Matemáticas
Hice una recopilación de los ejercicios que salieron en los exámenes desde 2021 hasta 2025. Al principio están todos los enunciados y al final sus soluciones.
He publicado nuevos apuntes de 1º Matemáticas: matematicas-ejercicios-tema-4-explicados.pdf
He publicado nuevos apuntes de 1º Matemáticas: Formulas-del-tema1y2.pdf
He publicado nuevos apuntes de 1º Matemáticas: Apuntes-mates-unit-3.pdf
APUNTES MATEMATICAS UNIDADES 1 Y 2 EN INGLÉS-Biología 1er año bilingüe ugr matemáticas
He publicado nuevos apuntes de 1º Matemáticas: Tema-4-modelos-estructurales.pdf
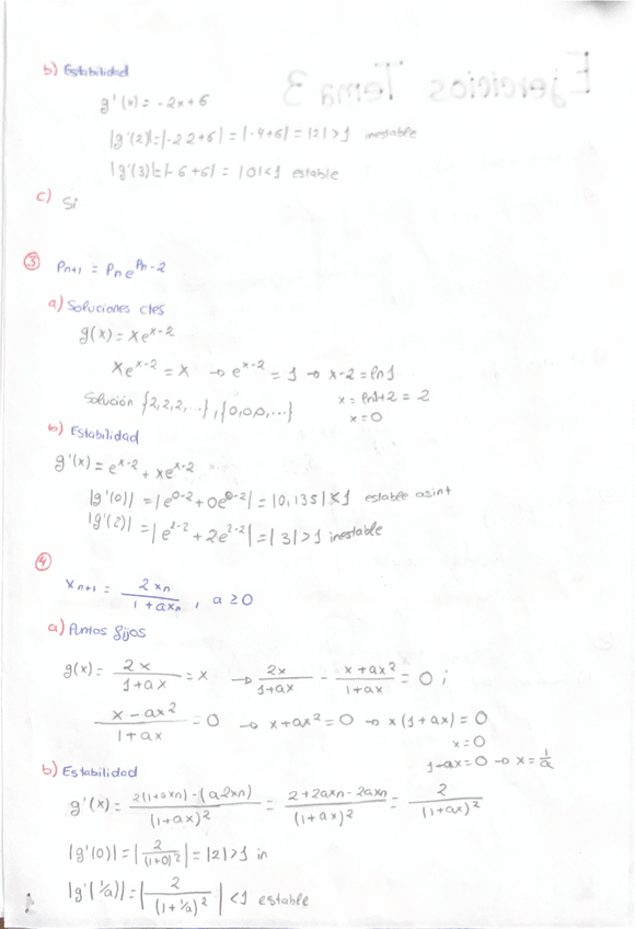
He publicado nuevos apuntes de 1º Matemáticas: Tema-3-Modelos-discretos.pdf
He publicado nuevos apuntes de 1º Matemáticas: Tema-2.-Interaccion-entre-especies.pdf
He publicado nuevos ejercicios de 1º Matemáticas: Tema-1.-Ejercicios.pdf
INICIO DE CURSO MATEMÁTICAS ACADEMIA UNIVERSITARIA FORMACIÓN MANUEL POZO Clases modalidad online y presencial. Todas tus CLASES GRABADAS PARA QUE PUEDAS VISUALIZARLAS HASTA EL DÍA DEL EXAMEN Resolución de todos tus ejercicios y exámenes de convocatorias anteriores. Profesores especialidados y temario propio. Acceso a PLATAFORMA VIRTUAL CON CONTENIDO EXCLUSIVO ¡Solicita tu clase de prueba en grupo sin compromiso!

apuntes
-
EJERCICIOS RESUELTOS EXAMEN
Ejercicios Resueltos Exámenes Academia Univesitaria Formación Manuel Pozo
He publicado nuevos apuntes de 1º Matemáticas: Matematicas-actividades.pdf
He publicado nuevos apuntes de 1º Matemáticas: Matematicas-temas-1234.pdf
¿Más motivos para matricularte en nuestra academia?
Si te matriculas con nosotros te REGALAMOS el PLAN PRO+ para que navegues por Wuolah SIN ANUNCIOS y SIN ESPERAS. 🎉🎉 *Promoción Válida hasta el 03 de Marzo.

He publicado nuevos examenes de 1º Matemáticas: examenes-corregidos.pdf
apuntes
-
resumen temas
He publicado nuevos apuntes de 1º Matemáticas: resumen temas
Resumen de lo MÁS importante del tema, sirve para repasar o para tener algo mientras haces actividades.
He publicado nuevos practicas de 1º Matemáticas: Trabajo-Isla-Pascua.pdf
He publicado nuevos apuntes de 1º Matemáticas: Controles-corregidos.pdf
He publicado nuevos examenes de 1º Matemáticas: Examen-Tema-1-y-2-corregido.pdf
He publicado nuevos apuntes de 1º Matemáticas: Tema-4-Resumen-Teoria.pdf
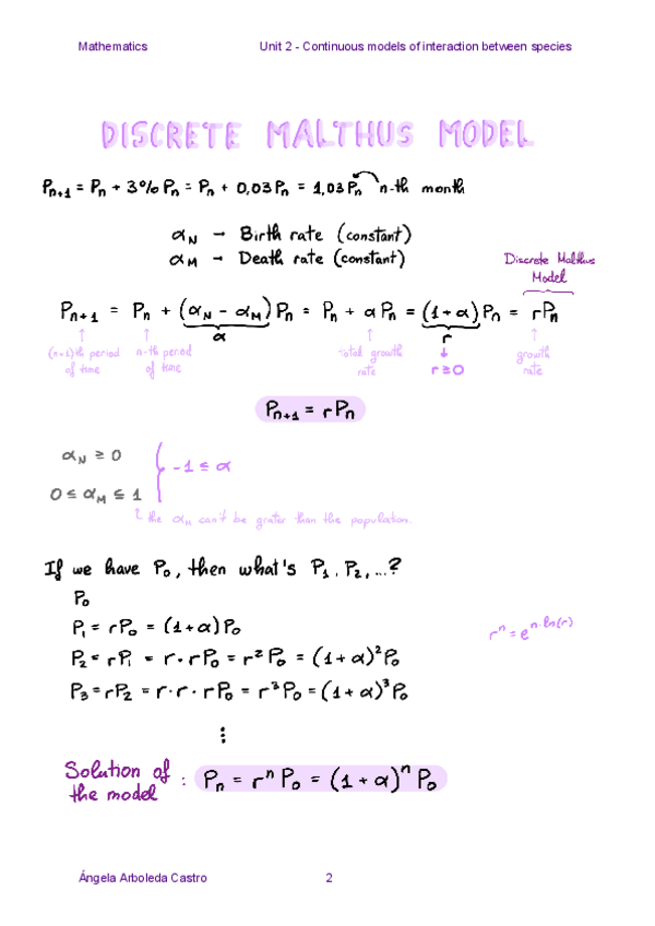
Unit 3. Discrete models of population growth. Summary of the content.
Unit 1. Continuous models of population growth.
apuntes
-
N12
Estos son mis apuntes… conviene que os miréis bien los de vuestro profesor, cada uno tiene una forma distinta de interpretar
He publicado nuevos examenes de 1º Matemáticas: Ejercicios-examen-Tema1-2.pdf
He publicado nuevos apuntes de 1º Matemáticas: Tema-2Modelos-Continuos.pdf
He publicado nuevos apuntes de 1º Matemáticas: Tema-1Modelos-Continuos.pdf
apuntes
-
Esquemas mates inglés
He publicado nuevos apuntes de 1º Matemáticas: Esquemas mates inglés
He publicado nuevos examenes de 1º Matemáticas: Descripcion-Examen-Matematicas-Ordinaria.pdf
He publicado nuevos ejercicios de 1º Matemáticas: Ejercicios-relacion-4b-RESUELTOS.pdf
He publicado nuevos apuntes de 1º Matemáticas: Tema-4-Modelos-de-poblaciones-matrices-APUNTES-RESUMEN-CON-LO-NECESARIO.pdf
He publicado nuevos apuntes de 1º Matemáticas: T2-Modelos-continuos-interaccion-especies-APUNTES-RESUMEN-CON-LO-NECESARIO.pdf
He publicado nuevos apuntes de 1º Matemáticas: T1-Modelos-continuos-crecimiento-poblacion-APUNTES-RESUMEN-CON-LO-NECESARIO.pdf
He publicado nuevos trabajos de 1º Matemáticas: Problem-Unit-3-and-4.pdf
He publicado nuevos trabajos de 1º Matemáticas: Problem-Unit-3-and-4.ods
INICIO DE CURSO MATEMÁTICAS GRADO EN BIOLOGÍA
MODALIDAD ONLINE Y PRESENCIAL RESOLUCIÓN DE EJERCICIOS Y EXÁMENES TODAS TUS CLASES GRABADAS EN PLATAFORMA PROFESORES ESPECIALIZADOS

He publicado nuevos examenes de 1º Matemáticas: EJERCICIO-TEMA-2-BIOLOGIA.pdf
He publicado nuevos examenes de 1º Matemáticas: EJERCICIO-TEMA-2-BIOLOGIA.pdf
He publicado nuevos examenes de 1º Matemáticas: EJERCICIO-T1-DINAMICA-DE-POBLACION.pdf
Ejercicio resuelto de matemáticas aplicadas a la biología. A partir de un cierto modelo de interacción veremos qué tipo de interacción existe y además calcularemos tanto los equilibrios semitriviales como de coexistencia. ¿Verdadero o falso?
Ejercicio resuelto de matemáticas aplicada a la biología donde se estudian los modelos de interacción, equilibrios semitriviales y coexistencia. A partir de un cierto modelo de interacción veremos qué tipo de interacción existe.