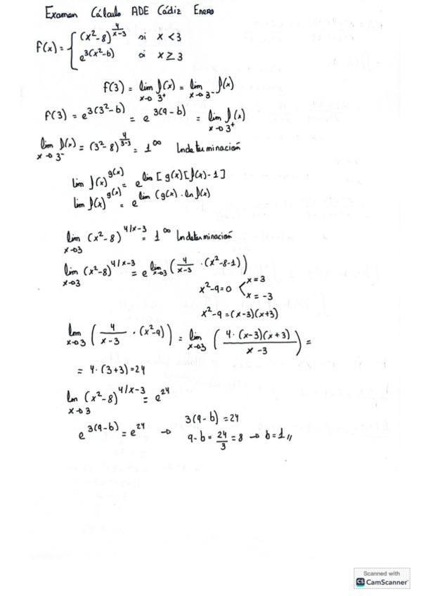
He publicado nuevos examenes de 1º Matemáticas: Examen-de-calculo-cadiz-enero-parcial-2025.pdf

4 páginas

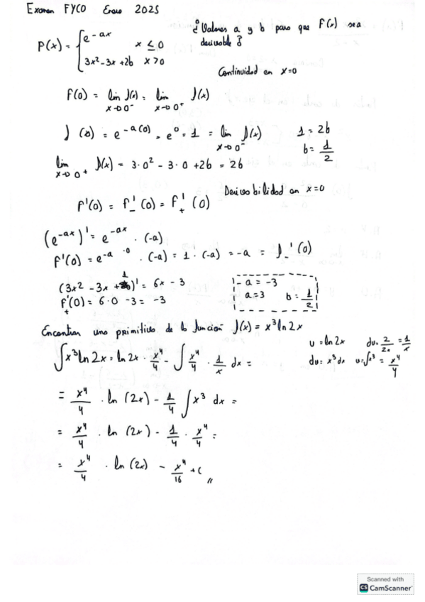
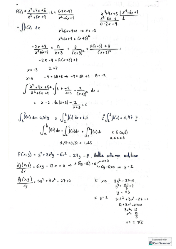
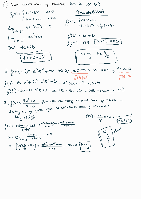
He publicado nuevos examenes de 1º Matemáticas: Examen-de-Fyco-Calculo-Parcial-Enero-2025.pdf

4 páginas

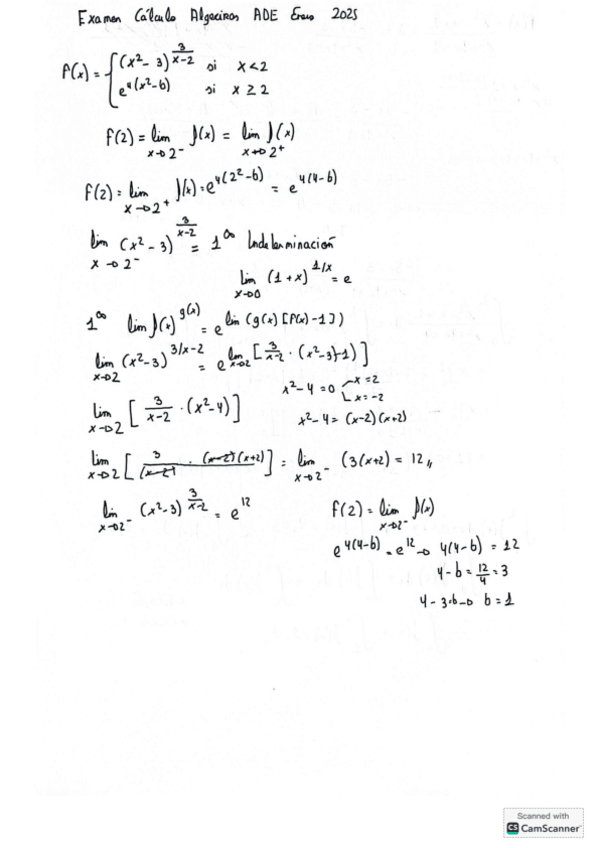
He publicado nuevos examenes de 1º Matemáticas: Examen-Calculo-Final-global-Algeciras-2025.pdf

3 páginas

He publicado nuevos examenes de 1º Matemáticas: Examen-de-Calculo-Enero-2025-global.pdf

3 páginas

He publicado nuevos apuntes de 1º Matemáticas: Enunciado-de-Examenes-Globales.pdf

6 páginas

examenes

-

Apuntes para el Examen Práctico

Se agradece que se descarguen el pdf resumen, aunque solo les vaya a servir, para el examen, el documento de maxima.

Resumen-con-indicaciones.pdf
Miniatura no disponible
Documento-de-Maxima-llevar-al-examen.wxmx

practicas

-

Prácticas Explicadas y Resueltas

He publicado nuevos practicas de 1º Matemáticas: Prácticas Explicadas y Resueltas

Practica-1-INTRODUCCION-A-MAXIMA.-MATRICES-Y-DETERMINANTES.pdf
Practica-2-SISTEMA-DE-ECUACIONES.pdf

ejercicios

-

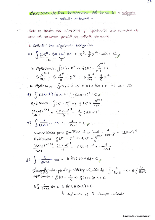
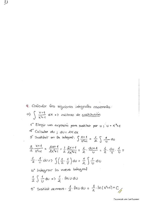
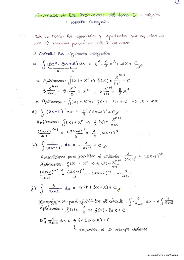
Problemas Resueltos Tema 5

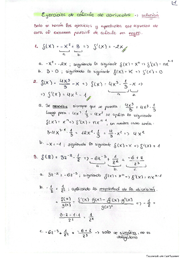
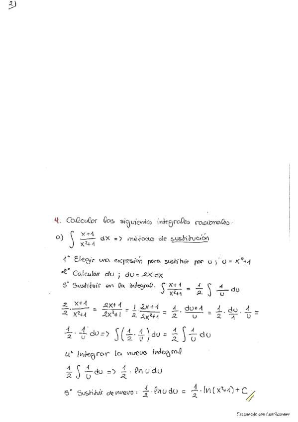
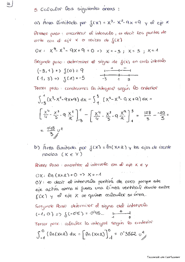
Sólo se harán los ejercicios y apartados que ayuden de cara al examen parcial de cálculo de enero

Ejercicio-1.pdf
Ejercicio-4.pdf
Ejercicio-5.pdf

Ejercicios para repasar las derivadas

4 páginas

ejercicios

-

Problemas Resueltos Tema 4

Sólo se harán los ejercicios y apartados de la relación que ayuden de cara al examen parcial de cálculo de Enero

Ejercicios-1-y-4.pdf
Ejercicio-5.pdf

He publicado nuevos apuntes de 1º Matemáticas: Tema-6.-Funciones-de-dos-variables.pdf

17 páginas

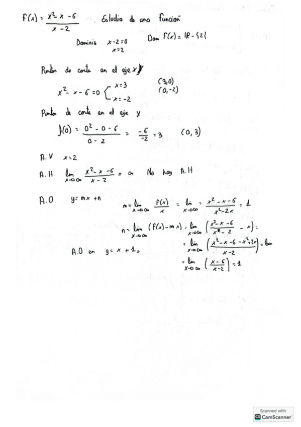
He publicado nuevos apuntes de 1º Matemáticas: Tema-5.-Calculo-integral.pdf

24 páginas

apuntes

-

Diapositivas del Tema 4

Tema 4; calculo diferencial, serán divididas las presentaciones por los puntos que componen el tema, en total serán 4 pts

PT-1-Introduccion-a-las-funciones.pdf
PT-2-Limites.pdf
PT-3-Derivadas.pdf
PT-4-Representacion-grafica-de-funciones.pdf

apuntes

-

Apuntes de cálculo

Resúmenes, notas y ejercicios de clase

Clase-de-introduccion-al-calculo.pdf
continuidad.pdf
Derivadas.pdf
limites.pdf
integrales.pdf

examenes

-

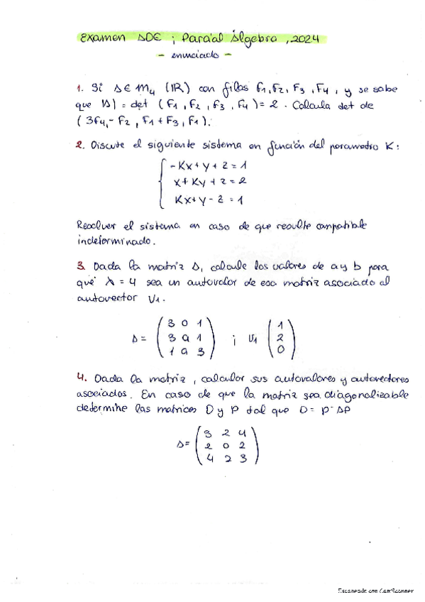
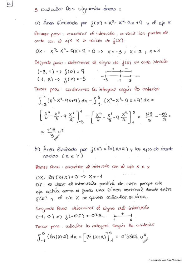
Examen Ade Parcial Algebra 2024

Se van a subir sueltos para que no sea un pdf tan cargado.

Enunciado.pdf
Solo-respuestas-numericas.pdf

examenes

-

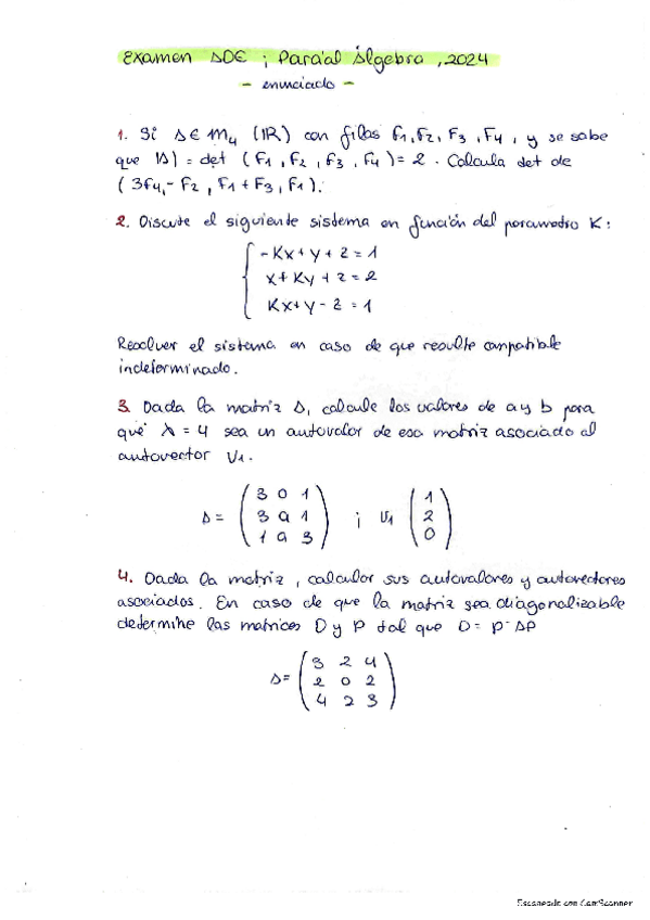
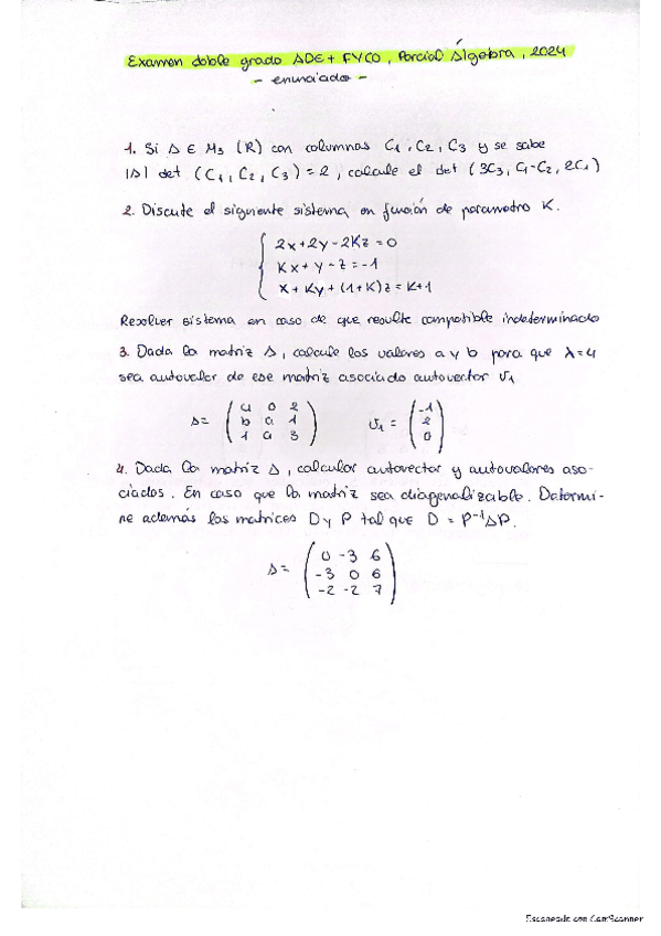
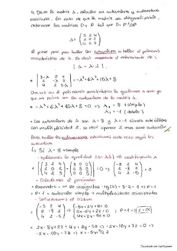
Examen doble grado Ade+Fyco, Parcial Álgebra, 2024

Se van a subir los ejercicios resueltos uno a uno para que no sea un pdf tan cargado.

Enunciado.pdf
Ejercicios-1-y-3.pdf

examenes

-

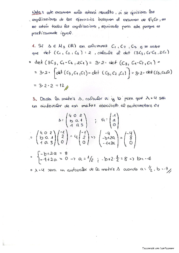
Examem FyCO, Parcial de Álgebra, 2024

Se subirá los ejercicios resueltos por separados.

Enunciado.pdf
Ejercicio-3.pdf
Ejercicio-4.pdf
Ejercicio-2.pdf
Ejercicio-1.pdf

ejercicios

-

Problemas Resueltos Tema 1,2,3 (I)

De las 6 relaciones/documentos de ejercicios que están en el campus esta es la primera de ellas, se subirán divididas por temas para que no sea un pdf tan cargado.

Tema-1-matrices-y-determinantes.pdf
Tema-2-Sistemas-de-ecuaciones-lineales.pdf

apuntes

-

apuntes de álgebra

Resúmenes, apuntes y notas y ejercicios resueltos en clase bloque de álgebra

matrices.pdf
diagonalizacion.pdf
Sistemas.pdf
Resumen-teoria-algebra.pdf

apuntes

-

Diapositivas Bloque 1

Se van a subir los temas uno por uno, para que no sea un pdf tan cargado.

Tema-1-Matrices-y-determinantes.pdf
Tema-2-Sistema-de-ecuaciones-lineales.pdf
Tema-3-La-diagonalizacion.pdf

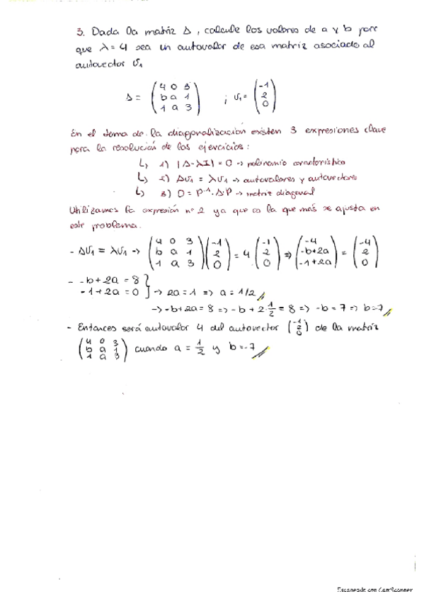
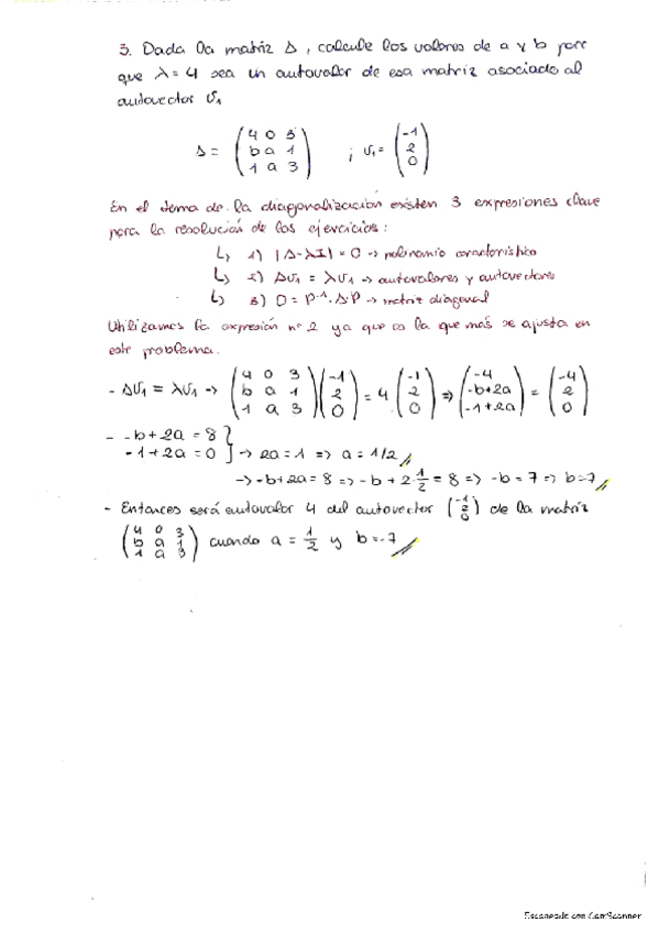
He publicado nuevos examenes de 1º Matemáticas: ejer-2-algebra-sep24.png

Imagen

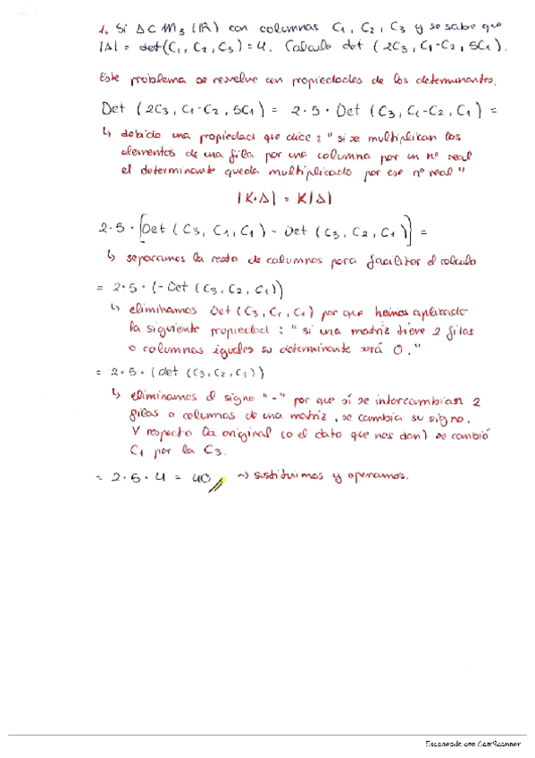
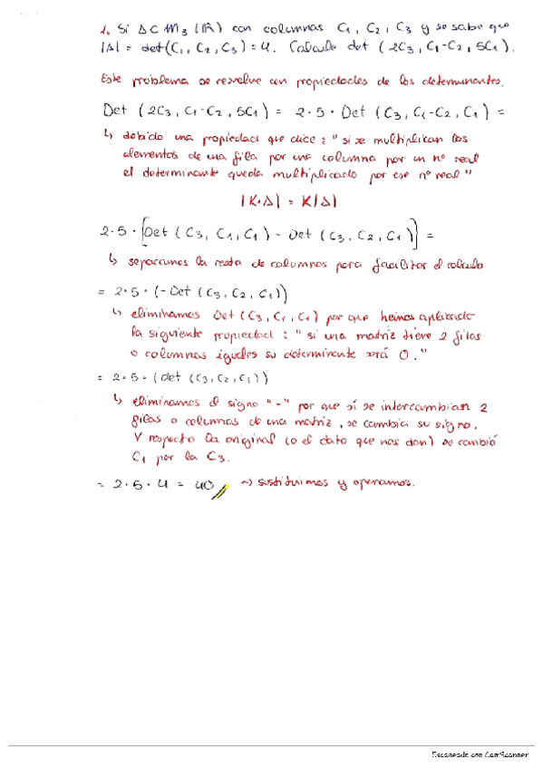
He publicado nuevos examenes de 1º Matemáticas: ejer-1-algebra-sep24.png

Imagen

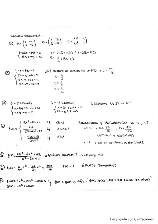
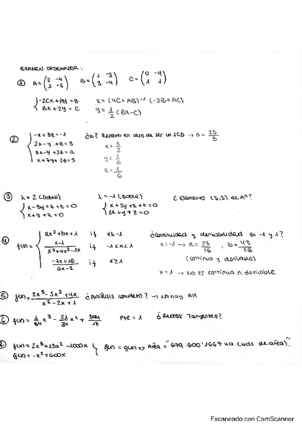
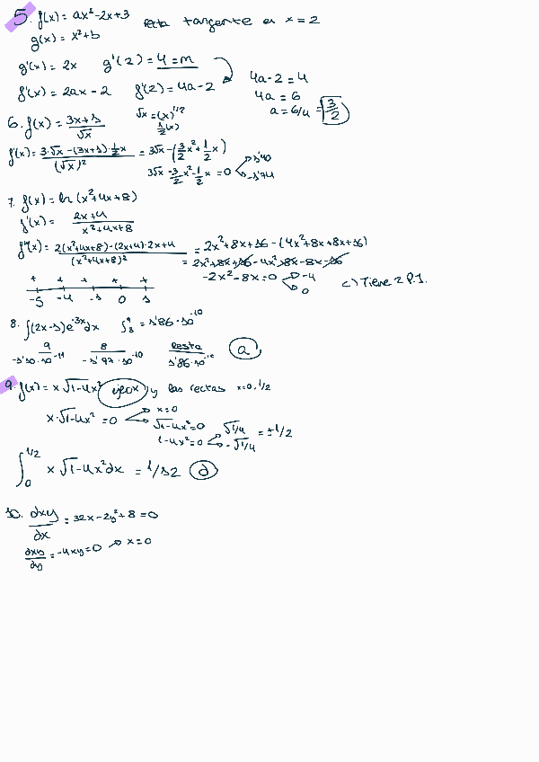
He publicado nuevos apuntes de 1º Matemáticas: APUNTES-EXAMEN-ORDENADOR-matematicas.pdf

4 páginas

He publicado nuevos apuntes de 1º Matemáticas: APUNTES-CALCULO-matematicas.pdf

5 páginas

He publicado nuevos apuntes de 1º Matemáticas: APUNTES-ALGEBRA-matematicas.pdf

6 páginas

He publicado nuevos examenes de 1º Matemáticas: Examen-Septiembre-2024.pdf

3 páginas

Están todos los ejercicios resueltos menos el cuarto.

11 páginas

examenes

-

Examen Resuelto de Septiembre 2023

Se van a subir sueltos para que no sea un pdf tan cargado.

Ejercicio-2.pdf
Ejercicio-3.pdf

He publicado nuevos apuntes de 1º Matemáticas: 40-lecciones-del-bloque-2.pdf

21 páginas

He publicado nuevos apuntes de 1º Matemáticas: 20-lecciones-del-bloque-1.pdf

19 páginas

He publicado nuevos examenes de 1º Matemáticas: Exam.-12-sept-2023.pdf

2 páginas

Ejercicios test calculo con soluciones

12 páginas

He publicado nuevos examenes de 1º Matemáticas: Examen-Junio-2022.pdf

2 páginas

examenes

-

EXAMENES FYCO

He publicado nuevos examenes de 1º Matemáticas: EXAMENES FYCO

EXAMEN-JUNIO-2011-FYCO.pdf
EXAMEN-DICIEMBRE-2011-FYCO.pdf
EXAMEN-ENERO-2012-FYCO.pdf
EXAMEN-OCTURE-2012-FYCO.pdf
EXAMEN-SEPTIEMBRE-2013-FYCO.pdf
EXAMEN-FEBRERO-2015-FYCO.pdf

examenes

-

EXAMENES ADE

He publicado nuevos examenes de 1º Matemáticas: EXAMENES ADE

EXAMEN-ADE-1.pdf
EXAMEN-FEBRERO-2011.pdf
EXAMEN-JULIO-2011.pdf
EXAMEN-ENERO-2012.pdf
EXAMEN-CONVOCATORIA-2012.pdf
EXAMEN-SEPTIEMBRE-2022.pdf

He publicado nuevos examenes de 1º Matemáticas: EXAMEN-23-DE-ENERO-2024.pdf

1 página

He publicado nuevos examenes de 1º Matemáticas: Ejercico-3-febrero-2017.pdf

2 páginas

He publicado nuevos examenes de 1º Matemáticas: ejercicio-2-examenes-matematicas.pdf

8 páginas

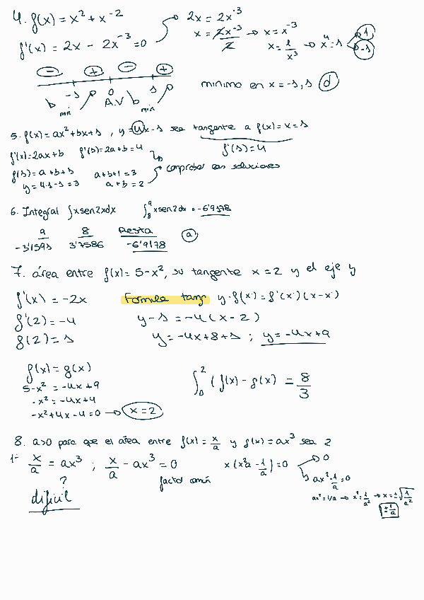
Varios ejercicios de diferentes años de los Exámenes de Enero

5 páginas

He publicado nuevos apuntes de 1º Matemáticas: examen-ordenador-ENERO.pdf

1 página

He publicado nuevos apuntes de 1º Matemáticas: COMO-HACER-EL-EXAMEN-DE-ORDENADOR-SNB.pdf

26 páginas

He publicado nuevos apuntes de 1º Matemáticas: EXAMEN-ORDENADOR-EJ-5.pdf

3 páginas

He publicado nuevos apuntes de 1º Matemáticas: Parte-2.pdf

44 páginas

He publicado nuevos examenes de 1º Matemáticas: Test-Calculo-Opcion-B.pdf

3 páginas

He publicado nuevos apuntes de 1º Matemáticas: EXAMEN-ORDENADOR-EJ-4.pdf

3 páginas

He publicado nuevos ejercicios de 1º Matemáticas: Pa-aprobar-Calculo.pdf

16 páginas

He publicado nuevos apuntes de 1º Matemáticas: EXAMEN-ORDENADOR-EJ3.pdf

4 páginas

He publicado nuevos apuntes de 1º Matemáticas: EXAMEN-ORDENADOR-EJ-2.pdf

8 páginas

He publicado nuevos apuntes de 1º Matemáticas: EXAMEN-ORDENADOR-EJ-1.pdf

4 páginas

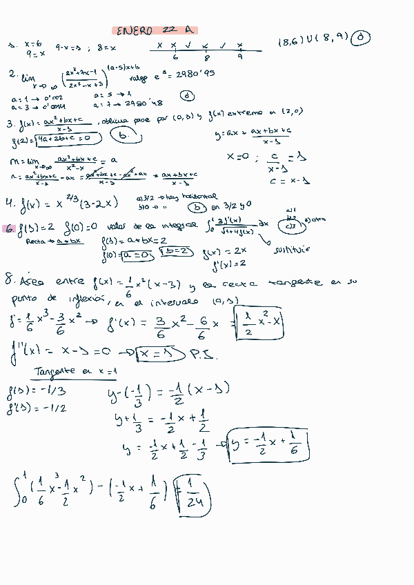
He publicado nuevos apuntes de 1º Matemáticas: Test-Enero-2022-A-calculo.pdf

1 página

He publicado nuevos apuntes de 1º Matemáticas: Enero-2022-b-soluciones.pdf

2 páginas

He publicado nuevos apuntes de 1º Matemáticas: Test-3-Resuelto-CALCULO.pdf

4 páginas

He publicado nuevos apuntes de 1º Matemáticas: Test-4-calculo-RESUELTO.pdf

4 páginas